QR Code
03-20638085
Θ. Γ Κουγιουμζέλης, Σ. Γ Περιστεράκης

Στοιχεία Φυσικής τομ ΙΙΙ Ηλεκτρισμός.
[1964, 5η Έκδοση]

Μαθητικό βοήθημα για τους μαθητές και τους υποψήφιους φοιτητές για την επιστήμη της Φυσικής. Αναφέρεται στο φαινόμενο του ηλεκτρισμού, μαγνητισμού και στην ατομική και πυρηνική φυσική.


TopΠΕΔΙΟ ΑΝΑΓΝΩΡΙΣΗΣ

Κωδικός αναγνώρισης: 03-20638085

Τίτλος: Στοιχεία Φυσικής τομ ΙΙΙ Ηλεκτρισμός.

Συγγραφέας: Θ. Γ Κουγιουμζέλης, Σ. Γ Περιστεράκης

Μέγεθος και υπόστρωμα: Μαθητικό βοήθημα, σκληρό εξώφυλλο, 584 σελίδες. Σκίτσα, εικόνες (ασπρόμαυρα).

TopΠΕΔΙΟ ΠΕΡΙΕΧΟΜΕΝΟΥ

Βαθμίδα εκπαίδευσης: Δευτεροβάθμια

Τάξη: Λύκειο

Μάθημα: Φυσική

Γλώσσα: Απλή καθαρεύουσα

Παρουσίαση περιεχομένου: Μαθητικό βοήθημα για τους μαθητές και τους υποψήφιους φοιτητές για την επιστήμη της Φυσικής. Αναφέρεται στο φαινόμενο του ηλεκτρισμού, μαγνητισμού και στην ατομική και πυρηνική φυσική.

TopΠΕΔΙΟ ΠΛΗΡΟΦΟΡΙΩΝ ΕΚΔΟΣΗΣ

Εκδότης: Παπαδημητρόπουλος

Έτος έκδοσης: 1964

Τόπος έκδοσης: Αθήνα

Έκδοση:

TopΠΕΔΙΟ ΠΑΡΑΤΗΡΗΣΕΩΝ

Εντοπισμός πρωτοτύπου: Βιβλιοθήκη της Βουλής των Ελλήνων

Κωδικός βιβλιοθήκης: 20638085

TopΕΥΡΕΤΗΡΙΟ ΘΕΜΑΤΙΚΩΝ ΟΡΩΝ

Σχετιζόμενα πρόσωπα:

Σχετιζόμενοι όροι:


588 εγγραφές [581 - 588]
Σελίδα #576
Σελίδα #577
Σελίδα #578
Εξώφυλλο
Εξώφυλλο
Εξώφυλλο
Εξώφυλλο
Εξώφυλλο
    
