QR Code
03-20632654
Κωνσταντίνος Ν. Σβέρκος

Μαθήματα Τριγωνομετρίας δια τους υποψηφίους του οικονομικού και τεχνικού κύκλου
[1969]

Μαθητικό βοήθημα για τους υποψήφιους των Οικονομικού και Τεχνικού κύκλου που παρουσιάζει εν συντομία τα βασικά θεωρήματα τριγωνομετρίας καθώς και ασκήσεις για εξάσκηση.


TopΠΕΔΙΟ ΑΝΑΓΝΩΡΙΣΗΣ

Κωδικός αναγνώρισης: 03-20632654

Τίτλος: Μαθήματα Τριγωνομετρίας δια τους υποψηφίους του οικονομικού και τεχνικού κύκλου

Συγγραφέας: Κωνσταντίνος Ν. Σβέρκος

Μέγεθος και υπόστρωμα: Μαθητικό βοήθημα, μαλακό εξώφυλλο, 88 σελίδες.

TopΠΕΔΙΟ ΠΕΡΙΕΧΟΜΕΝΟΥ

Βαθμίδα εκπαίδευσης: Δευτεροβάθμια

Μάθημα: Μαθηματικά

Γλώσσα: Απλή καθαρεύουσα

Παρουσίαση περιεχομένου: Μαθητικό βοήθημα για τους υποψήφιους των Οικονομικού και Τεχνικού κύκλου που παρουσιάζει εν συντομία τα βασικά θεωρήματα τριγωνομετρίας καθώς και ασκήσεις για εξάσκηση.

TopΠΕΔΙΟ ΠΛΗΡΟΦΟΡΙΩΝ ΕΚΔΟΣΗΣ

Έτος έκδοσης: 1969

Τόπος έκδοσης: Αθήνα

TopΠΕΔΙΟ ΠΑΡΑΤΗΡΗΣΕΩΝ

Εντοπισμός πρωτοτύπου: Βιβλιοθήκη της Βουλής των Ελλήνων

Κωδικός βιβλιοθήκης: 20632654

TopΕΥΡΕΤΗΡΙΟ ΘΕΜΑΤΙΚΩΝ ΟΡΩΝ

Σχετιζόμενα πρόσωπα:

Σχετιζόμενοι όροι:


