QR Code
03-20636916
Στέφανος Γ. Βιτζηλαίος

Μαθηματικά άλγεβρα-τριγωνομετρία-στερεομετρία-πιθανότητες-περιγραφική στατιστική :δια την Γ' τάξιν του Γυμνασίου
[1966]

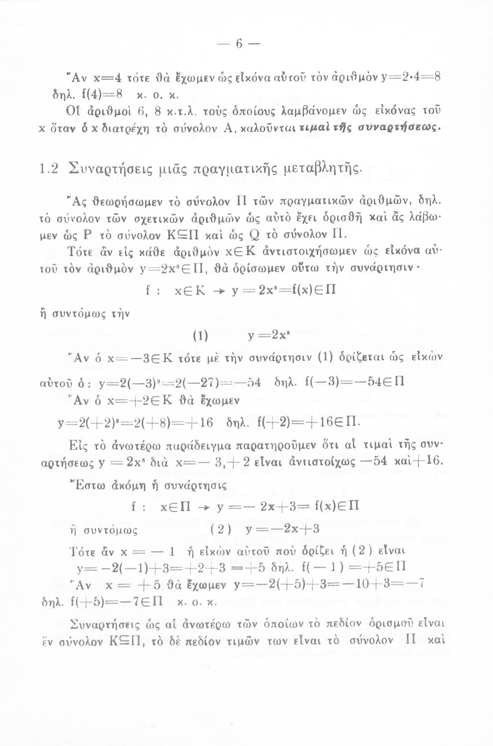
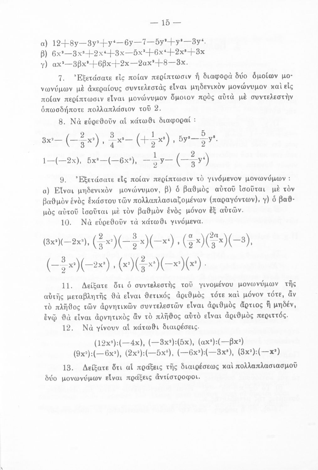
Μαθητικό βοήθημα Μαθηματικών Γ' Γυμνασίου που περιλαμβάνει άλγεβρα με έμφαση στους λογάριθμους και τις εξισώσεις και στοιχεία τριγωνομετρίας και στερεομετρίας.


TopΠΕΔΙΟ ΑΝΑΓΝΩΡΙΣΗΣ

Κωδικός αναγνώρισης: 03-20636916

Τίτλος: Μαθηματικά άλγεβρα-τριγωνομετρία-στερεομετρία-πιθανότητες-περιγραφική στατιστική :δια την Γ' τάξιν του Γυμνασίου

Συγγραφέας: Στέφανος Γ. Βιτζηλαίος

Μέγεθος και υπόστρωμα: Μαθητικό βοήθημα, μαλακό εξώφυλλο, 176 σελίδες.

TopΠΕΔΙΟ ΠΕΡΙΕΧΟΜΕΝΟΥ

Βαθμίδα εκπαίδευσης: Δευτεροβάθμια

Τάξη: Γ' Γυμνασίου

Μάθημα: Μαθηματικά

Γλώσσα: Απλή καθαρεύουσα

Παρουσίαση περιεχομένου: Μαθητικό βοήθημα Μαθηματικών Γ' Γυμνασίου που περιλαμβάνει άλγεβρα με έμφαση στους λογάριθμους και τις εξισώσεις και στοιχεία τριγωνομετρίας και στερεομετρίας.

TopΠΕΔΙΟ ΠΛΗΡΟΦΟΡΙΩΝ ΕΚΔΟΣΗΣ

Εκδότης: Ιωάννης Ν. Σιδέρης

Έτος έκδοσης: 1966

Τόπος έκδοσης: Αθήνα

TopΠΕΔΙΟ ΠΑΡΑΤΗΡΗΣΕΩΝ

Εντοπισμός πρωτοτύπου: Βιβλιοθήκη της Βουλής των Ελλήνων

Κωδικός βιβλιοθήκης: 20636916

TopΕΥΡΕΤΗΡΙΟ ΘΕΜΑΤΙΚΩΝ ΟΡΩΝ

Σχετιζόμενα πρόσωπα:

Σχετιζόμενοι όροι:


