QR Code
03-20637586
Γεώργιος Κυριακός

Οργανική χημεία προς χρήσιν των μαθητών των Γυμνασίων και των υποψηφίων των ανωτάτων σχολών (θεωρία, αντιδράσεις, ασκήσεις)
[1972]

Σχολικό εγχειρίδιο για τις τάξεις του Γυμνασίου και τις Ανώτατες Σχολές για το μάθημα της Χημείας. Το εγχειρίδιο περιλαμβάνει εισαγωγικά γενικές γνώσεις της οργανικής χημείας, την σύνταξη των οργανικών ενώσεων, τις καύσιμες ύλες, αλκοόλες, υδρογονάνθρακες, αρωματικά οξέα, τα αλκαλοειδή, τα εντομοκτόνα κ.α.


TopΠΕΔΙΟ ΑΝΑΓΝΩΡΙΣΗΣ

Κωδικός αναγνώρισης: 03-20637586

Τίτλος: Οργανική χημεία προς χρήσιν των μαθητών των Γυμνασίων και των υποψηφίων των ανωτάτων σχολών (θεωρία, αντιδράσεις, ασκήσεις)

Συγγραφέας: Γεώργιος Κυριακός

Εικονογράφος: Κούλα Δήμα, Ελένη Πετράτου

Μέγεθος και υπόστρωμα: Μαθητικό βοήθημα, μαλακό εξώφυλλο, 638 σελίδες. Εξώφυλλο (έγχρωμο).

TopΠΕΔΙΟ ΠΕΡΙΕΧΟΜΕΝΟΥ

Βαθμίδα εκπαίδευσης: Δευτεροβάθμια

Τάξη: Γυμνάσιο

Μάθημα: Χημεία

Γλώσσα: Καθαρεύουσα

Παρουσίαση περιεχομένου: Σχολικό εγχειρίδιο για τις τάξεις του Γυμνασίου και τις Ανώτατες Σχολές για το μάθημα της Χημείας. Το εγχειρίδιο περιλαμβάνει εισαγωγικά γενικές γνώσεις της οργανικής χημείας, την σύνταξη των οργανικών ενώσεων, τις καύσιμες ύλες, αλκοόλες, υδρογονάνθρακες, αρωματικά οξέα, τα αλκαλοειδή, τα εντομοκτόνα κ.α.

TopΠΕΔΙΟ ΠΛΗΡΟΦΟΡΙΩΝ ΕΚΔΟΣΗΣ

Εκδότης: Παπαδημητρόπουλος

Έτος έκδοσης: 1972

Τόπος έκδοσης: Αθήνα

TopΠΕΔΙΟ ΠΑΡΑΤΗΡΗΣΕΩΝ

Εντοπισμός πρωτοτύπου: Βιβλιοθήκη της Βουλής των Ελλήνων

Κωδικός βιβλιοθήκης: 20637586

TopΕΥΡΕΤΗΡΙΟ ΘΕΜΑΤΙΚΩΝ ΟΡΩΝ

Σχετιζόμενα πρόσωπα:

Σχετιζόμενοι όροι:


