QR Code
03-20637616
Νίκος Δ. Σωτηράκης, Ντίνος Χ. Μπιναρδόπουλος

Ασκήσεις Μαθηματικών για τη Β' τάξη του Γυμνασίου
[1966]

Μαθητικό βοήθημα Μαθηματικών Β' Γυμνασίου που περιλαμβάνει τις λύσεις των ασκήσεων του σχολικού εγχειριδίου των ίδιων των συγγραφέων.


TopΠΕΔΙΟ ΑΝΑΓΝΩΡΙΣΗΣ

Κωδικός αναγνώρισης: 03-20637616

Τίτλος: Ασκήσεις Μαθηματικών για τη Β' τάξη του Γυμνασίου

Συγγραφέας: Νίκος Δ. Σωτηράκης, Ντίνος Χ. Μπιναρδόπουλος

Μέγεθος και υπόστρωμα: Μαθητικό βοήθημα, σκληρό εξώφυλλο, 132 σελίδες.

TopΠΕΔΙΟ ΠΕΡΙΕΧΟΜΕΝΟΥ

Βαθμίδα εκπαίδευσης: Δευτεροβάθμια

Τάξη: Β' Γυμνασίου

Μάθημα: Μαθηματικά

Γλώσσα: Δημοτική με στοιχεία καθαρεύουσας

Παρουσίαση περιεχομένου: Μαθητικό βοήθημα Μαθηματικών Β' Γυμνασίου που περιλαμβάνει τις λύσεις των ασκήσεων του σχολικού εγχειριδίου των ίδιων των συγγραφέων.

TopΠΕΔΙΟ ΠΛΗΡΟΦΟΡΙΩΝ ΕΚΔΟΣΗΣ

Έτος έκδοσης: 1966

Τόπος έκδοσης: Αθήνα

TopΠΕΔΙΟ ΠΑΡΑΤΗΡΗΣΕΩΝ

Εντοπισμός πρωτοτύπου: Βιβλιοθήκη της Βουλής των Ελλήνων

Κωδικός βιβλιοθήκης: 20637616

TopΕΥΡΕΤΗΡΙΟ ΘΕΜΑΤΙΚΩΝ ΟΡΩΝ

Σχετιζόμενα πρόσωπα:

Σχετιζόμενοι όροι:


138 εγγραφές [101 - 120]
Σελίδα #101
Σελίδα #102
Σελίδα #103
Σελίδα #104
Σελίδα #105
Σελίδα #106
Σελίδα #107
Σελίδα #108
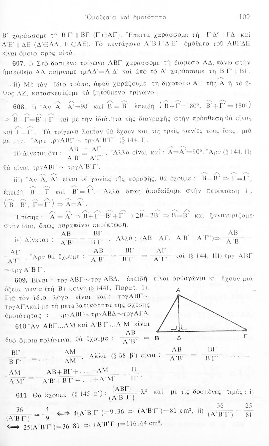
Σελίδα #109
Σελίδα #110
Σελίδα #111
Σελίδα #112
Σελίδα #113
Σελίδα #114
Σελίδα #115
Σελίδα #116
Σελίδα #117
Σελίδα #118
Σελίδα #119
Σελίδα #120
Σελίδα #121
Σελίδα #122
Σελίδα #123
Σελίδα #124
[Μαθητικό Βοήθημα]
Ελευθέριος Τριαντ. Κούσης
Τάξη:  Β' Γυμνασίου / Γ' Γυμνασίου / Δ' Γυμνασίου
Μαθητικό βοήθημα Αρχαίων Ελληνικών για τη Β΄, Γ΄, Δ΄ Γυμνασίου που περιέχει θέματα από την νέα ελληνική στην αρχαία για την εκμάθηση της γλώσσας, τους κανόνες της γραμματικής και του συντακτικού.
[Σχολικό Εγχειρίδιο]
Α. Δ. Μητρόπουλος
Τάξη:  Α' Γυμνασίου / Β' Γυμνασίου
Μάθημα:  Μαθηματικά
Σχολικό εγχειρίδιο Γεωμετρίας για την Α΄ και Β΄ Γυμνασίου που περιλαμβάνει θεωρία και ασκήσεις και είναι χωρισμένο σε Επιπεδομετρία και Στερεομετρία.
[Σχολικό Εγχειρίδιο]
Μ. Καλομοίρης, Φ. Οικονομίδης
Τάξη:  Α' Γυμνασίου / Β' Γυμνασίου / Γ' Γυμνασίου / Δ' Γυμνασίου / Πρακτικό Λύκειο / Διδασκαλείο
Μάθημα:  Μουσική
Σχολικό εγχειρίδιο Μουσικής για τις Α΄, Β΄, Γ΄, Δ΄ τάξη Γυμνασίου, Πρακτικών Λυκείων και Διδασκαλείων που περιλαμβάνει θεωρία, μελωδικές ασκήσεις καθώς και σχολικά τραγούδια. Ο συγγραφέας ήταν καθηγητής της ...
[Σχολικό Εγχειρίδιο]
Ιω. Ν. Χατζιδάκις, Χρ. Α. Μπαρμπαστάθης
Τάξη:  Α' Γυμνασίου / Β' Γυμνασίου / Γ' Γυμνασίου
Μάθημα:  Μαθηματικά
Σχολικό εγχειρίδιο Αριθμητικής για τις Α΄, Β΄ και Γ΄ τάξεις των Εξαταξίων Γυμνασίων που εστιάζει τις αριθμητικές πράξεις, τα κλάσματα, τους δεκαδικούς αριθμούς και είναι χωρισμένο σε θεωρία και ασκήσεις. ...
[Σχολικό Εγχειρίδιο]
Ιωαν. Κ. Μανιουδάκης
Τάξη:  Β' Γυμνασίου / Γ' Γυμνασίου / Δ' Γυμνασίου
Μάθημα:  Μουσική
Σχετιζόμενοι όροι:  θεωρία, μελωδικές ασκήσεις, άσματα
Σχολικό εγχειρίδιο Μουσικής για τις Β', Γ', Δ' Γυμνάσιου. Περιέχει ασκήσεις μελωδικές, χωρίς θεωρία. Ο συγγραφέας υπήρξε καθηγητής της Ραλλείου Παιδαγωγικής Ακαδημίας Πειραιά. Περιέχει θεωρία-μελωδικές ...
[Σχολικό Εγχειρίδιο]
Αθανάσιος Κόκκινος
Τάξη:  Β' Εξαταξίου Γυμνασίου / Γ΄ Οκταταξίου Γυμνασίου / Δ΄ Οκταταξίου Γυμνασίου
Μάθημα:  Μουσική
Σχολικό εγχειρίδιο Μουσικής για την Β' τάξη Εξαταξίων και Γ', Δ' τάξη Οκταταξίων σχολείων Μέσης Εκπαιδεύσεως. Περιέχει μείζονες κλίμακες και αλλοιωμένους φθόγγους, μελωδικές ασκήσεις και δίφωνες μελωδικές ...
[Σχολικό Εγχειρίδιο]
Μ. Καλομοίρης, Φ. Οικονομίδης
Τάξη:  Α' Γυμνασίου / Β' Γυμνασίου / Γ' Γυμνασίου / Δ' Γυμνασίου / Πρακτικό Λύκειο
Μάθημα:  Μουσική
Σχολικό εγχειρίδιο Μουσικής για την Α', Β', Γ΄, Δ' τάξη Γυμνασίου, Πρακτικών Λυκείων και Διδασκαλείων. Περιέχει ασκήσεις μελωδικές, χωρίς θεωρία.
[Σχολικό Εγχειρίδιο]
Ιω. Ν. Χατζιδάκις, Χρ. Α. Μπαρμπαστάθης
Τάξη:  Α' Γυμνασίου / Β' Γυμνασίου
Μάθημα:  Μαθηματικά
Σχολικό εγχειρίδιο Μαθηματικών για την Α΄ και Β' Γυμνασίου. Το βιβλίο αναφέρεται στις βασικές αρχές και έννοιες Γεωμετρίας και περιλαμβάνει σειρά ασκήσεων για πρακτική εξάσκηση των μαθητών.
[Σχολικό Εγχειρίδιο]
Ιω. Ν. Χατζιδάκις, Χρ. Α. Μπαρμπαστάθης
Τάξη:  Α' Γυμνασίου / Β' Γυμνασίου / Γ' Γυμνασίου
Μάθημα:  Αριθμητική
Σχολικό εγχειρίδιο Αριθμητικής για τις Α΄, Β΄ και Γ΄ τάξεις των Εξαταξίων Γυμνασίων που εστιάζει τις αριθμητικές πράξεις, τα κλάσματα, τους δεκαδικούς αριθμούς και είναι χωρισμένο σε θεωρία και ασκήσεις. ...
[Σχολικό Εγχειρίδιο]
Δ. Κοντογιάννης, Ν. Κοντόπουλος, Μ. Οικονόμου, Κ. Α. Ρωμαίος
Τάξη:  Β' Γυμνασίου
Μάθημα:  Νέα Ελληνικά
Σχολικό εγχειρίδιο Νέων Ελληνικών Β΄ Γυμνασίου που περιέχει πεζά και ποιήματα Ελλήνων συγγραφέων εμπνευσμένα από την κοινωνική και καθημερινή ζωή, την σύγχρονη ελληνική ιστορία, την αρχαία ελληνική ιστορία και