QR Code
03-20637629
Μ. Α. Γεωργιακώδης, Μ. Γ. Νικήτας

Μαθηματικά Γ' – Ασκήσεις μετά Λύσεων
[1968]

Μαθητικό βοήθημα Γεωμετρίας για τους μαθητές της Γ' Γυμνασίου. Το βιβλίο περιέχει ασκήσεις και λύσεις ασκήσεων Γεωμετρίας.


TopΠΕΔΙΟ ΑΝΑΓΝΩΡΙΣΗΣ

Κωδικός αναγνώρισης: 03-20637629

Τίτλος: Μαθηματικά Γ' – Ασκήσεις μετά Λύσεων

Συγγραφέας: Μ. Α. Γεωργιακώδης, Μ. Γ. Νικήτας

Μέγεθος και υπόστρωμα: Μαθητικό βοήθημα, μαλακό εξώφυλλο, 120 σελίδες.

TopΠΕΔΙΟ ΠΕΡΙΕΧΟΜΕΝΟΥ

Βαθμίδα εκπαίδευσης: Δευτεροβάθμια

Τάξη: Γ' Γυμνασίου

Μάθημα: Μαθηματικά

Γλώσσα: Δημοτική με στοιχεία καθαρεύουσας

Παρουσίαση περιεχομένου: Μαθητικό βοήθημα Γεωμετρίας για τους μαθητές της Γ' Γυμνασίου. Το βιβλίο περιέχει ασκήσεις και λύσεις ασκήσεων Γεωμετρίας.

TopΠΕΔΙΟ ΠΛΗΡΟΦΟΡΙΩΝ ΕΚΔΟΣΗΣ

Εκδότης: Πέτρος Κ. Ράνος

Έτος έκδοσης: 1968

Τόπος έκδοσης: Αθήνα

TopΠΕΔΙΟ ΠΑΡΑΤΗΡΗΣΕΩΝ

Εντοπισμός πρωτοτύπου: Βιβλιοθήκη της Βουλής των Ελλήνων

Κωδικός βιβλιοθήκης: 20637629

TopΕΥΡΕΤΗΡΙΟ ΘΕΜΑΤΙΚΩΝ ΟΡΩΝ

Σχετιζόμενα πρόσωπα:

Σχετιζόμενοι όροι:


122 εγγραφές [41 - 60]
Σελίδα #041
Σελίδα #042
Σελίδα #043
Σελίδα #044
Σελίδα #045
Σελίδα #046
Σελίδα #047
Σελίδα #048
Σελίδα #049
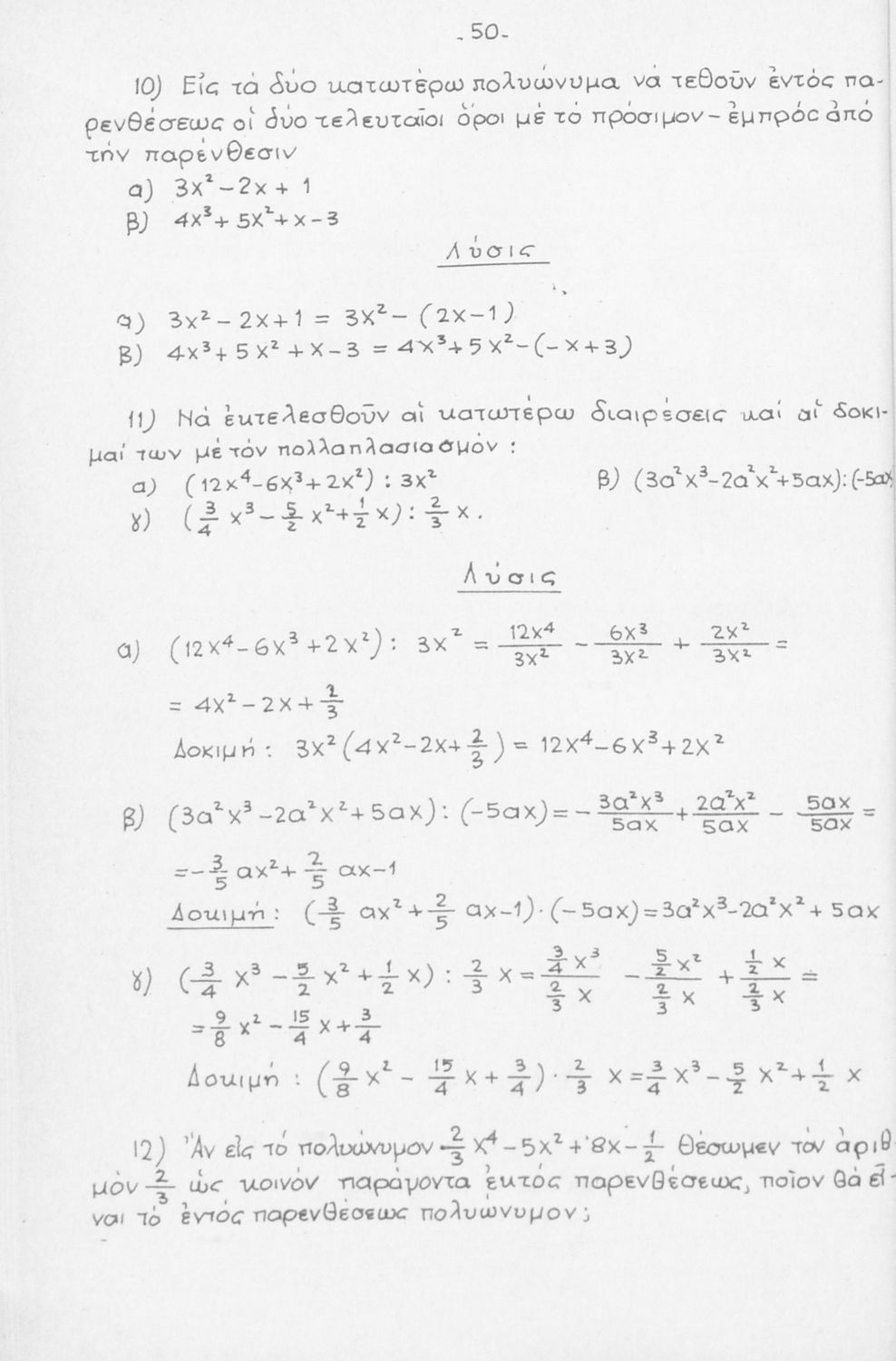
Σελίδα #050
Σελίδα #051
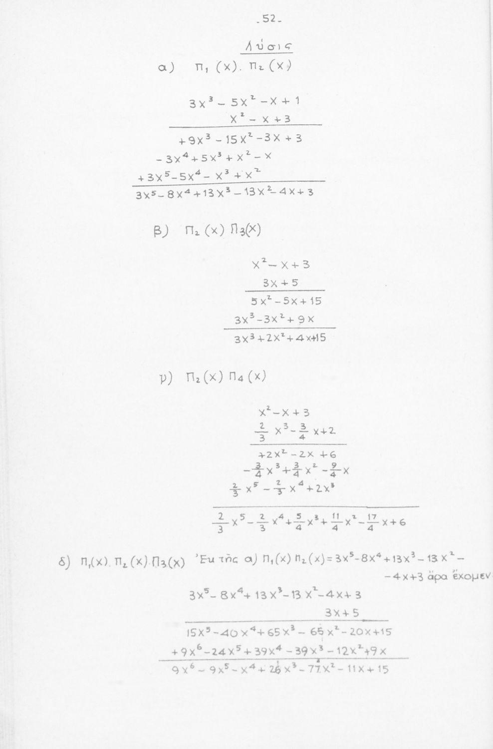
Σελίδα #052
Σελίδα #053
Σελίδα #054
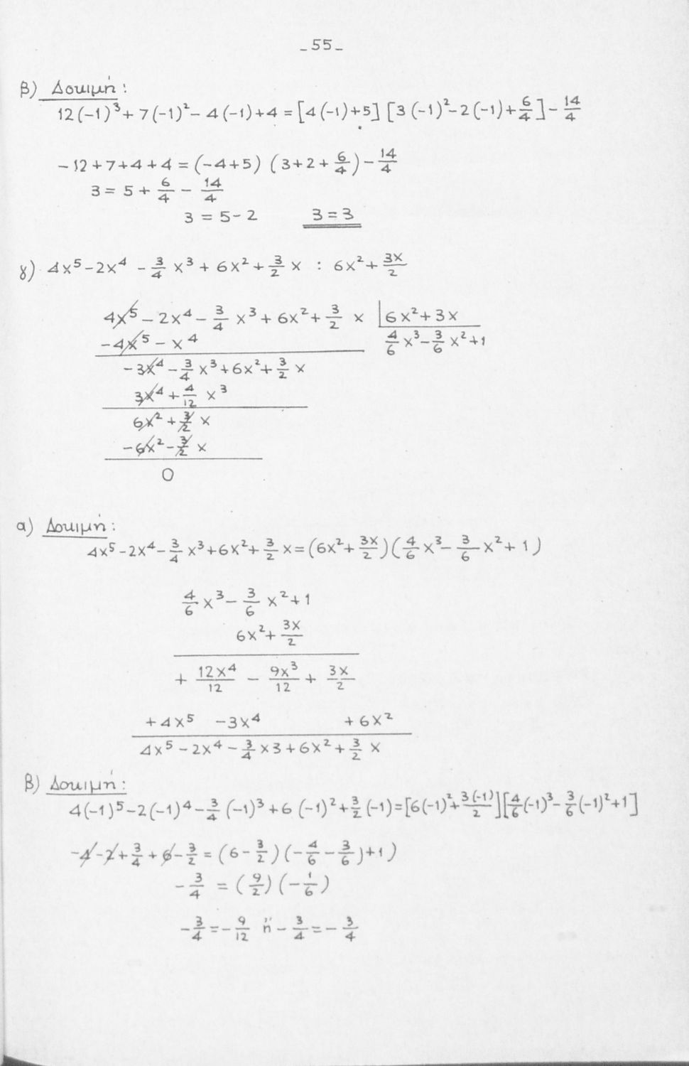
Σελίδα #055
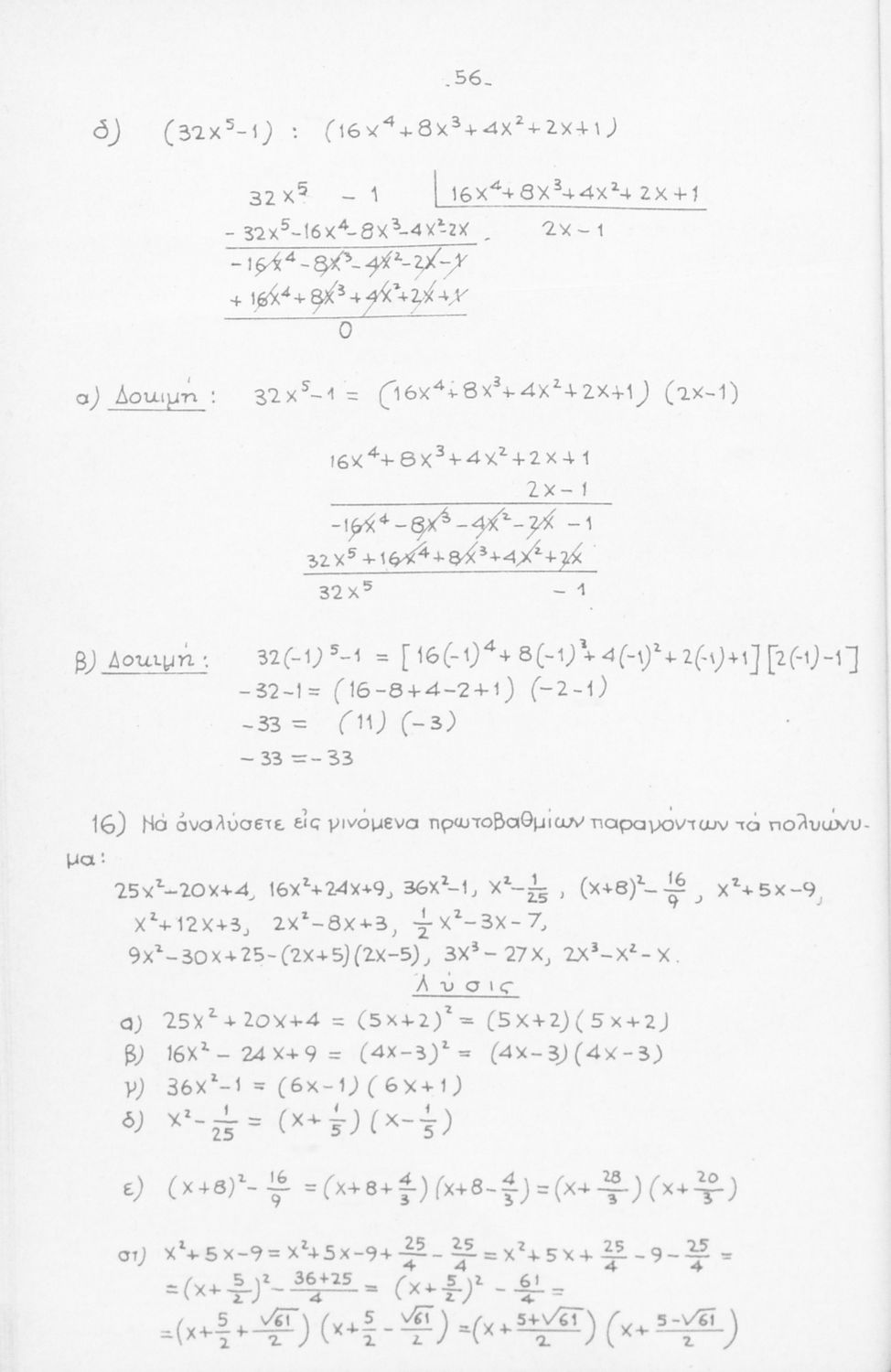
Σελίδα #056
Σελίδα #057
Σελίδα #058
Σελίδα #059
Σελίδα #060
Σελίδα #061
Σελίδα #062
Σελίδα #063
Σελίδα #064
[Σχολικό Εγχειρίδιο]
Χρ. Γ. Παπανικολάου
Τάξη:  Γ' Γυμνασίου
Μάθημα:  Μαθηματικά
Σχετιζόμενοι όροι:  γραμμές, γωνίες, πολύγωνα, κύκλος
Σχολικό εγχειρίδιο Γεωμετρίας Γ΄ Γυμνασίου χωρισμένο σε θεωρήματα και ασκήσεις που εστιάζει στην Επιπεδομετρία. Το εγχειρίδιο μεταγλωττίστηκε στη δημοτική από τους Ε. Πλατή και Ιορδάνη Παπαδόπουλο.
[Σχολικό Εγχειρίδιο]
Γ. Μπούσγος, Ι. Ταμβακλής
Τάξη:  Γ' Γυμνασίου
