QR Code
03-20637996
Λάζαρος Λάζος

Ασκήσεις και Προβλήματα Γεωμετρίας Μέρος Γ'
[1934]

Παιδαγωγικό βοήθημα Γεωμετρίας για τους μαθητές Γυμνασίων, Πρακτικών Λυκείων και τους υποψήφιους των Ανωτάτων Σχολών που περιέχει λύσεις σε ασκήσεις και προβλήματα Αναλυτικής Γεωμετρίας του σχολικού εγχειριδίου του Νείλου Σακελλαρίου.


TopΠΕΔΙΟ ΑΝΑΓΝΩΡΙΣΗΣ

Κωδικός αναγνώρισης: 03-20637996

Τίτλος: Ασκήσεις και Προβλήματα Γεωμετρίας Μέρος Γ'

Συγγραφέας: Λάζαρος Λάζος

Μέγεθος και υπόστρωμα: Παιδαγωγικό βοήθημα, σκληρό εξώφυλλο, 212 σελίδες.

TopΠΕΔΙΟ ΠΕΡΙΕΧΟΜΕΝΟΥ

Βαθμίδα εκπαίδευσης: Δευτεροβάθμια

Τάξη: Γυμνάσιο / Πρακτικό Λύκειο

Μάθημα: Μαθηματικά

Γλώσσα: Καθαρεύουσα

Παρουσίαση περιεχομένου: Παιδαγωγικό βοήθημα Γεωμετρίας για τους μαθητές Γυμνασίων, Πρακτικών Λυκείων και τους υποψήφιους των Ανωτάτων Σχολών που περιέχει λύσεις σε ασκήσεις και προβλήματα Αναλυτικής Γεωμετρίας του σχολικού εγχειριδίου του Νείλου Σακελλαρίου.

TopΠΕΔΙΟ ΠΛΗΡΟΦΟΡΙΩΝ ΕΚΔΟΣΗΣ

Εκδότης: Ιωάννης Ν. Σιδέρης

Έτος έκδοσης: 1934

Τόπος έκδοσης: Αθήνα

TopΠΕΔΙΟ ΠΑΡΑΤΗΡΗΣΕΩΝ

Εντοπισμός πρωτοτύπου: Βιβλιοθήκη της Βουλής των Ελλήνων

Κωδικός βιβλιοθήκης: 20637996

TopΕΥΡΕΤΗΡΙΟ ΘΕΜΑΤΙΚΩΝ ΟΡΩΝ

Σχετιζόμενα πρόσωπα:

Σχετιζόμενοι όροι:


212 εγγραφές [141 - 160]
Σελίδα #141
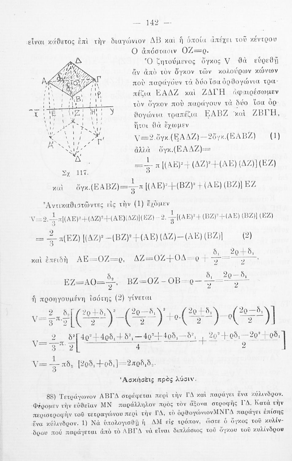
Σελίδα #142
Σελίδα #143
Σελίδα #144
Σελίδα #145
Σελίδα #146
Σελίδα #147
Σελίδα #148
Σελίδα #149
Σελίδα #150
Σελίδα #151
Σελίδα #152
Σελίδα #153
Σελίδα #154
Σελίδα #155
Σελίδα #156
Σελίδα #157
Σελίδα #158
Σελίδα #159
Σελίδα #160
Σελίδα #161
Σελίδα #162
Σελίδα #163
Σελίδα #164
[Σχολικό Εγχειρίδιο]
Κ. Παπανικητόπουλος
Τάξη:  Α' Ελληνικού Σχολείου / Β' Ελληνικού Σχολείου / Γ' Ελληνικού Σχολείου
Μάθημα:  Γεωμετρία
Σχολικό εγχειρίδιο Γεωμετρίας για τις Α΄, Β΄, Γ' Ελληνικού Σχολείου που περιλαμβάνει θεωρία, προβλήματα και ασκήσεις και εστιάζει στα γεωμετρικά σχήματα και σώματα και τη μέτρησή τους.
[Σχολικό Εγχειρίδιο]
Νικόλαος Δ. Νικολάου
Τάξη:  Γ' Γυμνασίου / Δ' Γυμνασίου / Ε' Γυμνασίου / ΣΤ' Γυμνασίου
Μάθημα:  Μαθηματικά
Σχολικό εγχειρίδιο Γεωμετρίας για τις Γ΄, Δ΄, Ε΄, ΣΤ΄ Γυμνασίου που περιλαμβάνει θεωρία και ασκήσεις και είναι χωρισμένο σε Επιπεδομετρία και Στερεομετρία. Φέρει το σύμβολο της δικτατορίας.
[Σχολικό Εγχειρίδιο]
Χρ. Γ. Παπανικολάου
Τάξη:  Γ' Γυμνασίου / Δ' Γυμνασίου / Ε' Γυμνασίου / ΣΤ' Γυμνασίου
Μάθημα:  Μαθηματικά
Σχετιζόμενοι όροι:  πολύγωνα, κύκλος, εμβαδόν, όγκος, προβολή
Σχολικό εγχειρίδιο Γεωμετρίας για τις Γ΄, Δ΄, Ε΄, ΣΤ΄ Γυμνασίου που περιλαμβάνει θεωρία και ασκήσεις και είναι χωρισμένο σε Επιπεδομετρία και Στερεομετρία.
[Σχολικό Εγχειρίδιο]
Χρ. Γ. Παπανικολάου
Τάξη:  Γ' Γυμνασίου
Μάθημα:  Μαθηματικά
Σχετιζόμενοι όροι:  γραμμές, γωνίες, πολύγωνα, κύκλος
Σχολικό εγχειρίδιο Γεωμετρίας Γ΄ Γυμνασίου χωρισμένο σε θεωρήματα και ασκήσεις που εστιάζει στην Επιπεδομετρία. Το εγχειρίδιο μεταγλωττίστηκε στη δημοτική από τους Ε. Πλατή και Ιορδάνη Παπαδόπουλο.
[Σχολικό Εγχειρίδιο]
Χρ. Γ. Παπανικολάου
Τάξη:  Α' Λυκείου / Β' Λυκείου / Γ' Λυκείου
Μάθημα:  Μαθηματικά
Σχολικό εγχειρίδιο Γεωμετρίας για τις Α΄, Β΄ και Γ΄ Λυκείου που περιλαμβάνει θεωρία και ασκήσεις και είναι χωρισμένο σε Επιπεδομετρία και Στερεομετρία.
[Σχολικό Εγχειρίδιο]
Ιωάννης Ταμπακόπουλος
Τάξη:  Α' Ελληνικού Σχολείου / Β' Ελληνικού Σχολείου / Γ' Ελληνικού Σχολείου / Αστικό Σχολείο / Ανωτέρα Παρθεναγωγεία
Μάθημα:  Μαθηματικά
Σχολικό εγχειρίδιο Γεωμετρίας για την Α΄, Β΄ και Γ΄ τάξη των Ελληνικών και Αστικών Σχολείων και Παρθεναγωγείων που είναι χωρισμένο σε Επιπεδομετρία και Στερεομετρία και περιλαμβάνει θεωρία και ασκήσεις.
[Σχολικό Εγχειρίδιο]
Α. Σακελλαρίου, Α. Κοντομάρης
Τάξη:  Γ' Δημοτικού
Μάθημα:  Μαθηματικά
Σχετιζόμενοι όροι:  αριθμητικές πράξεις, ασκήσεις
Σχολικό εγχειρίδιο με προβλήματα Αριθμητικής για την Γ΄ Δημοτικού χωρισμένο με βάση τις αριθμητικές πράξεις και τις εκατοντάδες.
[Μαθητικό Βοήθημα]
Λάζαρος Λάζος, Πέτρος Γ. Τόγκας
Τάξη:  Γυμνάσιο / Λύκειο
Μάθημα:  Μαθηματικά
Μαθητικό βοήθημα Γεωμετρίας για τα Γυμνάσια και Λύκεια που περιέχει τις λύσεις των ασκήσεων που περιλαμβάνονται στο Γ΄ και Δ΄ βιβλίο της Γεωμετρίας του Νείλου Σακελλαρίου του 1931.
[Σχολικό Εγχειρίδιο]
Δ. Παπαμιχαήλ, Α. Σκιαδάς
Τάξη:  Γ' Γυμνασίου
Μάθημα:  Μαθηματικά
Σχολικό εγχειρίδιο Γεωμετρίας Γ΄ Γυμνασίου χωρισμένο σε θεωρήματα, λυμένες ασκήσεις, ασκήσεις και επαναλήψεις κεφαλαίου. Περιέχει ένα παράρτημα με επαναληπτικά μαθήματα και ένα με ευρετήριο όρων.
[Σχολικό Εγχειρίδιο]
Νικόλαος Αναστ. Καρκάνης
Τάξη:  Γ' Δημοτικού
Μάθημα:  Μαθηματικά
Σχολικό εγχειρίδιο Αριθμητικής για την Γ΄ Δημοτικού που περιλαμβάνει θεωρία, παραδείγματα και ασκήσεις και εστιάζει στις αριθμητικές πράξεις. Περιέχει και 11 σελίδες Γεωμετρίας.