QR Code
03-20637653
Αλέξανδρος Κων. Θεοδωρίδης

Η Τεχνική της Λύσεως των Ασκήσεων Χημείας δια τους υποψηφίους των ανωτάτων σχολών και τους μαθητάς της Μέσης Εκπαιδεύσεως
[1970]

Μαθητικό βοήθημα Χημείας για τους υποψηφίους των Ανωτάτων Σχολών και τους μαθητές Μέσης Εκπαίδευσης που περιέχει ασκήσεις και προβλήματα Ανόργανης Χημείας.


TopΠΕΔΙΟ ΑΝΑΓΝΩΡΙΣΗΣ

Κωδικός αναγνώρισης: 03-20637653

Τίτλος: Η Τεχνική της Λύσεως των Ασκήσεων Χημείας δια τους υποψηφίους των ανωτάτων σχολών και τους μαθητάς της Μέσης Εκπαιδεύσεως

Συγγραφέας: Αλέξανδρος Κων. Θεοδωρίδης

Μέγεθος και υπόστρωμα: Μαθητικό βοήθημα, σκληρό εξώφυλλο, 226 σελίδες.

TopΠΕΔΙΟ ΠΕΡΙΕΧΟΜΕΝΟΥ

Βαθμίδα εκπαίδευσης: Δευτεροβάθμια

Μάθημα: Χημεία

Γλώσσα: Απλή καθαρεύουσα

Παρουσίαση περιεχομένου: Μαθητικό βοήθημα Χημείας για τους υποψηφίους των Ανωτάτων Σχολών και τους μαθητές Μέσης Εκπαίδευσης που περιέχει ασκήσεις και προβλήματα Ανόργανης Χημείας.

TopΠΕΔΙΟ ΠΛΗΡΟΦΟΡΙΩΝ ΕΚΔΟΣΗΣ

Εκδότης: Νέα Έκδοσις

Έτος έκδοσης: 1970

Τόπος έκδοσης: Θεσσαλονίκη

TopΠΕΔΙΟ ΠΑΡΑΤΗΡΗΣΕΩΝ

Εντοπισμός πρωτοτύπου: Βιβλιοθήκη της Βουλής των Ελλήνων

Κωδικός βιβλιοθήκης: 20637653

TopΕΥΡΕΤΗΡΙΟ ΘΕΜΑΤΙΚΩΝ ΟΡΩΝ

Σχετιζόμενα πρόσωπα:

Σχετιζόμενοι όροι:


