QR Code
03-20637696
Θ. Γ. Κουγιουμζέλης, Σ. Γ. Περιστεράκης

Στοιχεία Φυσικής – Κυματική – Ταλαντώσεις και Κύματα Ακουστική, Οπτική
[1963, 5η Έκδοση]

Μαθητικό βοήθημα Φυσικής για τους μαθητές του Γυμνασίου και τους υποψηφίους ανωτάτων ιδρυμάτων. Το βιβλίο εξετάζει τη θεματική της μηχανικής και περιέχει ιδιότητες των ταλαντώσεων και διάδοση των κυμάτων. Επιπλέον εξετάζει ζητήματα Ακουστικής και της Οπτικής


TopΠΕΔΙΟ ΑΝΑΓΝΩΡΙΣΗΣ

Κωδικός αναγνώρισης: 03-20637696

Τίτλος: Στοιχεία Φυσικής – Κυματική – Ταλαντώσεις και Κύματα Ακουστική, Οπτική

Συγγραφέας: Θ. Γ. Κουγιουμζέλης, Σ. Γ. Περιστεράκης

Μέγεθος και υπόστρωμα: Μαθητικό βοήθημα, σκληρό εξώφυλλο, 428 σελίδες.

TopΠΕΔΙΟ ΠΕΡΙΕΧΟΜΕΝΟΥ

Βαθμίδα εκπαίδευσης: Δευτεροβάθμια

Τάξη: Τεχνικές Σχολές

Μάθημα: Φυσική

Γλώσσα: Καθαρεύουσα

Παρουσίαση περιεχομένου: Μαθητικό βοήθημα Φυσικής για τους μαθητές του Γυμνασίου και τους υποψηφίους ανωτάτων ιδρυμάτων. Το βιβλίο εξετάζει τη θεματική της μηχανικής και περιέχει ιδιότητες των ταλαντώσεων και διάδοση των κυμάτων. Επιπλέον εξετάζει ζητήματα Ακουστικής και της Οπτικής

TopΠΕΔΙΟ ΠΛΗΡΟΦΟΡΙΩΝ ΕΚΔΟΣΗΣ

Εκδότης: Αθανάσιος Καραβιάς

Έτος έκδοσης: 1963

Τόπος έκδοσης: Αθήνα

Έκδοση:

TopΠΕΔΙΟ ΠΑΡΑΤΗΡΗΣΕΩΝ

Εντοπισμός πρωτοτύπου: Βιβλιοθήκη της Βουλής των Ελλήνων

Κωδικός βιβλιοθήκης: 20637696

TopΕΥΡΕΤΗΡΙΟ ΘΕΜΑΤΙΚΩΝ ΟΡΩΝ

Σχετιζόμενα πρόσωπα:

Σχετιζόμενοι όροι:


420 εγγραφές [21 - 40]
Σελίδα #021
Σελίδα #022
Σελίδα #023
Σελίδα #024
Σελίδα #025
Σελίδα #026
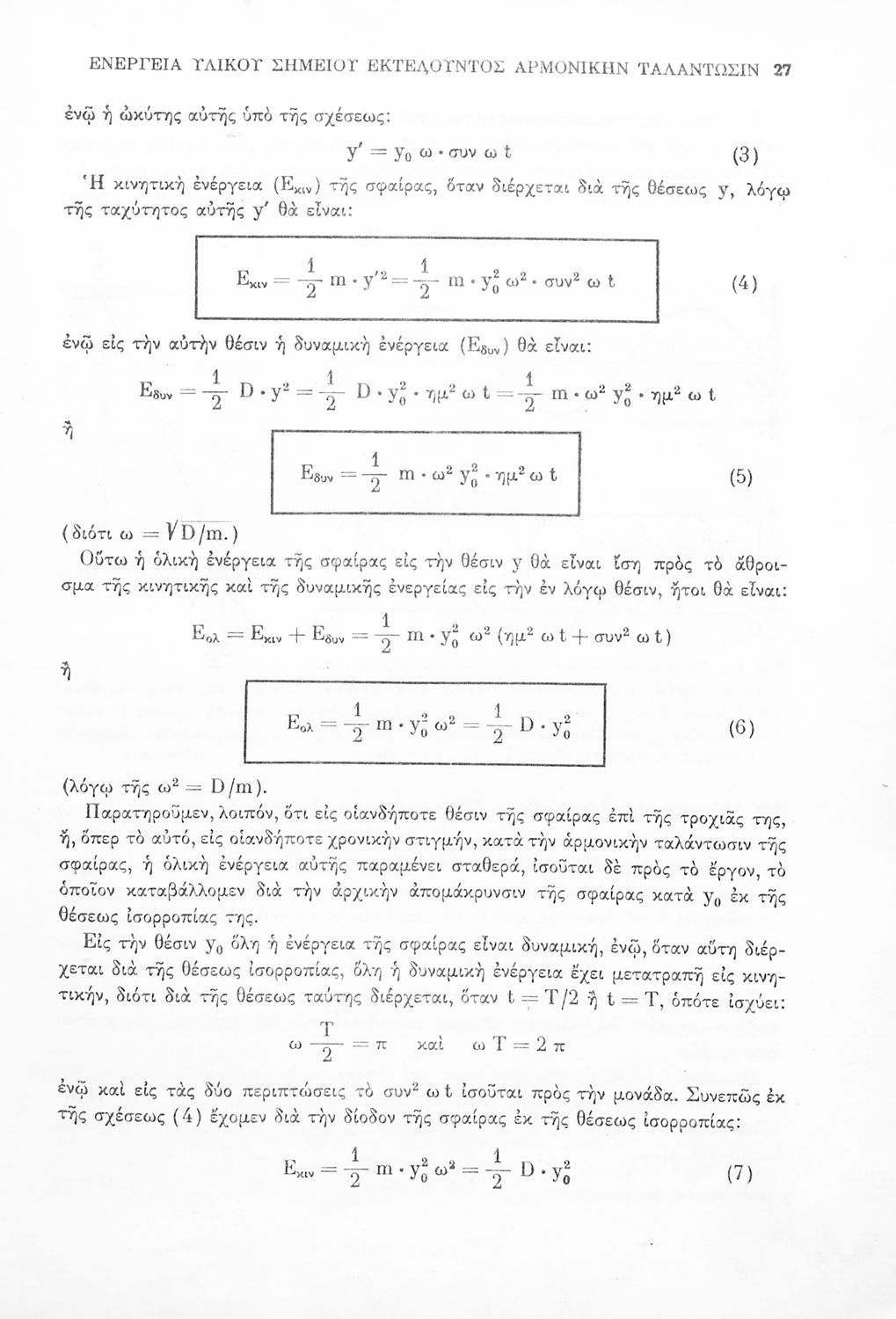
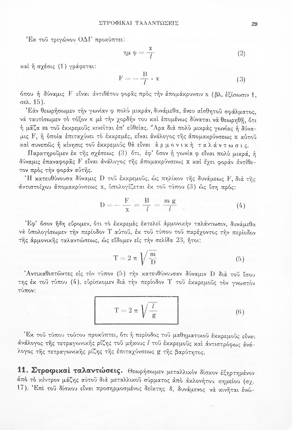
Σελίδα #027
Σελίδα #028
Σελίδα #029
Σελίδα #030
Σελίδα #031
Σελίδα #032
Σελίδα #033
Σελίδα #034
Σελίδα #035
Σελίδα #036
Σελίδα #037
Σελίδα #038
Σελίδα #039
Σελίδα #040
Σελίδα #041
Σελίδα #042
Σελίδα #043
Σελίδα #044
[Παιδαγωγικό Βοήθημα]
Ανδρέας Σπαθάρης
Μάθημα:  Φυσική
Παιδαγωγικό βοήθημα, το οποίο απευθυνόταν κυρίως στους εκπαιδευτικούς για τη μελέτη της Φυσικής επιστήμης και τη διευκόλυνση της διδακτικής πρακτικής. Περιέχει πληροφορίες σχετικές με τις ιδιότητες των ...
[Μαθητικό Βοήθημα]
Νικ. Π. Θεοδώρου
Μάθημα:  Φυσική
Μαθητικό βοήθημα Φυσικής για τους τελειόφοιτους Γυμνασίων και σπουδαστών Ανωτέρων Σχολών που πραγματεύεται ζητήματα μηχανικής, ακουστικής και οπτικής.
[Μαθητικό Βοήθημα]
Σπύρος Ν. Παπανικολάου
Μάθημα:  Φυσική
Μαθητικό βοήθημα Φυσικής πραγματεύεται ζητήματα μηχανικής των σωμάτων, θερμότητας, οπτικής και ηλεκτρισμού. Στο βιβλίο δεν προσδιορίζει τη τάξη στην οποία αναφέρεται.
[Μαθητικό Βοήθημα]
Α. Σ. Παπάζης, Γ. Ι. Κοσσίδας
Μάθημα:  Φυσική
Μαθητικό βοήθημα Φυσικής για τους υποψήφιους των εξετάσεων Ακαδημαϊκού Απολυτηρίου Τύπου “Α”. Το βιβλίο περιλαμβάνει στοιχεία Φυσικής στις θεματικές της μηχανικής, της θερμότητας της οπτικής και του ...
[Μαθητικό Βοήθημα]
Σπύρος Γ. Κανέλλος
Τάξη:  Λύκειο
Μάθημα:  Φυσική
