QR Code
03-20632730
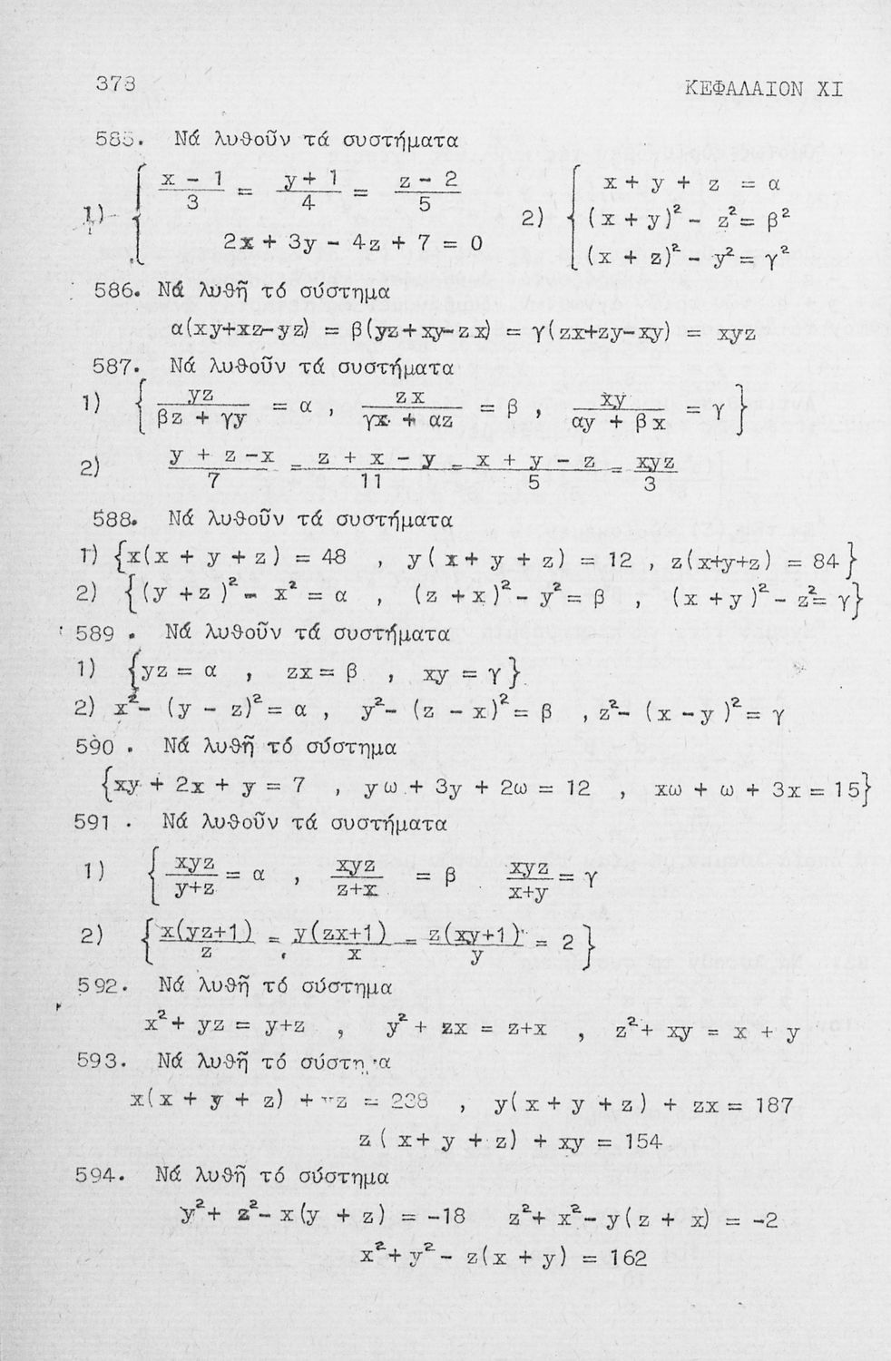
Σπύρος Γ. Κανέλλος

Μαθήματα Άλγεβρας

Μαθητικό βοήθημα Άλγεβρας για τους υποψηφίους των Ανωτάτων Σχολών που περιέχει τα θεμελιώδη μέρη της Άλγεβρας καθώς και τις διαφορετικές μορφές Αλγεβρικού λογισμού μεταξύ πραγματικών αριθμών.


TopΠΕΔΙΟ ΑΝΑΓΝΩΡΙΣΗΣ

Κωδικός αναγνώρισης: 03-20632730

Τίτλος: Μαθήματα Άλγεβρας

Συγγραφέας: Σπύρος Γ. Κανέλλος

Μέγεθος και υπόστρωμα: Μαθητικό βοήθημα, σκληρό εξώφυλλο, 408 σελίδες.

