• Βουλή
  • Μαθητικό Βοήθημα
  • Δ' Γυμνασίου Πρακτικής Κατεύθυνσης / Ε' Γυμνασίου Πρακτικής Κατεύθυνσης / ΣΤ΄ Γυμνασίου Πρακτικής Κατεύθυνσης
QR Code
03-20632577
Σπύρος Γ. Κανέλλος

Στοιχεία Τριγωνομετρίας προς χρήσιν των μαθητών της Δ', Ε', & ΣΤ΄ τάξεως των Γυμνασίων πρακτικής κατευθύνσεως
[1964]

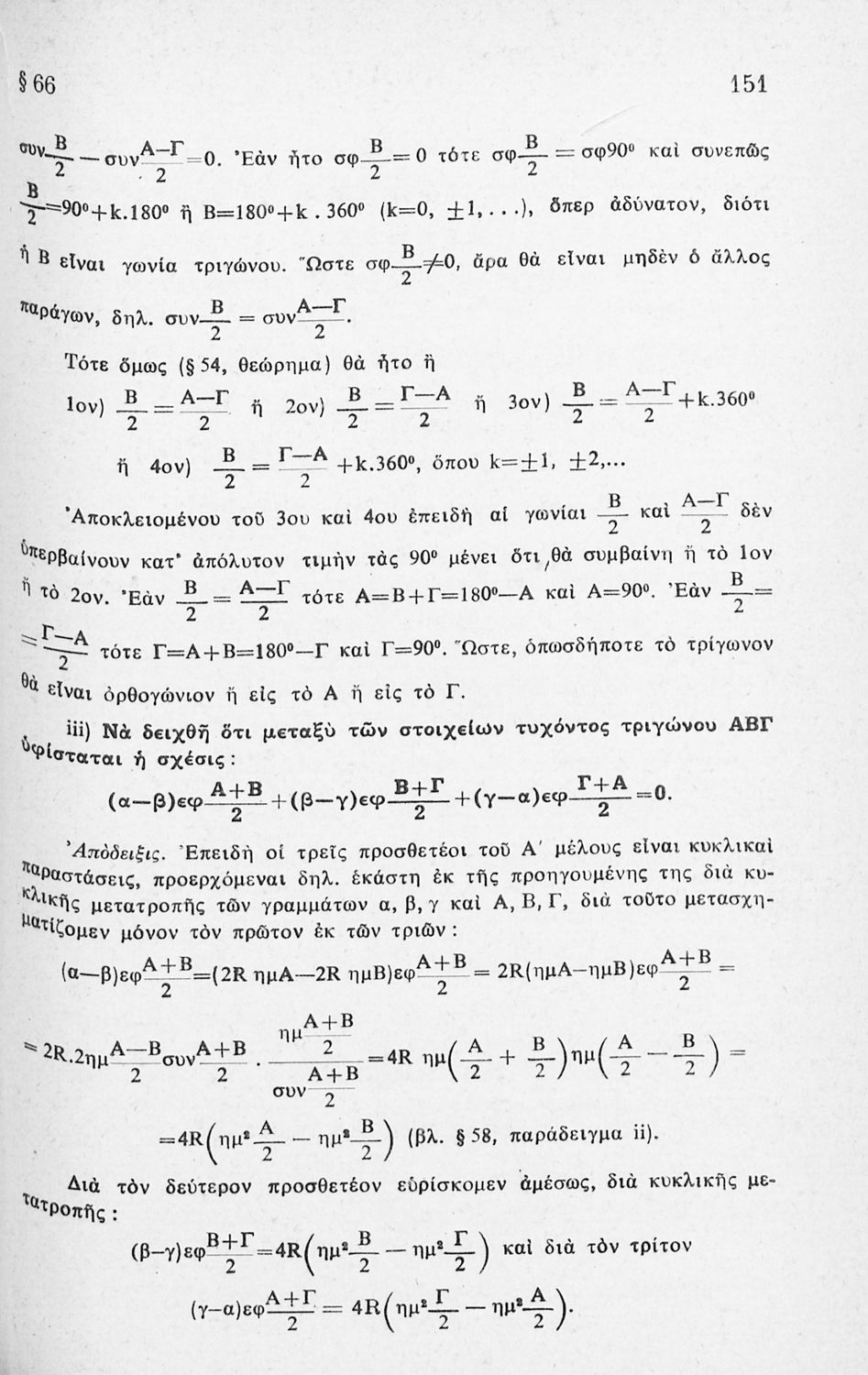
Μαθητικό βοήθημα Τριγωνομετρίας για τους μαθητές των Δ', Ε' & ΣΤ΄ τάξεων του Γυμνασίου. Το βιβλίο περιέχει ασκήσεις υπολογισμού τριγωνομετρικών στοιχείων, όπως το εμβαδόν και η περίμετρος.