[Σχολικό Εγχειρίδιο]
Ζαχαρίας Νικολάου
Τάξη:  ΣΤ' Δημοτικού
Μάθημα:  Φυσική
Σχολικό εγχειρίδιο Φυσικής Πειραματικής και Χημείας ΣΤ΄ Δημοτικού που εστιάζει στα φυσικά φαινόμενα της ακουστικής, οπτικής, του ηλεκτρισμού και της ατομικής φυσικής. Περιέχει και στοιχεία χημείας. ...
[Μαθητικό Βοήθημα]
Αλέξανδρος Σπυράκης
Τάξη:  Α' Εμπορικών Σχολών
Μαθητικό βοήθημα της Α΄ Τάξης των Εξαταξίων Εμπορικών Σχολών. Περιέχει πληροφορίες για το μάθημα της φυσικής, ζωολογίας και ορυκτολογίας. Έχει ασκήσεις εμπέδωσης.
[Σχολικό Εγχειρίδιο]
Διον. Π. Λεονταρίτης
Τάξη:  ΣΤ' Γυμνασίου
Μάθημα:  Φυσική
Σχολικό εγχειρίδιο της ΣΤ΄ Γυμνασίου για το μάθημα της Φυσικής. Αναλύει τις ιδιότητες του φωτός, φωτομετρία, διάθλαση φωτός και τον ηλεκτρισμό.
[Σχολικό Εγχειρίδιο]
Ανάργυρος Ζενάκος
Τάξη:  ΣΤ' Δημοτικού
Μάθημα:  Φυσική, Χημεία
Σχολικό εγχειρίδιο Φυσικής Πειραματικής και Χημείας ΣΤ΄ Δημοτικού που εστιάζει στα φυσικά φαινόμενα της ακουστικής, οπτικής, του ηλεκτρισμού, της ατομικής φυσικής. Περιέχει και στοιχεία χημείας. Φέρει το ...
[Σχολικό Εγχειρίδιο]
Βασ. Αιγινήτης
Τάξη:  Δ' Γυμνασίου
Μάθημα:  Φυσική
Σχολικό εγχειρίδιο της Δ΄ Γυμνασίου για το μάθημα της Φυσικής. Παρέχει βασικές γνώσεις της φυσικής επιστήμης και της χημείας. Αναλύει τις ιδιότητες των σωμάτων, καθώς και της θερμότητας, του ηλεκτρισμού και ...
[Μαθητικό Βοήθημα]
Δημήτριος Η. Κυριακόπουλος
Μάθημα:  Γεωγραφία
Μαθητικό βοήθημα Γεωγραφίας που περιέχει στοιχεία φυσικής και μαθηματικής γεωγραφίας, γεωγραφίας της Ευρώπης, της Ελλάδας και της Αμερικής σε περίληψη.
[Μαθητικό Βοήθημα]
Ηλίας Ι. Μποτόπουλος
Τάξη:  Η' Γυμνασίου
Μάθημα:  Φυσική
Μαθητικό βοήθημα για την Η' Γυμνασίου για το μάθημα της Φυσικής. Το σύγγραμμα ήταν πόνημα του συγγραφέα, το οποίο θα μπορούσε να χρησιμοποιηθεί από τους μαθητές του Γυμνασίου για το μάθημα της Φυσικής. ...
[Μαθητικό Βοήθημα]
Θ. Γ. Κουγιουζέλης, Σ. Γ. Περιστεράκης
Τάξη:  Γυμνάσιο / Τεχνικές Σχολές
Μάθημα:  Φυσική
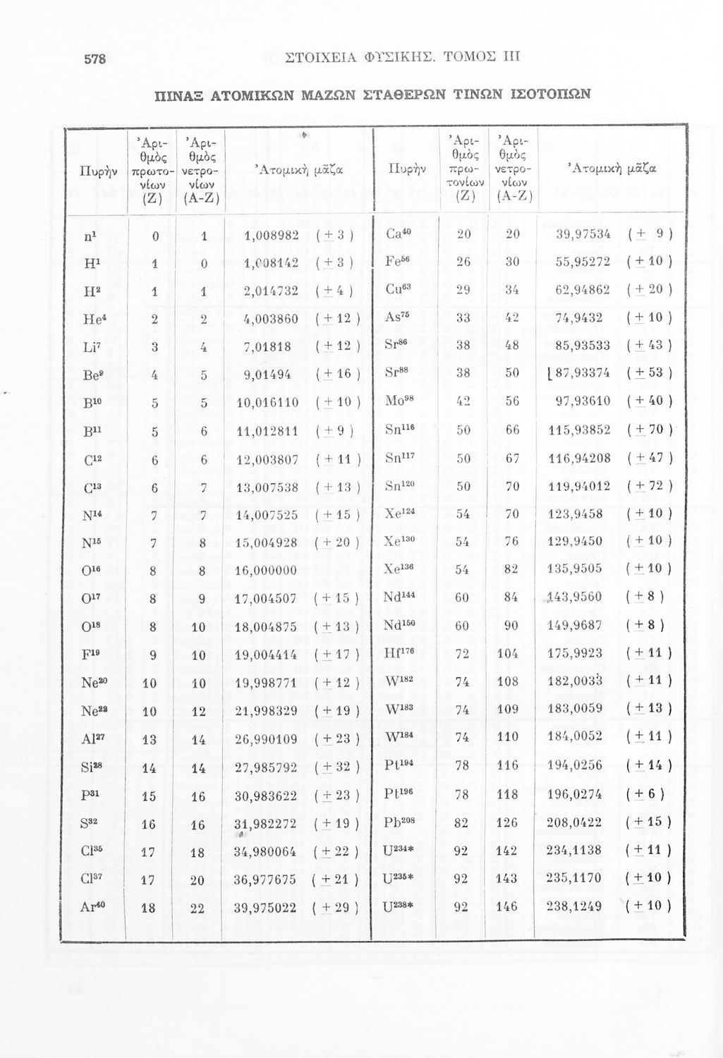
Μαθητικό βοήθημα Φυσικής. Το βιβλίο αναφέρεται στο μάθημα της Πυρηνικής Φυσικής. Διευκρινίζονται βασικές έννοιες αυτού του κλάδου της επιστήμης (σύσταση της ύλης, θεμελιώδης μηχανική του Νεύτωνα, Κβαντική ...
[Σχολικό Εγχειρίδιο]
Νίκος Αντωνίου, Παναγιώτης Ασημακόπουλος, Χριστίνα Ζιούρδου, Δημήτριος Κατάκης, Γιάννης Καφούσης, Θανάσης Κωστίκας, Παντελής Μπουκάλας, Ανδρέας Ρεμπούλης, Αθηνά Ρικάκη, Ντίνα Χατζούδη-Γκέγκιου
Τάξη:  ΣΤ' Δημοτικού
Μάθημα:  Φυσική, Χημεία
Σχολικό εγχειρίδιο Φυσικής και Χημείας ΣΤ΄ Δημοτικού που εστιάζει στα φυσικά φαινόμενα της ακουστικής, οπτικής, του ηλεκτρισμού και της ατομικής φυσικής. Περιέχει και στοιχεία χημείας.
[Σχολικό Εγχειρίδιο]
Νίκος Αντωνίου, Παναγιώτης Ασημακόπουλος, Χριστίνα Ζιούρδου, Δημήτριος Κατάκης, Γιάννης Καφούσης, Θανάσης Κωστίκας, Παντελής Μπουκάλας, Ανδρέας Ρεμπούλης, Αθηνά Ρικάκη, Ντίνα Χατζούδη-Γκέγκιου
Τάξη:  Ε' Δημοτικού
Μάθημα:  Φυσική, Χημεία
Σχολικό εγχειρίδιο Φυσικής και Χημείας Ε΄ Δημοτικού που αποτελεί μια εισαγωγή στις έννοιες της ύλης, της ενέργειας, της θερμότητας, της μηχανικής και της υδροστατικής. Περιέχει και στοιχεία χημείας.