92 εγγραφές [61 - 80]
Σελίδα #059
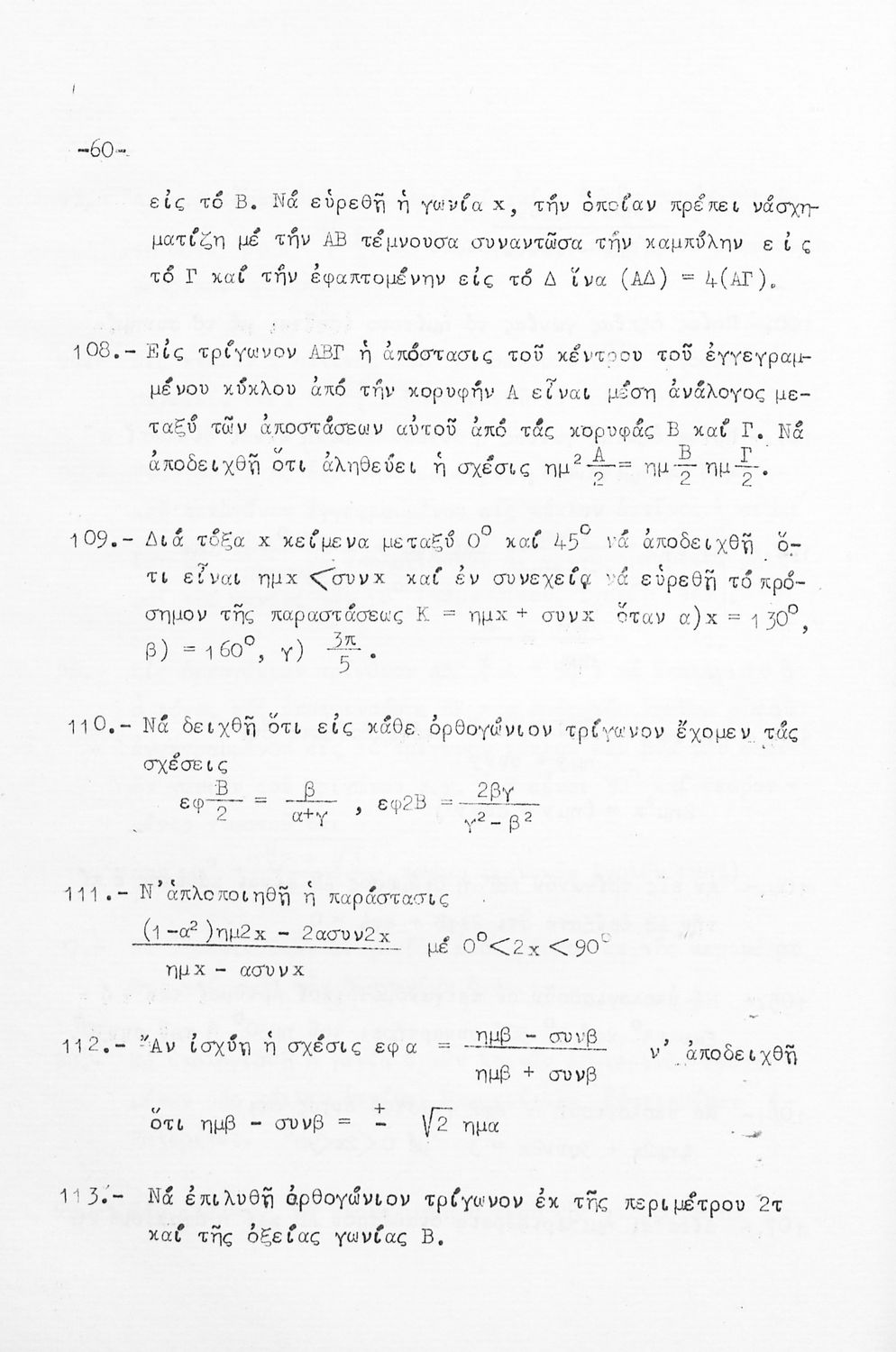
Σελίδα #060
Σελίδα #061
Σελίδα #062
Σελίδα #063
Σελίδα #064
Σελίδα #065
Σελίδα #066
Σελίδα #067
Σελίδα #068
Σελίδα #069
Σελίδα #070
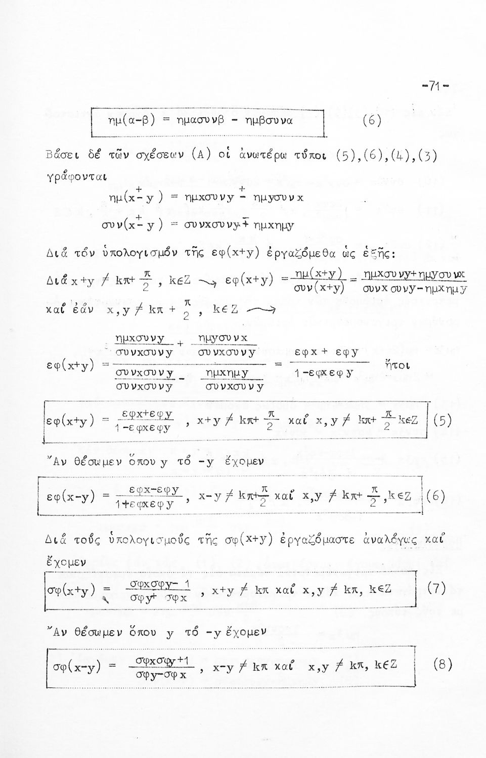
Σελίδα #071
Σελίδα #072
Σελίδα #073
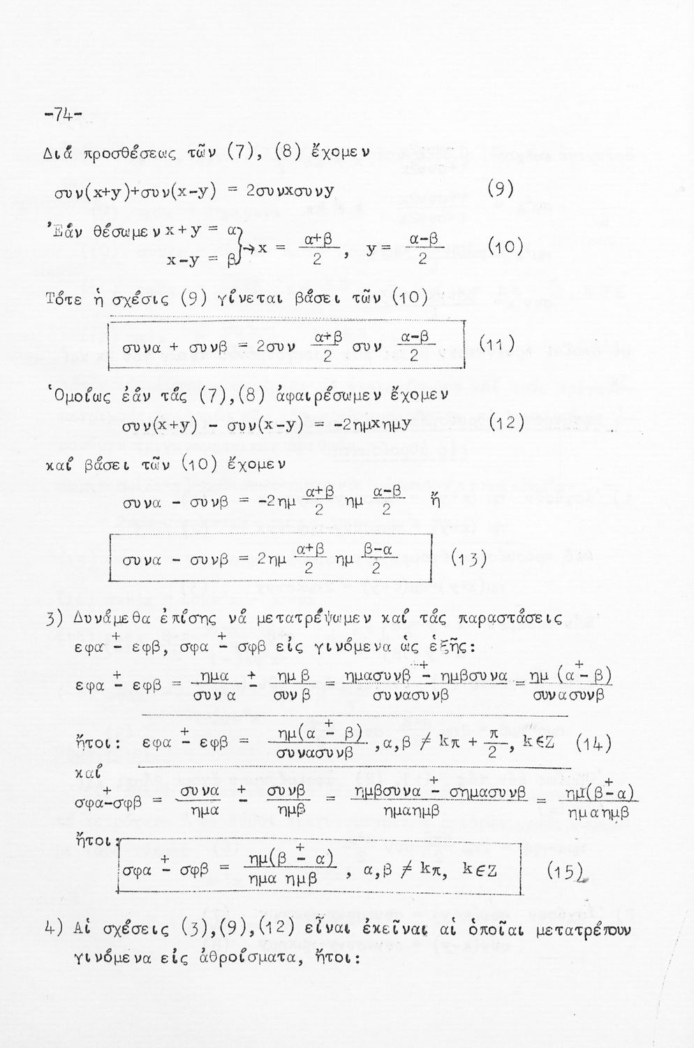
Σελίδα #074
Σελίδα #075
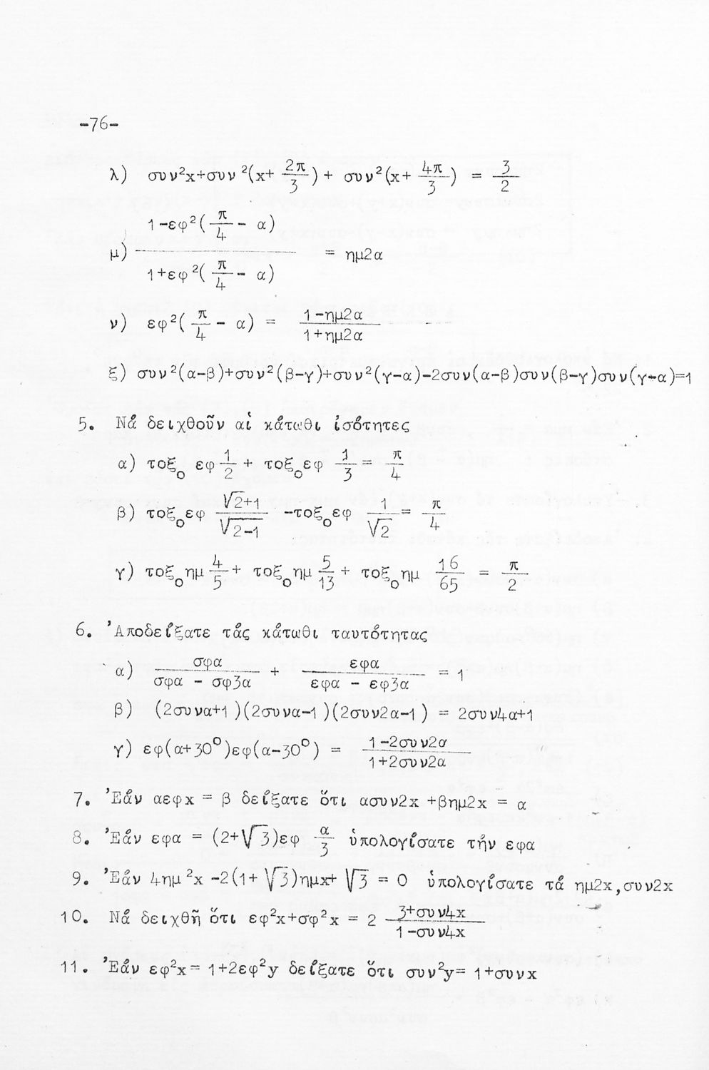
Σελίδα #076
Σελίδα #077
Σελίδα #078
Σελίδα #079
Σελίδα #080
Σελίδα #081
Σελίδα #082
[Σχολικό Εγχειρίδιο]
Μιχαήλ Σοφιανός
Μάθημα:  Μαθηματικά
Σχολικό εγχειρίδιο Τριγωνομετρίας που εστιάζει στις τριγωνομετρικές γραμμές, τους τριγωνομετρικούς πίνακες και τη σφαιρική τριγωνομετρία
[Μαθητικό Βοήθημα]
Νικόλαος Χατζιδάκις
Τάξη:  Λύκειο
Μάθημα:  Μαθηματικά
Μαθητικό βοήθημα Σφαιρικής Τριγωνομετρίας Λυκείου. Ο συγγραφέας ήταν καθηγητής στο Εθνικό Πανεπιστήμιο.
[Μαθητικό Βοήθημα]
Γεώργιος Χ. Παπανικολάου
Τάξη:  Πρακτικό Λύκειο
Μάθημα:  Μαθηματικά
