QR Code
03-20638128
Burns, Verwiebe, Hazel, Van Hooft, Γεώργιος Εμπέογλου (μετάφραση)

Φυσική μια βασική επιστήμη

Παιδαγωγικό βοήθημα για την δευτεροβάθμια εκπαίδευση για το μάθημα της Φυσικής. Το εγχειρίδιο αποτελείται από 27 κεφάλαια, όπου αναπτύσσονται εκτενώς τα βασικότερα θέματα της επιστήμης της φυσικής. Ενδεικτικά αναφέρονται η μοριακή φυσική, τα ρευστά, η βαρύτητα, η θερμότητα, η μηχανική, η ακουστική, η οπτική, ο μαγνητισμός και ηλεκτρισμός, τα εναλλασσόμενα ρεύματα, η πυρηνική φυσική και άλλα.


TopΠΕΔΙΟ ΑΝΑΓΝΩΡΙΣΗΣ

Κωδικός αναγνώρισης: 03-20638128

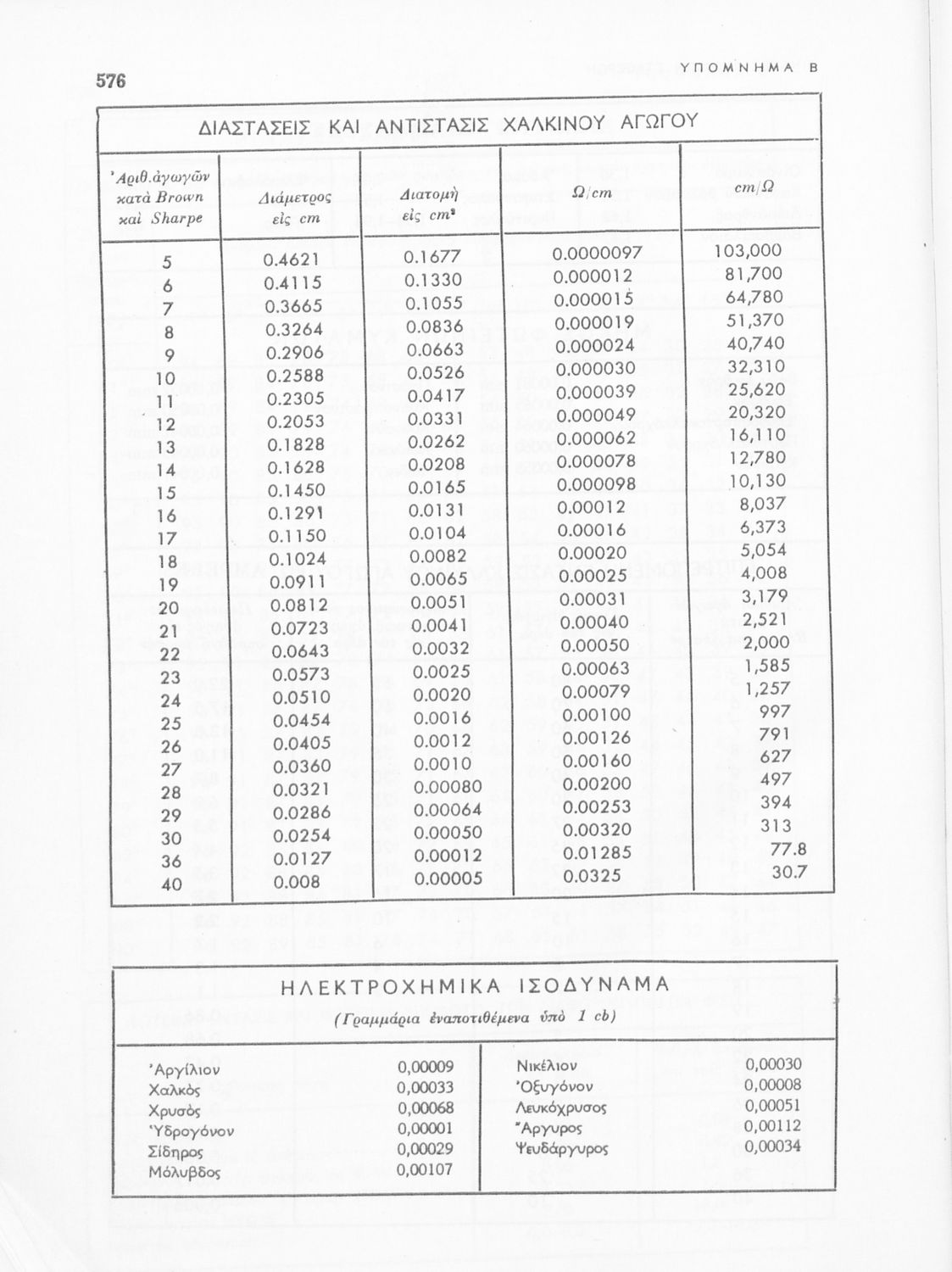
Τίτλος: Φυσική μια βασική επιστήμη

Συγγραφέας: Burns, Verwiebe, Hazel, Van Hooft, Γεώργιος Εμπέογλου (μετάφραση)

Μέγεθος και υπόστρωμα: Παιδαγωγικό βοήθημα, σκληρό εξώφυλλο, 596 σελίδες. Εξώφυλλο (έγχρωμο), σκίτσα (ασπρόμαυρα).

TopΠΕΔΙΟ ΠΕΡΙΕΧΟΜΕΝΟΥ

Βαθμίδα εκπαίδευσης: Δευτεροβάθμια

Μάθημα: Φυσική

Γλώσσα: Καθαρεύουσα

Παρουσίαση περιεχομένου: Παιδαγωγικό βοήθημα για την δευτεροβάθμια εκπαίδευση για το μάθημα της Φυσικής. Το εγχειρίδιο αποτελείται από 27 κεφάλαια, όπου αναπτύσσονται εκτενώς τα βασικότερα θέματα της επιστήμης της φυσικής. Ενδεικτικά αναφέρονται η μοριακή φυσική, τα ρευστά, η βαρύτητα, η θερμότητα, η μηχανική, η ακουστική, η οπτική, ο μαγνητισμός και ηλεκτρισμός, τα εναλλασσόμενα ρεύματα, η πυρηνική φυσική και άλλα.