Μάθημα:  Μαθηματικά
Σχολικό εγχειρίδιο Μαθηματικών Γ΄ Γυμνασίου που περιέχει θεωρία, παραδείγματα και ασκήσεις και περιλαμβάνει Άλγεβρα, Τριγωνομετρία και στοιχεία Περιγραφικής Στατιστικής. Το εγχειρίδιο μεταγλωττίστηκε στη ...
[Σχολικό Εγχειρίδιο]
Γ. Μπούσγος, Ι. Ταμβακλής
Τάξη:  Γ' Γυμνασίου
Μάθημα:  Μαθηματικά
Σχολικό εγχειρίδιο Μαθηματικών Γ΄ Γυμνασίου που περιέχει θεωρία, παραδείγματα και ασκήσεις και περιλαμβάνει Άλγεβρα, Τριγωνομετρία και στοιχεία Περιγραφικής Στατιστικής. Το εγχειρίδιο μεταγλωττίστηκε από τον ...
[Σχολικό Εγχειρίδιο]
Γ. Μπούσγος, Ι. Ταμβακλής
Τάξη:  Γ' Γυμνασίου
Μάθημα:  Μαθηματικά
Σχολικό εγχειρίδιο Μαθηματικών Γ΄ Γυμνασίου που περιέχει θεωρία, παραδείγματα και ασκήσεις και περιλαμβάνει Άλγεβρα, Τριγωνομετρία και στοιχεία Περιγραφικής Στατιστικής. Το εγχειρίδιο μεταγλωττίστηκε από τον ...
[Σχολικό Εγχειρίδιο]
Νικόλ. Δ. Νικολάου