650 εγγραφές [221 - 240]
Σελίδα #210
Σελίδα #211
Σελίδα #212
Σελίδα #213
Σελίδα #214
Σελίδα #215
Σελίδα #216
Σελίδα #217
Σελίδα #218
Σελίδα #219
Σελίδα #220
Σελίδα #221
Σελίδα #222
Σελίδα #223
Σελίδα #224
Σελίδα #225
Σελίδα #226
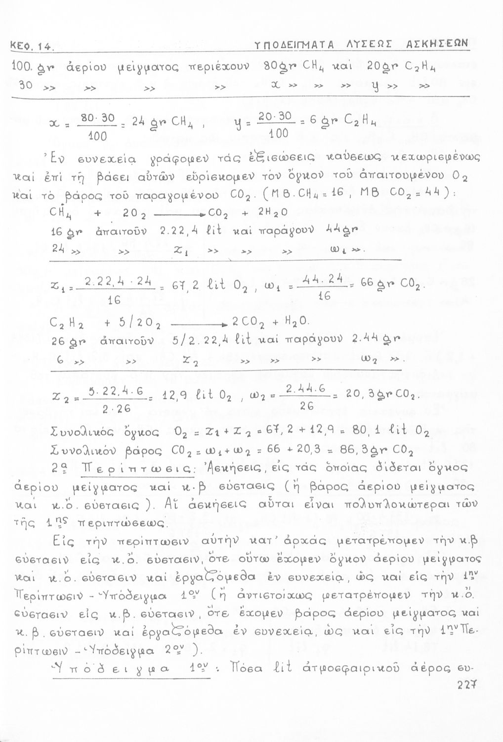
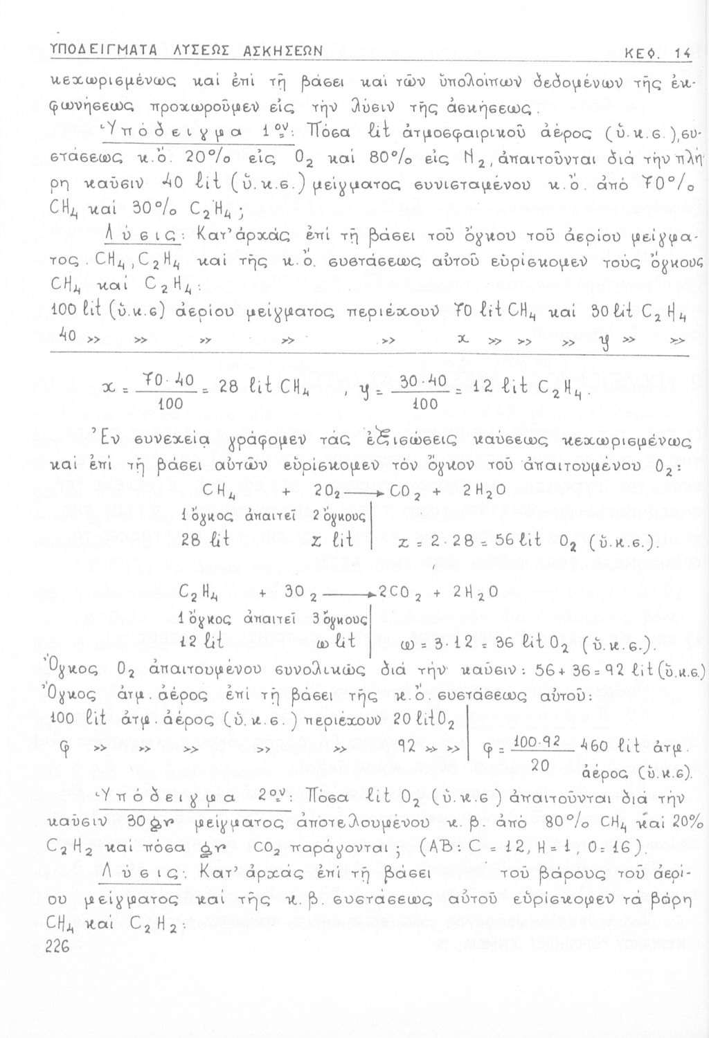
Σελίδα #227
Σελίδα #228
Σελίδα #229
Σελίδα #230
Σελίδα #231
Σελίδα #232
Σελίδα #233
[Σχολικό Εγχειρίδιο]
Στέφανος Δ. Σερμπέτης
Τάξη:  Η' Γυμνασίου
Μάθημα:  Χημεία
Σχολικό εγχειρίδιο Χημείας που περιγράφει τη σειρά οργανικών και λιπαρών ενώσεων, προσδιορίζονται οικογένειες και ιδιότητες οξέων-βάσεων-αλάτων καθώς γίνεται αναλυτική περιγραφή αρωματικών ενώσεων και των ...
[Μαθητικό Βοήθημα]
Στυλ. Κατάκης, Στυλ. Αμπατζόγλου
Τάξη:  Γυμνάσιο
Μάθημα:  Χημεία
Μαθητικό βοήθημα Χημείας που περιλαμβάνει τους νόμους των αερίων και τις ιδιότητες τους, τις χημικές ενώσεις και τους νόμους δράσης της μάζας και της χημικής ισορροπίας. Περιέχει και ασκήσεις Ανόργανης και ...
[Μαθητικό Βοήθημα]
Ανδρέας Γ. Παπαγεωργίου
Τάξη:  Γυμνάσιο / Πρακτικό Λύκειο
Μάθημα:  Χημεία
Μαθητικό βοήθημα Χημείας για τους υποψήφιους Ανωτάτων Σχολών και τελειόφοιτους μαθητές Γυμνασίων και Πρακτικών Λυκείων. Το βιβλίο περιέχει βασικούς ορισμούς και αρχές της Χημείας και των χημικών ενώσεων και ...
[Μαθητικό Βοήθημα]
Στυλιανός Κατάκης
Μάθημα:  Χημεία
Μαθητικό βοήθημα Χημείας που εστιάζει τις οργανικές ουσίες και τη μοριακή σύσταση τους. Περιγράφονται αναλυτικά οργανικές ενώσεις, οι ιδιότητες και η παρασκευή των οξέων-ελαίων-λιπών, η σύσταση και οι γενικές ...
[Μαθητικό Βοήθημα]
Παύλος Οδ. Σακελλαρίδης
Μάθημα:  Χημεία