178 εγγραφές [1 - 20]
Εξώφυλλο
Εξώφυλλο
Σελίδα #001
Σελίδα #002
Σελίδα #003
Σελίδα #004
Σελίδα #005
Σελίδα #006
Σελίδα #007
Σελίδα #008
Σελίδα #009
Σελίδα #010
Σελίδα #011
Σελίδα #012
Σελίδα #013
Σελίδα #014
Σελίδα #015
Σελίδα #016
Σελίδα #017
Σελίδα #018
Σελίδα #019
Σελίδα #020
Σελίδα #021
Σελίδα #022
[Σχολικό Εγχειρίδιο]
Ιω. Ν. Χατζιδάκις, Χρ. Α. Μπαρμπαστάθης
Τάξη:  Α' Γυμνασίου / Β' Γυμνασίου / Γ' Γυμνασίου
Μάθημα:  Μαθηματικά
Σχολικό εγχειρίδιο Αριθμητικής για τις Α΄, Β΄ και Γ΄ τάξεις των Εξαταξίων Γυμνασίων που εστιάζει τις αριθμητικές πράξεις, τα κλάσματα, τους δεκαδικούς αριθμούς και είναι χωρισμένο σε θεωρία και ασκήσεις. ...
[Μαθητικό Βοήθημα]
Μ. Κουταβάς
Τάξη:  Γ' Γυμνασίου
Μάθημα:  Μαθηματικά
Μαθητικό βοήθημα Μαθηματικών για τους μαθητές της Γ΄ Γυμνασίου το οποίο περιέχει τις βασικές αρχές και αξιώματα των Μαθηματικών καθώς και σειρά ασκήσεων πρωτοβάθμιων και δευτεροβάθμιων εξισώσεων.
[Σχολικό Εγχειρίδιο]
Βασίλειος Φάβης, Κωνσταντίνος Χαραλαμπόπουλος
Τάξη:  Β' Γυμνασίου / Γ' Γυμνασίου
Σχολικό εγχειρίδιο Αρχαίων Ελληνικών Β΄ και Γ΄ Γυμνασίου που περιέχει αποσπάσματα από έργα αρχαίων Ελλήνων συγγραφέων, ερμηνευτικά και πραγματολογικά σχόλια και γραμματικές παρατηρήσεις.
[Σχολικό Εγχειρίδιο]
Νικόλαος Δ. Νικολάου, Χρ. Στυλιανόπουλος (επιμέλεια)
Τάξη:  Η' Γυμνασίου
Μάθημα:  Μαθηματικά
Σχολικό εγχειρίδιο Τριγωνομετρίας για την Η' Γυμνασίου που περιλαμβάνει θεωρία και ασκήσεις.
[Μαθητικό Βοήθημα]
Ελευθέριος Τριαντ. Κούσης
Τάξη:  Β' Γυμνασίου / Γ' Γυμνασίου / Δ' Γυμνασίου
Μαθητικό βοήθημα Αρχαίων Ελληνικών για τη Β΄, Γ΄, Δ΄ Γυμνασίου που περιέχει θέματα από την νέα ελληνική στην αρχαία για την εκμάθηση της γλώσσας, τους κανόνες της γραμματικής και του συντακτικού.
[Σχολικό Εγχειρίδιο]
Κυριάκος Κοσμάς
Τάξη:  Γ' Γυμνασίου
Μάθημα:  Λατινικά
Σχολικό εγχειρίδιο Λατινικών για τη Γ΄ Γυμνασίου που περιέχει 54 κείμενα/περικοπές στα λατινικά, ερμηνευτικά υπομνήματα, λεξιλόγιο και κατάλογο με τα συντακτικά φαινόμενα (αφαιρετική, προθέσεις, σύνδεσμοι) που
[Σχολικό Εγχειρίδιο]
Νικόλ. Δ. Νικολάου
Τάξη:  Α' Γυμνασίου / Β' Γυμνασίου / Γ' Γυμνασίου
Μάθημα:  Μαθηματικά
Σχολικό εγχειρίδιο Αριθμητικής για τις Α΄, Β΄, Γ΄ Γυμνασίου που είναι χωρισμένο σε ορισμούς και ασκήσεις και εστιάζει στις ιδιότητες των αριθμητικών πράξεων, τα κλάσματα και την τετραγωνική ρίζα.
[Σχολικό Εγχειρίδιο]
Χρίστος Α. Μπαρμπαστάθης
Τάξη:  Δ' Γυμνασίου / Ε' Γυμνασίου / ΣΤ' Γυμνασίου
Μάθημα:  Μαθηματικά
Σχολικό εγχειρίδιο Γεωμετρίας για τις Α΄, Β΄, Γ΄ Γυμνασίου που είναι χωρισμένο σε Επιπεδομετρία και Στερεομετρία και περιλαμβάνει θεωρία και ασκήσεις.
[Σχολικό Εγχειρίδιο]
Θεόδωρος. Γ. Κύπριος
Τάξη:  Α' Γυμνασίου / Β' Αστικού Σχολείου Θηλέων / Γ' Αστικού Σχολείου Θηλέων
Μάθημα:  Γαλλικά
Σχετιζόμενοι όροι:  Le sou perdu, la jeune fille, le matin, la champagne, la grece
Σχολικό εγχειρίδιο Γαλλικών για την Α΄ Γυμνασίου και τις Β΄ και Γ τάξεις των Αστικών Σχολείων που περιλαμβάνει πεζά, ποιήματα, λεξιλόγιο, βιογραφικά σημειώματα των συγγραφέων και επεξηγηματικές σημειώσεις.
[Σχολικό Εγχειρίδιο]
Κυριάκος Κοσμάς, Lhomond, Ερρίκος Σκάσσης (σχόλια)
Τάξη:  Γ' Γυμνασίου
Μάθημα:  Λατινικά
Αναγνωστικό Λατινικών για τη Γ΄ Γυμνασίου που περιέχει 54 κείμενα/περικοπές στα λατινικά, ερμηνευτικά υπομνήματα, λεξιλόγιο και κατάλογο με τα συντακτικά φαινόμενα (αφαιρετική, προθέσεις, σύνδεσμοι) που ...