234 εγγραφές [81 - 100]
Σελίδα #081
Σελίδα #082
Σελίδα #083
Σελίδα #084
Σελίδα #085
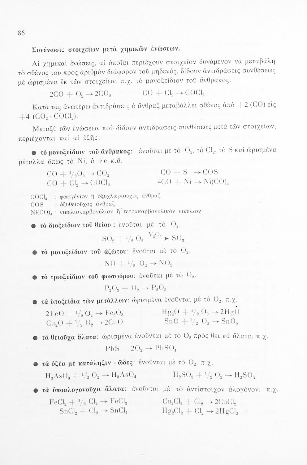
Σελίδα #086
Σελίδα #087
Σελίδα #088
Σελίδα #089
Σελίδα #090
Σελίδα #091
Σελίδα #092
Σελίδα #093
Σελίδα #094
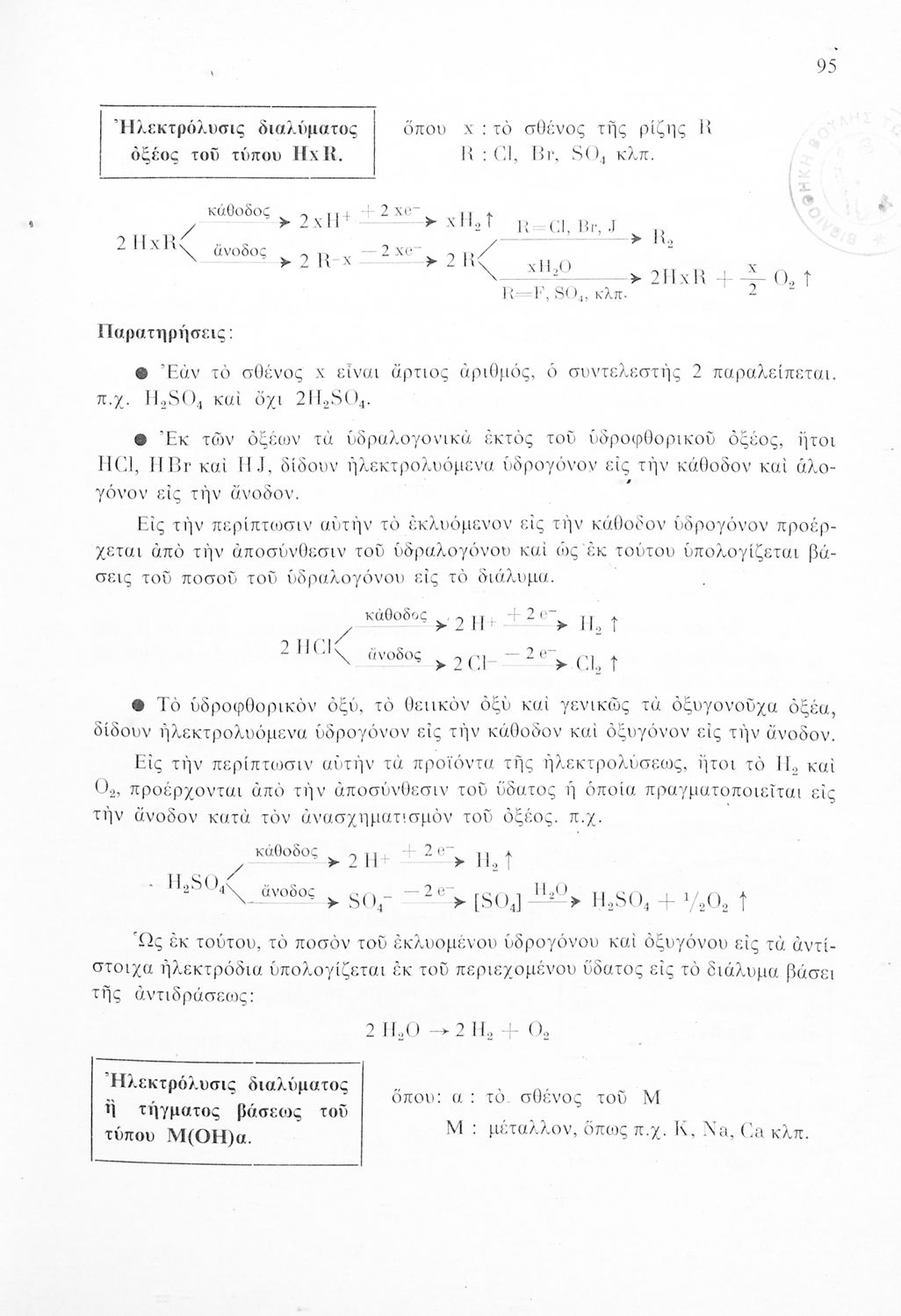
Σελίδα #095
Σελίδα #096
Σελίδα #097
Σελίδα #098
Σελίδα #099
Σελίδα #100
Σελίδα #101
Σελίδα #102
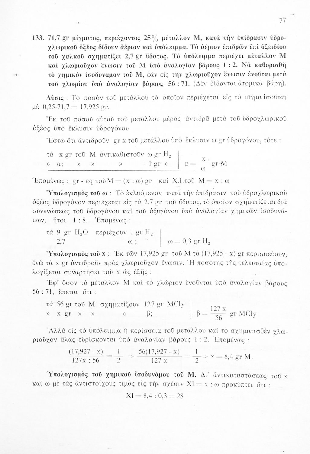
Σελίδα #103
Σελίδα #104
[Μαθητικό Βοήθημα]
Γεώργιος Π. Μπακούρος
Μάθημα:  Μαθηματικά
Σχετιζόμενοι όροι:  άλγεβρα, λύσεις ασκήσεων
Μαθητικό βοήθημα Μαθηματικών για τους υποψηφίους των ανωτάτων σχολών και τους μαθητές της Μέσης Εκπαίδευσης που περιλαμβάνει αλγεβρικές λύσεις σε προβλήματα υπολογισμού ταχύτητας και κίνησης.
[Μαθητικό Βοήθημα]
Στέφανος Δ. Σερμπέτης
Μάθημα:  Χημεία
Μαθητικό βοήθημα για τους υποψηφίους των εισαγωγικών εξετάσεων των Ανωτάτων Σχολών και των μαθητών των ανωτέρων τάξεων των Σχολείων Μέσης Εκπαιδεύσεως. Το βιβλίο περιέχει λύσεις ασκήσεων ανόργανης και ...
[Μαθητικό Βοήθημα]
Αλκίνοος Ε. Μάζης
Τάξη:  Γυμνάσιο
Μάθημα:  Φυσική
Μαθητικό βοήθημα Φυσικής για τους μαθητές των Σχολείων Μέσης Εκπαίδευσης και τους υποψήφιους σπουδαστές των Ανωτάτων Σχολών. Το βιβλίο περιλαμβάνει ασκήσεις Φυσικής στις θεματικές της οπτικής, του μαγνητισμού ...
[Μαθητικό Βοήθημα]
Πέτρος Δ. Πλούτσης
Τάξη:  Γυμνάσιο
Μάθημα:  Μαθηματικά
Μαθητικό βοήθημα Μαθηματικών για τους μαθητές από Α' μέχρι και ΣΤ΄ Γυμνασίου, υποψήφιους Ανωτάτων Σχολών και φοιτητές. Το βιβλίο παρουσιάζει τρόπους για την επίλυση ασκήσεων και προβλημάτων Άλγεβρας, ...
[Μαθητικό Βοήθημα]
Σπύρος Γ. Κανέλλος
Μάθημα:  Μαθηματικά