Τάξη:  Α' Γυμνασίου / Β' Γυμνασίου / Γ' Γυμνασίου
Μάθημα:  Μαθηματικά
Σχολικό εγχειρίδιο Αριθμητικής για τις Α΄, Β΄, Γ΄ Γυμνασίου που είναι χωρισμένο σε ορισμούς και ασκήσεις και εστιάζει στις ιδιότητες των αριθμητικών πράξεων, τα κλάσματα και την τετραγωνική ρίζα.
[Σχολικό Εγχειρίδιο]
Νικόλαος Δ. Νικολάου
Τάξη:  Γ' Γυμνασίου / Δ' Γυμνασίου / Ε' Γυμνασίου / ΣΤ' Γυμνασίου
Μάθημα:  Μαθηματικά
Σχολικό εγχειρίδιο Γεωμετρίας για τις Γ΄, Δ΄, Ε΄, ΣΤ΄ Γυμνασίου που περιλαμβάνει θεωρία και ασκήσεις και είναι χωρισμένο σε Επιπεδομετρία και Στερεομετρία. Φέρει το σύμβολο της δικτατορίας.
[Σχολικό Εγχειρίδιο]
Χρ. Γ. Παπανικολάου
Τάξη:  Γ' Γυμνασίου / Δ' Γυμνασίου / Ε' Γυμνασίου / ΣΤ' Γυμνασίου
Μάθημα:  Μαθηματικά
Σχετιζόμενοι όροι:  πολύγωνα, κύκλος, εμβαδόν, όγκος, προβολή
Σχολικό εγχειρίδιο Γεωμετρίας για τις Γ΄, Δ΄, Ε΄, ΣΤ΄ Γυμνασίου που περιλαμβάνει θεωρία και ασκήσεις και είναι χωρισμένο σε Επιπεδομετρία και Στερεομετρία.