Μαθητικό βοήθημα Άλγεβρας για τους μαθητές των Πρακτικών Λυκείων που περιέχει ορισμούς και ασκήσεις.
[Μαθητικό Βοήθημα]
Πέτρος Γ. Τόγκας
Μάθημα:  Μαθηματικά
Μαθητικό βοήθημα Τριγωνομετρίας για τους μαθητές των Γυμνασίων, Πρακτικών Λυκείων και των υποψήφιων Ανωτάτων Σχολών που περιλαμβάνει τις βασικές έννοιες και ορισμούς της Τριγωνομετρίας καθώς και σειρά ασκήσεων
[Μαθητικό Βοήθημα]
Πέτρος Δ. Πλούτσης
Τάξη:  Γυμνάσιο
Μάθημα:  Μαθηματικά
Μαθητικό βοήθημα Μαθηματικών για τους μαθητές από Α' μέχρι και ΣΤ΄ Γυμνασίου, υποψήφιους Ανωτάτων Σχολών και φοιτητές. Το βιβλίο παρουσιάζει τρόπους για την επίλυση ασκήσεων και προβλημάτων Άλγεβρας, ...
[Μαθητικό Βοήθημα]
Σπύρος Γ. Κανέλλος
Μάθημα:  Μαθηματικά
Μαθητικό βοήθημα Άλγεβρας για τους υποψηφίους των Ανωτάτων Σχολών και τους μαθητές των Πρακτικών Λυκείων που εστιάζει στους μιγαδικούς αριθμούς και τα συστήματα εξισώσεων. Περιλαμβάνει ασκήσεις και προβλήματα.
[Μαθητικό Βοήθημα]
Σπύρος Γ. Κανέλλος
Μάθημα:  Μαθηματικά
