QR Code
03-20638004
Σπυρίδωνας Β. Κονισπολιάτος

Αποδείξεις και λύσεις απάντων των άλυτων ασκήσεων της άλγεβρας του κράτους (Ν. Λέκου) : προς χρήσιν των μαθητών των Γυμνασίων, των υποψηφίων δια τας Στρατιωτικάς σχολάς και το Πολυτεχνείο
[1912]

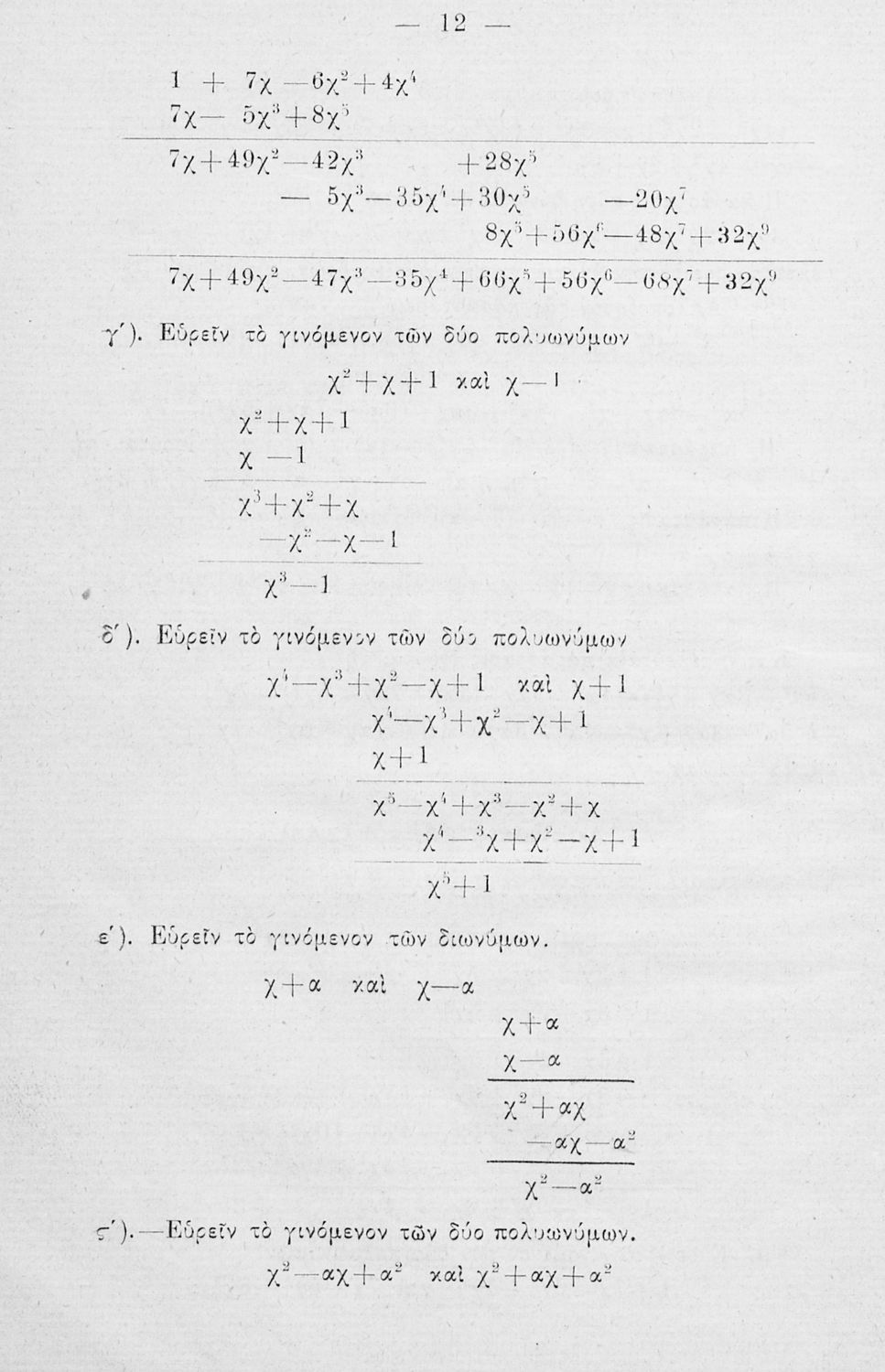
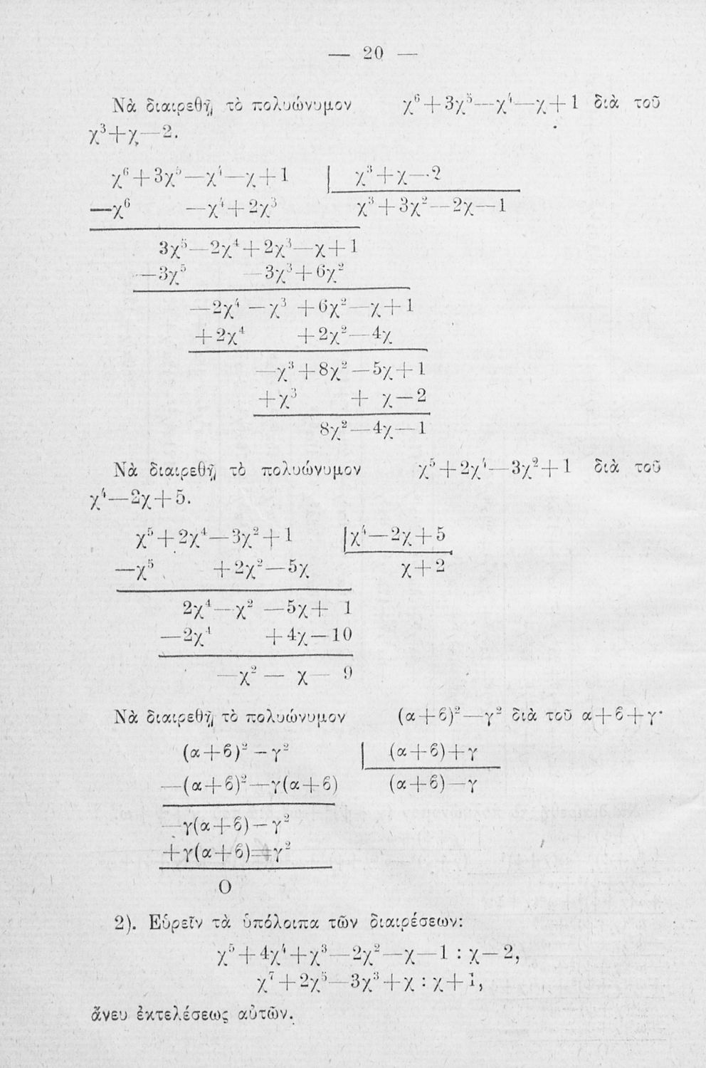
Μαθητικό βοήθημα Μαθηματικών για τους μαθητές των Γυμνασίων και τους υποψήφιους των Στρατιωτικών σχολών και του Πολυτεχνείου που περιλαμβάνει λύσεις ασκήσεων Άλγεβρας.