[Σχολικό Εγχειρίδιο]
Σπ. Γ. Κανέλλος
Τάξη:  Β' Λυκείου / Γ' Λυκείου
Μάθημα:  Μαθηματικά
Σχολικό εγχειρίδιο Γεωμετρίας για τις Β΄ και Γ΄ Λυκείου που περιλαμβάνει αξιώματα, θεωρήματα και κατασκευές και είναι χωρισμένο σε Γεωμετρία Επιπέδου και Γεωμετρία Χώρου. Το εγχειρίδιο μεταγλωττίστηκε από τον ...
[Σχολικό Εγχειρίδιο]
Χρ. Γ. Παπανικολάου
Τάξη:  Α' Λυκείου / Β' Λυκείου / Γ' Λυκείου
Μάθημα:  Μαθηματικά
Σχολικό εγχειρίδιο Γεωμετρίας για τις Α΄, Β΄ και Γ΄ Λυκείου που περιλαμβάνει θεωρία και ασκήσεις και είναι χωρισμένο σε Επιπεδομετρία και Στερεομετρία.
[Σχολικό Εγχειρίδιο]
Βασίλειος Στάικος 
Τάξη:  Γ' Λυκείου
Μάθημα:  Μαθηματικά
Σχετιζόμενοι όροι:  σύνολα, συναρτήσεις, ολοκληρώματα
Σχολικό εγχειρίδιο Μαθηματικών Γ΄ Λυκείου που είναι χωρισμένο σε θεωρήματα, παραδείγματα και ασκήσεις και περιλαμβάνει στοιχεία Ανώτερης Άλγεβρας και Μαθηματικής Ανάλυσης.