TopΠΕΔΙΟ ΑΝΑΓΝΩΡΙΣΗΣ

Κωδικός αναγνώρισης: 03-20632577

Τίτλος: Στοιχεία Τριγωνομετρίας προς χρήσιν των μαθητών της Δ', Ε', & ΣΤ΄ τάξεως των Γυμνασίων πρακτικής κατευθύνσεως

Συγγραφέας: Σπύρος Γ. Κανέλλος

Μέγεθος και υπόστρωμα: Μαθητικό βοήθημα, σκληρό εξώφυλλο, 264 σελίδες.

TopΠΕΔΙΟ ΠΕΡΙΕΧΟΜΕΝΟΥ

Βαθμίδα εκπαίδευσης: Δευτεροβάθμια

Τάξη: Δ' Γυμνασίου Πρακτικής Κατεύθυνσης / Ε' Γυμνασίου Πρακτικής Κατεύθυνσης / ΣΤ΄ Γυμνασίου Πρακτικής Κατεύθυνσης

Μάθημα: Μαθηματικά

Γλώσσα: Καθαρεύουσα

Παρουσίαση περιεχομένου: Μαθητικό βοήθημα Τριγωνομετρίας για τους μαθητές των Δ', Ε' & ΣΤ΄ τάξεων του Γυμνασίου. Το βιβλίο περιέχει ασκήσεις υπολογισμού τριγωνομετρικών στοιχείων, όπως το εμβαδόν και η περίμετρος.

TopΠΕΔΙΟ ΠΛΗΡΟΦΟΡΙΩΝ ΕΚΔΟΣΗΣ

Εκδότης: Παπαδημητρόπουλος

Έτος έκδοσης: 1964

Τόπος έκδοσης: Αθήνα

TopΠΕΔΙΟ ΠΑΡΑΤΗΡΗΣΕΩΝ

Εντοπισμός πρωτοτύπου: Βιβλιοθήκη της Βουλής των Ελλήνων

Κωδικός βιβλιοθήκης: 20632577

TopΕΥΡΕΤΗΡΙΟ ΘΕΜΑΤΙΚΩΝ ΟΡΩΝ

Σχετιζόμενα πρόσωπα:

Σχετιζόμενοι όροι:


280 εγγραφές [161 - 180]
Σελίδα #159
Σελίδα #160
Σελίδα #161
Σελίδα #162
Σελίδα #163
Σελίδα #164
Σελίδα #165
Σελίδα #166
Σελίδα #167
Σελίδα #168
Σελίδα #169
Σελίδα #170
Σελίδα #171
Σελίδα #172
Σελίδα #173
Σελίδα #174
Σελίδα #175
Σελίδα #176
Σελίδα #177
Σελίδα #178
Σελίδα #179
Σελίδα #180
Σελίδα #181
Σελίδα #182
[Σχολικό Εγχειρίδιο]
Σοφοκλής, Π. Ν. Δημόπουλος (σχόλια)
Τάξη:  ΣΤ' Γυμνασίου
Σχολικό εγχειρίδιο Αρχαίων Ελληνικών. Το βιβλίο περιλαμβάνει εισαγωγικά στοιχεία σχετικά με τα έργα και το βίο του Σοφοκλή. Ακολουθεί το πρώτο μέρος του κειμένου που αποτελείται από τους διαλόγους μεταξύ της ...
[Σχολικό Εγχειρίδιο]
Σοφοκλής, Δημ. Ν. Γουδής (σχόλια)
Τάξη:  ΣΤ' Γυμνασίου
Σχετιζόμενοι όροι:  Ισμήνη, Κρέοντας, Τειρεσίας
Σχολικό εγχειρίδιο Αρχαίων Ελληνικών για την ΣΤ΄ τάξη των Εξαταξίων Γυμνασίων που περιλαμβάνει εισαγωγή στην αρχαία ελληνική τραγωδία, βιογραφικά στοιχεία του Σοφοκλή, εισαγωγή στο έργο, και κείμενο.
[Σχολικό Εγχειρίδιο]
Γεώργιος Δ. Βορεάδης
Τάξη:  Δ' Γυμνασίου
Σχολικό εγχειρίδιο Γεωλογίας/Ορυκτολογίας για την Δ΄ τάξη των Εξαταξίων Γυμνασίων που παρουσιάζει τα ορυκτά με βάση την κλάση στην οποία ανήκουν. Το τμήμα της Γεωλογίας εστιάζει στους γεωλογικούς αιώνες. Ο ...
[Σχολικό Εγχειρίδιο]
Γεώργιος Σακκάρης, Νικ. Φραγκίσκος (επιμέλεια)
Τάξη:  ΣΤ' Γυμνασίου
Μάθημα:  Λογική
Σχολικό εγχειρίδιο Λογικής για τη ΣΤ΄ Γυμνασίου που είναι χωρισμένο σε στοιχειολογία ή τυπική λογική, μεθοδολογία και γνωσιολογία. Περιέχει ασκήσεις λογικής.
[Σχολικό Εγχειρίδιο]
Ηλίας Π. Μηνιάτης
Τάξη:  Ε' Γυμνασίου / Γ' Αστικού Σχολείου
Μάθημα:  Θρησκευτικά
Σχολικό εγχειρίδιο Θρησκευτικών για την Ε΄ Γυμνασίου και την Γ΄ Αστικού Σχολείου που αναλύει την έννοια της κατήχησης στις διάφορες θρησκείες με έμφαση στο ορθόδοξο χριστιανικό δόγμα, το οποίο εξετάζει από ...
[Σχολικό Εγχειρίδιο]
Αθανάσιος Γ. Αργυρόπουλος
Τάξη:  Α' Γυμνάσιου / Β' Γυμνάσιου / Ανώτερα Παρθεναγωγεία / Α' Διδασκαλείου
Μάθημα:  Μουσική
Σχολικό εγχειρίδιο Μουσικής για την Α΄, Β΄ Γυμνασίου, Ανώτερων Παρθεναγωγείων και Α΄ τάξη Διδασκαλείων. Σύστημα διδασκαλίας της Μουσικής με σχετική εγκυκλοπαίδεια σε τρία τεύχη. Ο συγγραφέας υπήρξε καθηγητής ...
[Σχολικό Εγχειρίδιο]
Θρασύβουλος Σ. Βλησίδης
Τάξη:  Γ' Γυμνασίου
Σχολικό εγχειρίδιο Ζωολογίας για την Γ΄ Γυμνασίου χωρισμένο σε δύο ενότητες: την περιγραφική και τη γενική ζωολογία. Ο συγγραφέας ήταν πρώην καθηγητής πανεπιστημίου.
[Σχολικό Εγχειρίδιο]
Γεώργιος Σακκάρης
Τάξη:  ΣΤ' Γυμνασίου
Μάθημα:  Λογική
Σχολικό εγχειρίδιο Λογικής για τη ΣΤ΄ Γυμνασίου που είναι χωρισμένο σε στοιχειολογία ή τυπική λογική, μεθοδολογία και γνωσιολογία. Περιέχει ασκήσεις λογικής.
[Σχολικό Εγχειρίδιο]
Παναγ. Γαβρεσέας
Τάξη:  Β' Γυμνασίου / Δ' Γυμνασίου
Μάθημα:  Φυτολογία
Σχολικό εγχειρίδιο Φυτολογίας για τη Β΄ τάξη των Εξαταξίων Γυμνασίων και Ημιγυμνασίων και τη Δ΄ τάξη των οκταταξίων Γυμνασίων που εξετάζει φυτά της Ελλάδας και παραθέτει στοιχεία γενικής φυτολογίας για την ...
[Σχολικό Εγχειρίδιο]
Νικόλαος Μεταξάς
Τάξη:  Ε' Δημοτικού / ΣΤ' Δημοτικού
Μάθημα:  Γεωγραφία
Σχολικό εγχειρίδιο Γεωγραφίας για τις Ε΄ και ΣΤ΄ Δημοτικού που περιλαμβάνει στοιχεία μαθηματικής και φυσικής γεωγραφίας, γεωλογίας και κοσμογραφίας, και εξετάζει την Ελλάδα και ενδεικτικές χώρες από τις πέντε ...