Μαθητικό βοήθημα Άλγεβρας για τους υποψηφίους των Ανωτάτων Σχολών και τους μαθητές των Πρακτικών Λυκείων που εστιάζει στους μιγαδικούς αριθμούς και τα συστήματα εξισώσεων. Περιλαμβάνει ασκήσεις και προβλήματα.
[Μαθητικό Βοήθημα]
Κ. Α. Μανωλκίδης
Τάξη:  Γυμνάσιο
Μάθημα:  Χημεία
Μαθητικό βοήθημα Ανόργανης Χημείας για τους μαθητές των τελευταίων τάξεων του Γυμνασίου και τους υποψηφίους των Ανωτάτων Σχολών. Το βιβλίο κάνει μια γενική επισκόπηση της ανόργανης χημείας. Αρχίζοντας με ...
[Μαθητικό Βοήθημα]
Κ. Α. Μανωλκίδης
Τάξη:  ΣΤ' Γυμνασίου
Μάθημα:  Χημεία
Μαθητικό βοήθημα Χημείας για τους μαθητές της ΣΤ΄ τάξης των σχολείων Μέσης Εκπαιδεύσεως και των υποψηφίων σπουδαστών των θετικών επιστημών. Το βιβλίο περιλαμβάνει μια συνολική παρουσίαση της Οργανικής Χημείας ...
[Μαθητικό Βοήθημα]
Σαλτερής Γ. Περιστεράκης
Μάθημα:  Φυσική
Μαθητικό βοήθημα Φυσικής για τους υποψήφιους των Ανωτάτων Σχολών και των μαθητών των ανωτέρων τάξεων των Σχολείων Μέσης Εκπαιδεύσεως που περιλαμβάνει ασκήσεις ηλεκτρονικής, ατομικής και πυρηνικής Φυσικής.
[Μαθητικό Βοήθημα]
Κ. Δ. Παλαιολόγος, Σ. Γ. Περιστεράκης
Μάθημα:  Φυσική
Μαθητικό βοήθημα Φυσικής για τους υποψηφίους των Ανωτάτων Σχολών και των μαθητών των ανωτέρων τάξεων των σχολείων Μέσης Εκπαίδευσης. Το βιβλίο παρουσιάζει τις θεματικές της μηχανικής, της ακουστικής και της ...
[Μαθητικό Βοήθημα]
Κ. Δ. Παλαιολόγος, Σ. Γ. Περιστεράκης
Τάξη:  Γυμνάσιο
Μάθημα:  Φυσική
Μαθητικό βοήθημα Φυσικής για τους υποψήφιους των Ανωτάτων Σχολών και των μαθητών των ανωτέρων τάξεων των Σχολείων Μέσης Εκπαιδεύσεως. Το βιβλίο χωρίζεται σε τρία μέρη και περιλαμβάνει ασκήσεις σχετικά με την ...