Μαθητικό βοήθημα Άλγεβρας για τους υποψηφίους των Ανωτάτων Σχολών που περιέχει τα θεμελιώδη μέρη της Άλγεβρας καθώς και τις διαφορετικές μορφές Αλγεβρικού λογισμού μεταξύ πραγματικών αριθμών.
[Μαθητικό Βοήθημα]
Αθ. Φ. Παπαγεωργίου, Στρ. Π. Παπαδόπουλος
Μάθημα:  Φυσική
Μαθητικό βοήθημα Φυσικής για τους υποψήφιους Ανωτάτων Σχολών, τους μαθητές Γυμνασίων (κυρίως πρακτικής κατευθύνσεως) και δια τους μαθητάς μηχανοτεχνικών σχολών (εργοδηγούς και ραδιοτεχνίτες). Το βιβλίο ...
[Μαθητικό Βοήθημα]
Λ. Παπαβρανούσης, Ν. Παπαδόπουλος
Τάξη:  Γυμνάσιο
Μαθητικό βοήθημα Αρχαίων Ελληνικών Γυμνασίου που εξετάζει τα μέρη του λόγου και την σύνταξή τους.
[Σχολικό Εγχειρίδιο]
Ανδρέας Π. Βλαντίκας
Τάξη:  Τεχνικές Σχολές, Επαγγελματικές Σχολές
Μάθημα:  Θρησκευτικά
Σχολικό εγχειρίδιο Θρησκευτικών για τις Τεχνικές -Επαγγελματικές σχολές. Έχει την έγκριση της Ιεράς Συνόδου της Εκκλησίας της Ελλάδος. Περιέχει στοιχεία Θρησκειολογίας, λατρείας, κείμενα από την Καινή Διαθήκη ...