QR Code
03-20638067
Αναστάσιος Φιλ. Περιστερόπουλος

Το Πρόβλημα του Απολλωνίου ή των επαφών
[1973]

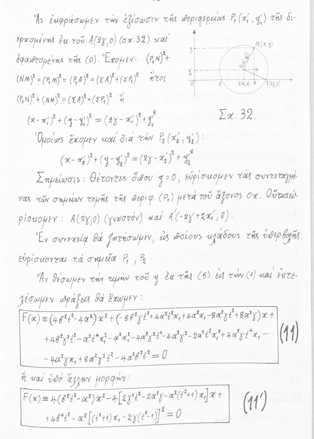
Παιδαγωγικό βοήθημα το οποίο παρουσιάζει το πρόβλημα του Απολλώνιου, τη λύση του οποίου προσεγγίζει μέσω της Θεωρητικής Γεωμετρίας.


TopΠΕΔΙΟ ΑΝΑΓΝΩΡΙΣΗΣ

Κωδικός αναγνώρισης: 03-20638067

Τίτλος: Το Πρόβλημα του Απολλωνίου ή των επαφών

Συγγραφέας: Αναστάσιος Φιλ. Περιστερόπουλος

Μέγεθος και υπόστρωμα: Μαθητικό βοήθημα, σκληρό εξώφυλλο, 204 σελίδες.

TopΠΕΔΙΟ ΠΕΡΙΕΧΟΜΕΝΟΥ

Βαθμίδα εκπαίδευσης: Δευτεροβάθμια

Μάθημα: Μαθηματικά

Γλώσσα: Απλή καθαρεύουσα

Παρουσίαση περιεχομένου: Παιδαγωγικό βοήθημα το οποίο παρουσιάζει το πρόβλημα του Απολλώνιου, τη λύση του οποίου προσεγγίζει μέσω της Θεωρητικής Γεωμετρίας.

TopΠΕΔΙΟ ΠΛΗΡΟΦΟΡΙΩΝ ΕΚΔΟΣΗΣ

Έτος έκδοσης: 1973

Τόπος έκδοσης: Αθήνα

TopΠΕΔΙΟ ΠΑΡΑΤΗΡΗΣΕΩΝ

Εντοπισμός πρωτοτύπου: Βιβλιοθήκη της Βουλής των Ελλήνων

Κωδικός βιβλιοθήκης: 20638067

TopΕΥΡΕΤΗΡΙΟ ΘΕΜΑΤΙΚΩΝ ΟΡΩΝ

Σχετιζόμενα πρόσωπα:

Σχετιζόμενοι όροι:


210 εγγραφές [41 - 60]
Σελίδα #041
Σελίδα #042
Σελίδα #043
Σελίδα #044
Σελίδα #045
Σελίδα #046
Σελίδα #047
Σελίδα #048
Σελίδα #049
Σελίδα #050
Σελίδα #051
Σελίδα #052
Σελίδα #053
Σελίδα #054
Σελίδα #055
Σελίδα #056
Σελίδα #057
Σελίδα #058
Σελίδα #059
Σελίδα #060
Σελίδα #061
Σελίδα #062
Σελίδα #063
Σελίδα #064
[Σχολικό Εγχειρίδιο]
Γεώργιος Αθ. Γεράκης
Μάθημα:  Μαθηματικά
Σχολικό εγχειρίδιο Αριθμητικής που εστιάζει στις αριθμητικές πράξεις και τις εφαρμογές τους. Ο συγγραφέας κρίνει την αναλυτική μέθοδο ως προσφορότερη για την Στοιχειώδη Εκπαίδευση και εκθειάζει τον "από μνήμης
[Μαθητικό Βοήθημα]
Χρίστος Α. Μπαρμπαστάθης
Τάξη:  Γυμνάσιο / Πρακτικό Λύκειο
Μάθημα:  Μαθηματικά
Σχετιζόμενοι όροι:  τόξα, τρίγωνα, ανύσματα
Μαθητικό βοήθημα Τριγωνομετρίας Γυμνασίου και Λυκείου που περιέχει τις λύσεις ασκήσεων.
[Σχολικό Εγχειρίδιο]
Ιωάννης Ν. Χατζιδάκις
Τάξη:  Γυμνάσιο
Μάθημα:  Μαθηματικά
Σχολικό εγχειρίδιο Άλγεβρας Γυμνασίου χωρισμένο σε θεωρία και προβλήματα.
[Σχολικό Εγχειρίδιο]
Νικόλαος Ασπιώτης
Τάξη:  Β' Γυμνασίου
Σχολικό εγχειρίδιο Ανθρωπολογίας και Υγιεινής Β΄ Γυμνασίου που εστιάζει στη λειτουργία του ανθρώπινου οργανισμού και περιέχει πληροφορίες σχετικά με τα νοσήματα, την πρόληψη, τα εμβόλια, τα αντιβιοτικά, τον ...
[Παιδαγωγικό Βοήθημα]
Υπουργείο Εθνικής Παιδείας & Θρησκευμάτων
Έκδοση του ΚΕΜΕ που αποσκοπεί στην "άμβλυνση των προβλημάτων που έχουν προκύψει από τη διδασκαλία των αρχαίων κειμένων από μεταφράσεις και τη διδασκαλία της νεοελληνικής γλώσσας και γραμματείας".
[Σχολικό Εγχειρίδιο]
Ιωάννης Φ. Πανάκης
Τάξη:  Β' Λυκείου
Μάθημα:  Μαθηματικά
Σχολικό εγχειρίδιο Τριγωνομετρίας για την Β΄ Λυκείου χωρισμένο σε προβλήματα, εφαρμογές και ασκήσεις. Το εγχειρίδιο μεταγλωττίστηκε στη δημοτική από τους Βασίλειο Θεοδωρακόπουλο, Απόστολο Ζορμπά και τον ...
[Σχολικό Εγχειρίδιο]
Π. Νικόδημος, Α. Βαρελλά, Ι. Θεοχάρης, Χ. Σακελλαρίου
Τάξη:  ΣΤ' Δημοτικού
Μάθημα:  Νέα Ελληνικά
Αναγνωστικό ΣΤ΄ Δημοτικού που περιέχει πεζά και ποιήματα εμπνευσμένα από την κοινωνική, θρησκευτική και εθνική ζωή, την πολιτιστική κληρονομιά και τα ολυμπιακά ιδεώδη καθώς και από τις ασχολίες των ανθρώπων ...
[Σχολικό Εγχειρίδιο]
Γεώργιος Βάρβογλης
Οργανική Χημεία   [1968, 8η Έκδοση]
Τάξη:  Γυμνάσιο
Μάθημα:  Χημεία
Σχολικό εγχειρίδιο Χημείας που περιγράφει τη σύσταση των οργανικών ενώσεων, τη σύσταση και τις ιδιότητες των οξέων, τις ενώσεις των οξέων με το άζωτο και το υδρογόνο. Στο τέλος του βιβλίου υπάρχει παράρτημα ...
[Σχολικό Εγχειρίδιο]
Α. Σακελλαρίου, Α. Κοντομάρης
Τάξη:  Γ' Δημοτικού
Μάθημα:  Μαθηματικά
Σχετιζόμενοι όροι:  αριθμητικές πράξεις, ασκήσεις
Σχολικό εγχειρίδιο με προβλήματα Αριθμητικής για την Γ΄ Δημοτικού χωρισμένο με βάση τις αριθμητικές πράξεις και τις εκατοντάδες.
[Σχολικό Εγχειρίδιο]
Όμηρος, Ιάκωβος Πολυλάς (μετάφραση)
Ομήρου Ιλιάδα   [1978, 7η Έκδοση]
Σχολικό εγχειρίδιο Αρχαίων Ελληνικών. Το βιβλίο περιλαμβάνει εισαγωγή σχετικά με τις διαφορές Οδύσσειας και Ιλιάδας, το περιεχόμενο της Ιλιάδας, το ομηρικό πρόβλημα και την επίδραση των ομηρικών επών στον ...