QR Code
03-20632653
Εμμ. Γ. Μαραγκάκης, Εμμ. Σ. Κατσοπρινάκης

Αλγεβρικαί εξισώσεις δια τους μαθητάς των Γυμνασίων και τους υποψηφίους των θετικών σχολών
[1973]

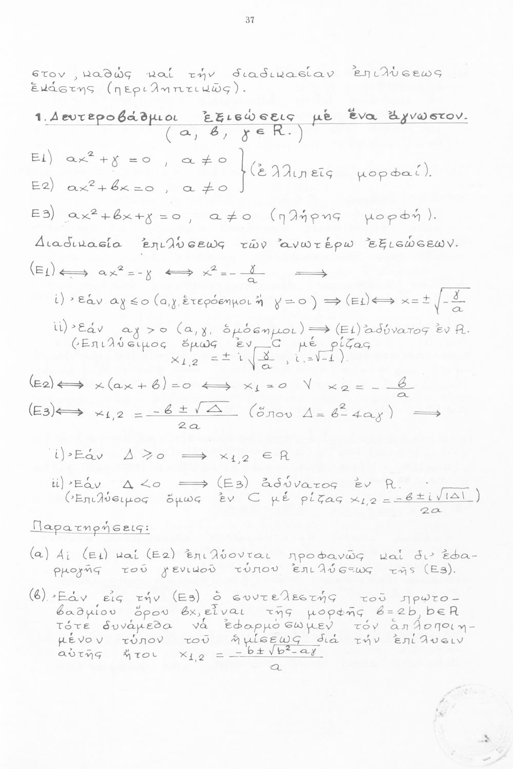
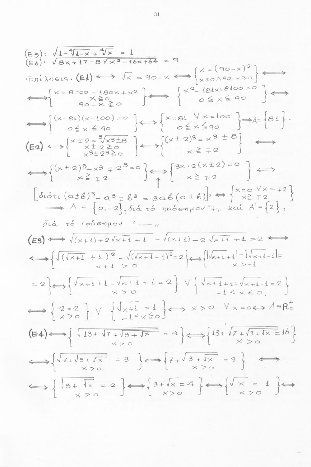
Μαθητικό βοήθημα Άλγεβρας Γυμνασίου που περιλαμβάνει τις εξισώσεις πρώτου και δευτέρου βαθμού και τις εφαρμογές τους, αλγεβρικές εξισώσεις, προβλήματα και ασκήσεις.


TopΠΕΔΙΟ ΑΝΑΓΝΩΡΙΣΗΣ

Κωδικός αναγνώρισης: 03-20632653

Τίτλος: Αλγεβρικαί εξισώσεις δια τους μαθητάς των Γυμνασίων και τους υποψηφίους των θετικών σχολών

Συγγραφέας: Εμμ. Γ. Μαραγκάκης, Εμμ. Σ. Κατσοπρινάκης

Μέγεθος και υπόστρωμα: Μαθητικό βοήθημα, μαλακό εξώφυλλο, 346 σελίδες. Εξώφυλλο (ασπρόμαυρο).

TopΠΕΔΙΟ ΠΕΡΙΕΧΟΜΕΝΟΥ

Βαθμίδα εκπαίδευσης: Δευτεροβάθμια

Τάξη: Γυμνάσιο

Μάθημα: Μαθηματικά

Γλώσσα: Καθαρεύουσα

Παρουσίαση περιεχομένου: Μαθητικό βοήθημα Άλγεβρας Γυμνασίου που περιλαμβάνει τις εξισώσεις πρώτου και δευτέρου βαθμού και τις εφαρμογές τους, αλγεβρικές εξισώσεις, προβλήματα και ασκήσεις.

TopΠΕΔΙΟ ΠΛΗΡΟΦΟΡΙΩΝ ΕΚΔΟΣΗΣ

Εκδότης: Α. Καραβίας

Έτος έκδοσης: 1973

Τόπος έκδοσης: Αθήνα

TopΠΕΔΙΟ ΠΑΡΑΤΗΡΗΣΕΩΝ

Εντοπισμός πρωτοτύπου: Βιβλιοθήκη της Βουλής των Ελλήνων

Κωδικός βιβλιοθήκης: 20632653

TopΕΥΡΕΤΗΡΙΟ ΘΕΜΑΤΙΚΩΝ ΟΡΩΝ

Σχετιζόμενα πρόσωπα:

Σχετιζόμενοι όροι:


358 εγγραφές [41 - 60]
Σελίδα #041
Σελίδα #042
Σελίδα #043
Σελίδα #044
Σελίδα #045
Σελίδα #046
Σελίδα #047
Σελίδα #048
Σελίδα #049
Σελίδα #050
Σελίδα #051
Σελίδα #052
Σελίδα #053
Σελίδα #054
Σελίδα #055
Σελίδα #056
Σελίδα #057
Σελίδα #058
Σελίδα #059
Σελίδα #060
Σελίδα #061
Σελίδα #062
Σελίδα #063
Σελίδα #064
[Μαθητικό Βοήθημα]
Γεώργιος Χ. Παπανικολάου
Τάξη:  Πρακτικό Λύκειο
Μάθημα:  Μαθηματικά
Μαθητικό βοήθημα Άλγεβρας για τους μαθητές των Πρακτικών Λυκείων που περιέχει ορισμούς και ασκήσεις.
[Μαθητικό Βοήθημα]
Χρίστος Α. Μπαρμπαστάθης
Τάξη:  Γυμνάσιο / Πρακτικό Λύκειο
Μάθημα:  Μαθηματικά
Μαθητικό βοήθημα Άλγεβρας για τους μαθητές των πρακτικών Λυκείων και τους υποψήφιους σχολών του Κράτους. Το βιβλίο περιέχει τις βασικές αλγεβρικές πράξεις, εξισώσεις πρώτου βαθμού, δεύτερου βαθμού και γραφικές
[Μαθητικό Βοήθημα]
Νικόλαος Δ. Νικολάου
Μάθημα:  Μαθηματικά
Μαθητικό βοήθημα Μαθηματικών για τους μαθητές των Πρακτικών Λυκείων και τους υποψηφίους Ανωτάτων Σχολών του κράτους. Το βιβλίο περιέχει βασικές έννοιες και κανόνες της άλγεβρας και την ανάπτυξη αριθμητικών ...
[Μαθητικό Βοήθημα]
Γεώργιος Π. Μπακούρος
Τάξη:  Γυμνάσιο / Εμπορικές και Τεχνικές Σχολές
Μάθημα:  Μαθηματικά
Μαθητικό βοήθημα Μαθηματικών για τους μαθητές των Γυμνασίων και των Εμπορικών και Τεχνικών Σχολών καθώς και δια τους Υποψηφίους των Ανωτάτων Σχολών. Το βιβλίο πραγματεύεται την έννοια της τετραγωνικής ρίζας ...
[Μαθητικό Βοήθημα]
Γεώργιος Π. Μπακούρος
Μάθημα:  Μαθηματικά
Σχετιζόμενοι όροι:  άλγεβρα, λύσεις ασκήσεων
Μαθητικό βοήθημα Μαθηματικών για τους υποψηφίους των ανωτάτων σχολών και τους μαθητές της Μέσης Εκπαίδευσης που περιλαμβάνει αλγεβρικές λύσεις σε προβλήματα υπολογισμού ταχύτητας και κίνησης.
[Μαθητικό Βοήθημα]
Ν. Χ. Βαρουχάκης
Τάξη:  ΣΤ' Γυμνασίου
Μάθημα:  Μαθηματικά
Μαθητικό βοήθημα Μαθηματικών της ΣΤ΄ Γυμνασίου και των υποψήφιων των Σχολών Θετικών Επιστημών. Παρουσιάζει τις βασικές αρχές Γεωμετρίας και συνεχίζει με πιο εξειδικευμένες έννοιες και τρόπους υπολογισμού των ...
[Μαθητικό Βοήθημα]
Γεώργιος Π. Μπακούρος
Τάξη:  Γυμνάσιο
Μαθητικό βοήθημα για τους υποψηφίους Ανωτάτων Σχολών και ειδικότερα για τους μαθητές των Γυμνασίων. Το βιβλίο είναι χωρισμένο σε δύο μέρη. Στο πρώτο μέρος περιλαμβάνει αλγεβρική και γεωμετρική θεωρία για τη ...
[Μαθητικό Βοήθημα]
Αλέξανδρος Κων. Θεοδωρίδης
Μάθημα:  Χημεία
Μαθητικό βοήθημα Χημείας για τους υποψηφίους των Ανωτάτων Σχολών και τους μαθητές Μέσης Εκπαίδευσης που περιέχει ασκήσεις και προβλήματα Ανόργανης Χημείας.
[Μαθητικό Βοήθημα]
Αθ. Φ. Παπαγεωργίου, Στρ. Π. Παπαδόπουλος
Μάθημα:  Φυσική
Μαθητικό βοήθημα Φυσικής για τους υποψήφιους Ανωτάτων Σχολών, τους μαθητές Γυμνασίων (κυρίως πρακτικής κατευθύνσεως) και δια τους μαθητάς μηχανοτεχνικών σχολών (εργοδηγούς και ραδιοτεχνίτες). Το βιβλίο ...
[Μαθητικό Βοήθημα]
Κ. Α. Σφαέλλος
Τάξη:  Γ' Γυμνασίου / Δ' Γυμνασίου / Ε' Γυμνασίου / Εμπορικές Σχολές
Μάθημα:  Νέα Ελληνικά
Μαθητικό βοήθημα Νέων Ελληνικών για τις Γ΄, Δ΄, Ε΄ Εξαταξίων Γυμνασίων και Εμπορικών Σχολών που περιλαμβάνει υποδείγματα εκθέσεων, περιγραφές, διηγήσεις, επιστολές, αναλύσεις λογοτεχνικών έργων, σχεδιαγράμματα