TopΠΕΔΙΟ ΑΝΑΓΝΩΡΙΣΗΣ

Κωδικός αναγνώρισης: 03-20638004

Τίτλος: Αποδείξεις και λύσεις απάντων των άλυτων ασκήσεων της άλγεβρας του κράτους (Ν. Λέκου) : προς χρήσιν των μαθητών των Γυμνασίων, των υποψηφίων δια τας Στρατιωτικάς σχολάς και το Πολυτεχνείο

Συγγραφέας: Σπυρίδωνας Β. Κονισπολιάτος

Μέγεθος και υπόστρωμα: Μαθητικό βοήθημα, σκληρό εξώφυλλο, 118 σελίδες.

TopΠΕΔΙΟ ΠΕΡΙΕΧΟΜΕΝΟΥ

Βαθμίδα εκπαίδευσης: Δευτεροβάθμια

Μάθημα: Μαθηματικά

Γλώσσα: Καθαρεύουσα

Παρουσίαση περιεχομένου: Μαθητικό βοήθημα Μαθηματικών για τους μαθητές των Γυμνασίων και τους υποψήφιους των Στρατιωτικών σχολών και του Πολυτεχνείου που περιλαμβάνει λύσεις ασκήσεων Άλγεβρας.

TopΠΕΔΙΟ ΠΛΗΡΟΦΟΡΙΩΝ ΕΚΔΟΣΗΣ

Εκδότης: Δημήτριος Δημητράκος

Έτος έκδοσης: 1912

Τόπος έκδοσης: Αθήνα

TopΠΕΔΙΟ ΠΑΡΑΤΗΡΗΣΕΩΝ

Εντοπισμός πρωτοτύπου: Βιβλιοθήκη της Βουλής των Ελλήνων

Κωδικός βιβλιοθήκης: 20638004

TopΕΥΡΕΤΗΡΙΟ ΘΕΜΑΤΙΚΩΝ ΟΡΩΝ

Σχετιζόμενα πρόσωπα:

Σχετιζόμενοι όροι:


118 εγγραφές [1 - 20]
Σελίδα #001
Σελίδα #002
Σελίδα #003
Σελίδα #004
Σελίδα #005
Σελίδα #006
Σελίδα #007
Σελίδα #008
Σελίδα #009
Σελίδα #010
Σελίδα #011
Σελίδα #012
Σελίδα #013
Σελίδα #014
Σελίδα #015
Σελίδα #016
Σελίδα #017
Σελίδα #018
Σελίδα #019
Σελίδα #020
Σελίδα #021
Σελίδα #022
Σελίδα #023
Σελίδα #024
[Μαθητικό Βοήθημα]
Πέτρος Τόγκας
Τάξη:  Γυμνάσιο / Λύκειο
Μάθημα:  Μαθηματικά
Μαθητικό βοήθημα Γεωμετρίας για τα Γυμνάσια και Λύκεια που περιέχει τις εκφωνήσεις και λύσεις των υπ΄ αριθ. 795-991 ασκήσεων Θεωρητικής Γεωμετρίας του Π.Γ. Τόγκα οι οποίες αφορούν τις ιδιότητες του ...
[Μαθητικό Βοήθημα]
Πέτρος Τόγκας
Τάξη:  Γυμνάσιο / Λύκειο
Μάθημα:  Μαθηματικά
Μαθητικό βοήθημα Γεωμετρίας για τα Γυμνάσια και Λύκεια που περιέχει λύσεις σε 375 ασκήσεις και προβλήματα που περιλαμβάνονται στο πρώτο βιβλίο Θεωρητικής Γεωμετρίας του Π.Γ. Τόγκα.
[Μαθητικό Βοήθημα]
Πέτρος Γ. Τόγκας
Μάθημα:  Μαθηματικά
Μαθητικό βοήθημα Τριγωνομετρίας για τους μαθητές των Γυμνασίων, Πρακτικών Λυκείων και των υποψήφιων Ανωτάτων Σχολών που περιλαμβάνει τις βασικές έννοιες και ορισμούς της Τριγωνομετρίας καθώς και σειρά ασκήσεων
[Μαθητικό Βοήθημα]
Νικολ. Δ. Νικολάου
Τάξη:  Γυμνάσιο / Πρακτικό Λύκειο
Μάθημα:  Γεωμετρία
Μαθητικό βοήθημα Γεωμετρίας για τα Γυμνάσια και Πρακτικά Λύκεια που αποτελείται από ασκήσεις και τις λύσεις τους.
[Μαθητικό Βοήθημα]
Πέτρος Γ. Τόγκας
Τάξη:  Γυμνάσιο / Λύκειο
Μάθημα:  Μαθηματικά
Μαθητικό βοήθημα Μαθηματικών για τους μαθητές των Γυμνασίων και Λυκείων που παρουσιάζει τις βασικές έννοιες της Άλγεβρας, εστιάζει τις ιδιότητες των αριθμών και περιέχει ασκήσεις εξισώσεων, λογαρίθμων και ...
[Μαθητικό Βοήθημα]
Χρίστος Α. Μπαρμπαστάθης, Απόστολος Κ. Σταύρακας
Μάθημα:  Μαθηματικά
Μαθητικό βοήθημα Αριθμητικής για τους υποψήφιους των Ανωτέρων και Ανωτάτων Σχολών του κράτους που περιέχει λύσεις ασκήσεων θεωρητικής αριθμητικής.
[Μαθητικό Βοήθημα]
Χρίστος Α. Μπαρμπαστάθης
Τάξη:  Γυμνάσιο / Πρακτικό Λύκειο
Μάθημα:  Μαθηματικά
Μαθητικό βοήθημα Άλγεβρας για τους μαθητές των πρακτικών Λυκείων και τους υποψήφιους σχολών του Κράτους. Το βιβλίο περιέχει τις βασικές αλγεβρικές πράξεις, εξισώσεις πρώτου βαθμού, δεύτερου βαθμού και γραφικές
[Μαθητικό Βοήθημα]
Χ. Ε. Παπαναστασίου
Τάξη:  Πρακτικό Λύκειο
Μάθημα:  Φυσική
Μαθητικό βοήθημα για τους μαθητές των Πρακτικών Λυκείων των υποψηφίων του Πολυτεχνείου και των άλλων Ανωτέρων Σχολών για το μάθημα της Φυσικής. Περιλαμβάνει συλλογή ασκήσεων φυσικής με τις λύσεις τους για την ...
[Μαθητικό Βοήθημα]
Νικόλαος Δ. Νικολάου
Μάθημα:  Μαθηματικά
Μαθητικό βοήθημα Μαθηματικών για τους μαθητές των Πρακτικών Λυκείων και τους υποψηφίους Ανωτάτων Σχολών του κράτους. Το βιβλίο περιέχει βασικές έννοιες και κανόνες της άλγεβρας και την ανάπτυξη αριθμητικών ...
[Μαθητικό Βοήθημα]
Λάζαρος Λάζος, Πέτρος Γ. Τόγκας
Τάξη:  Γυμνάσιο / Λύκειο
Μάθημα:  Μαθηματικά
Μαθητικό βοήθημα Γεωμετρίας για τα Γυμνάσια και Λύκεια που περιέχει τις λύσεις των ασκήσεων που περιλαμβάνονται στο Γ΄ και Δ΄ βιβλίο της Γεωμετρίας του Νείλου Σακελλαρίου του 1931.