Μαθητικό βοήθημα Φυσικής Λυκείου που περιέχει ασκήσεις και προβλήματα κυματικής, ακουστικής, και οπτικής.
[Μαθητικό Βοήθημα]
Γ. Πρίφτης, Δ. Ιωάννου
Μάθημα:  Φυσική
Μαθητικό βοήθημα Φυσικής για τους υποψήφιους φοιτητές που περιέχει 400 ερωτήσεις και απαντήσεις και καλύπτει τις θεματικές της μηχανικής, της ακουστικής, τη θερμότητας, της οπτικής, του μαγνητισμού, του ...
[Μαθητικό Βοήθημα]
Στ. Σταυρόπουλος (επιμέλεια)
Τάξη:  Γυμνάσιο
Μάθημα:  Φυσική
Μαθητικό βοήθημα Φυσικής για τους υποψήφιους των εξετάσεων Ακαδημαϊκού Απολυτηρίου Τύπου “Α”. Το βιβλίο περιλαμβάνει στοιχεία Φυσικής στις θεματικές της μηχανικής, της θερμότητας της οπτικής και του ...
[Μαθητικό Βοήθημα]
Κ. Δ. Αλεξόπουλος, Γ. Δ. Μπίλλης
Τάξη:  Γυμνάσιο
Μάθημα:  Φυσική
Μαθητικό βοήθημα Φυσικής για τους μαθητές των Γυμνασίων και των υποψηφίων των εισαγωγικών εξετάσεων των Ανωτάτων Σχολών. Το βιβλίο περιέχει Το βιβλίο περιλαμβάνει στοιχεία Φυσικής στις θεματικές της μηχανικής,
[Σχολικό Εγχειρίδιο]
Χάρης Σ. Πάτσης
Τάξη:  Γ' Δημοτικού
Σχολικό εγχειρίδιο Φυσικής Ιστορίας Γ΄ Δημοτικού που παρουσιάζει τα διαφορετικά μέρη των φυτών και τις ιδιότητές τους και περιγράφει τον τρόπο γονιμοποίησης και προφύλαξής τους από πιθανές απειλές. Το δεύτερο ...
[Σχολικό Εγχειρίδιο]
Αλκίνοος Μάζης
Φυσική Γ΄ Λυκείου   [1980, 20η Έκδοση]
Τάξη:  Γ' Λυκείου
Μάθημα:  Φυσική
Σχολικό εγχειρίδιο Φυσικής Γ΄ Λυκείου που εστιάζει στην μηχανική, στην οπτική, στην ακουστική, στον ηλεκτρισμού καθώς και στην ατομική και πυρηνική φυσική.