Μαθητικό βοήθημα Χημείας για τους υποψήφιους των Ανωτάτων Σχολών και των Γυμνασίων που αποτελεί μια γενική επισκόπηση της Χημείας, εστιάζει στις έννοιες της ύλης και της ενέργειας, και των χημικών στοιχείων ...
[Μαθητικό Βοήθημα]
Παύλος Οδ. Σακελλαρίδης
Μάθημα:  Χημεία
Μαθητικό βοήθημα Χημείας για τους μαθητές των τελευταίων τάξεων του Γυμνασίου και τους υποψήφιους των Ανωτάτων Σχολών που αποτελεί μια γενική επισκόπηση της Χημείας και εστιάζει στα χαρακτηριστικά και ...
[Μαθητικό Βοήθημα]
Κ. Α. Μανωλκίδης
Τάξη:  Γυμνάσιο
Μάθημα:  Χημεία
Μαθητικό βοήθημα για τους υποψήφιους των Ανωτάτων Σχολών και των μαθητών της τελευταίας τάξεως των σχολείων της Μέσης Εκπαίδευσης. Το βιβλίο εξετάζει τις οργανικές ενώσεις, γενική θεωρία για αυτές, μετά ...
[Μαθητικό Βοήθημα]
Στέφανος Δ. Σερμπέτης
Τάξη:  Ζ' Γυμνασίου / Ζ' Πρακτικού Λυκείου
Μάθημα:  Χημεία
Μαθητικό βοήθημα Χημείας για τους υποψηφίους των εισαγωγικών εξετάσεων των ανωτάτων σχολών και των μαθητών της Ζ' τάξεως των Γυμνασίων και Πρακτικών Λυκείων. Το βιβλίο περιέχει γενικές έννοιες της Χημείας, ...
[Μαθητικό Βοήθημα]
Στέφανος Δ. Σερμπέτης
Μάθημα:  Χημεία
Μαθητικό βοήθημα για τους υποψηφίους των εισαγωγικών εξετάσεων των Ανωτάτων Σχολών και των μαθητών των ανωτέρων τάξεων των Σχολείων Μέσης Εκπαιδεύσεως. Το βιβλίο περιέχει λύσεις ασκήσεων ανόργανης και ...
[Μαθητικό Βοήθημα]
Α. Γ. Παπαγεωργίου
Μάθημα:  Χημεία
Σχετιζόμενοι όροι:  χημεία, ανόργανη χημεία
Μαθητικό βοήθημα Ανόργανης Χημείας για τους υποψήφιους των Ανωτάτων Σχολών και των τελειόφοιτων μαθητών των Γυμνασίων, Λυκείων, Εμπορικών Σχολών που περιλαμβάνει εισαγωγή στις βασικές έννοιες της Ανόργανης ...