TopΠΕΔΙΟ ΠΕΡΙΕΧΟΜΕΝΟΥ

Βαθμίδα εκπαίδευσης: Δευτεροβάθμια

Μάθημα: Μαθηματικά

Γλώσσα: Απλή καθαρεύουσα

Παρουσίαση περιεχομένου: Μαθητικό βοήθημα Άλγεβρας για τους υποψηφίους των Ανωτάτων Σχολών που περιέχει τα θεμελιώδη μέρη της Άλγεβρας καθώς και τις διαφορετικές μορφές Αλγεβρικού λογισμού μεταξύ πραγματικών αριθμών.

TopΠΕΔΙΟ ΠΛΗΡΟΦΟΡΙΩΝ ΕΚΔΟΣΗΣ

Εκδότης: Ν. Ποταμίτης

Τόπος έκδοσης: Αθήνα

TopΠΕΔΙΟ ΠΑΡΑΤΗΡΗΣΕΩΝ

Εντοπισμός πρωτοτύπου: Βιβλιοθήκη της Βουλής των Ελλήνων

Κωδικός βιβλιοθήκης: 20632730

TopΕΥΡΕΤΗΡΙΟ ΘΕΜΑΤΙΚΩΝ ΟΡΩΝ

Σχετιζόμενα πρόσωπα:

Σχετιζόμενοι όροι:


422 εγγραφές [381 - 400]
Σελίδα #381
Σελίδα #382
Σελίδα #383
Σελίδα #384
Σελίδα #385
Σελίδα #386
Σελίδα #387
Σελίδα #388
Σελίδα #389
Σελίδα #390
Σελίδα #391
Σελίδα #392
Σελίδα #393
Σελίδα #394
Σελίδα #395
Σελίδα #396
Σελίδα #397
Σελίδα #398
Σελίδα #399
Σελίδα #400
Σελίδα #401
Σελίδα #402
Σελίδα #403
Σελίδα #404
[Μαθητικό Βοήθημα]
Γεώργιος Χ. Παπανικολάου
Τάξη:  Πρακτικό Λύκειο
Μάθημα:  Μαθηματικά
Μαθητικό βοήθημα Άλγεβρας για τους μαθητές των Πρακτικών Λυκείων που περιέχει ορισμούς και ασκήσεις.
[Παιδαγωγικό Βοήθημα]
Δ. Ι. Λιβέρης
Μάθημα:  Μαθηματικά
Παιδαγωγικό βοήθημα Άλγεβρας για τους υποψήφιους του Ε. Μ. Πολυτεχνείου που αναλύει τις βασικές έννοιες και αρχές της Άλγεβρας. Περιέχει και ασκήσεις.
[Μαθητικό Βοήθημα]
Σπύρος Γ. Κανέλλος
Μάθημα:  Μαθηματικά
Μαθητικό βοήθημα Άλγεβρας για τους υποψηφίους των Ανωτάτων Σχολών και τους μαθητές των Πρακτικών Λυκείων που εστιάζει στους μιγαδικούς αριθμούς και τα συστήματα εξισώσεων. Περιλαμβάνει ασκήσεις και προβλήματα.
[Μαθητικό Βοήθημα]
Λ. Παπαβρανούσης, Ν. Παπαδόπουλος
Τάξη:  Γυμνάσιο
Μαθητικό βοήθημα Αρχαίων Ελληνικών Γυμνασίου που εξετάζει τα μέρη του λόγου και την σύνταξή τους.
[Μαθητικό Βοήθημα]
Δημ. Η. Κυριακόπουλος
Μαθητικό βοήθημα Φυσικής Ιστορίας Δημοτικού που εστιάζει στη φυτολογία και την ορυκτολογία και κατατάσσει τα φυτά ανάλογα με τη συνομοταξία στην οποία ανήκουν.
[Σχολικό Εγχειρίδιο]
Νείλος Σακελλαρίου, Ι. Αγγελής (επιμέλεια)
Τάξη:  Γυμνάσιο
Μάθημα:  Μαθηματικά
Σχολικό εγχειρίδιο Μαθηματικών Γυμνασίου που παρουσιάζει τις βασικές έννοιες της Άλγεβρας, εστιάζει τις ιδιότητες των αριθμών και περιέχει ασκήσεις εξισώσεων, λογαρίθμων και παραγώγων.
[Μαθητικό Βοήθημα]
Δ. Κώτσιρας, Δ. Μάγος
Τάξη:  Δ' Δημοτικού
Μάθημα:  Μαθηματικά
Μαθητικό βοήθημα Αριθμητικής για την Δ΄ Δημοτικού που εστιάζει στις αριθμητικές πράξεις με ακέραιους, δεκαδικούς και συμμιγείς αριθμούς.
[Σχολικό Εγχειρίδιο]
Χρίστος Α. Μπαρμπαστάθης
Τάξη:  Δ' Γυμνασίου / Ε΄ Εξαταξίου Γυμνασίου
Μάθημα:  Μαθηματικά
Σχολικό εγχειρίδιο Άλγεβρας για τις Δ΄ και Ε΄ Εξαταξίου Γυμνασίου χωρισμένο σε θεωρία και ασκήσεις που εστιάζει στις αλγεβρικές πράξεις και παραστάσεις, στις εξισώσεις και στις ρίζες.