TopΠΕΔΙΟ ΠΛΗΡΟΦΟΡΙΩΝ ΕΚΔΟΣΗΣ

Εκδότης: Μ. Πεχλιβανίδης & ΣΙΑ

Τόπος έκδοσης: Αθήνα

TopΠΕΔΙΟ ΠΑΡΑΤΗΡΗΣΕΩΝ

Εντοπισμός πρωτοτύπου: Βιβλιοθήκη της Βουλής των Ελλήνων

Κωδικός βιβλιοθήκης: 20638128

TopΕΥΡΕΤΗΡΙΟ ΘΕΜΑΤΙΚΩΝ ΟΡΩΝ

Σχετιζόμενα πρόσωπα:

Σχετιζόμενοι όροι:


604 εγγραφές [561 - 580]
Σελίδα #557
Σελίδα #558
Σελίδα #559
Σελίδα #560
Σελίδα #561
Σελίδα #562
Σελίδα #563
Σελίδα #564
Σελίδα #565
Σελίδα #566
Σελίδα #567
Σελίδα #568
Σελίδα #569
Σελίδα #570
Σελίδα #571
Σελίδα #572
Σελίδα #573
Σελίδα #574
Σελίδα #575
Σελίδα #576
Σελίδα #577
Σελίδα #578
Σελίδα #579
Σελίδα #580
[Παιδαγωγικό Βοήθημα]
Ανδρέας Σπαθάρης
Μάθημα:  Φυσική
Παιδαγωγικό βοήθημα, το οποίο απευθυνόταν κυρίως στους εκπαιδευτικούς για τη μελέτη της Φυσικής επιστήμης και τη διευκόλυνση της διδακτικής πρακτικής. Περιέχει πληροφορίες σχετικές με τις ιδιότητες των ...
[Σχολικό Εγχειρίδιο]
Διον. Π. Λεονταρίτης
Τάξη:  Ε' Γυμνασίου
Μάθημα:  Φυσική
Σχολικό εγχειρίδιο της Ε΄ Τάξης των Γυμνασίων Παλαιού Τύπου για το μάθημα της Φυσικής. Παρέχει βασικές γνώσεις της Φυσικής επιστήμης. Αναλύει τα φαινόμενα της μηχανικής, της βαρύτητας, της υδροστατικής της ...
[Σχολικό Εγχειρίδιο]
Χαρ. Ι. Σημηριώτης, Νικ. Γ. Δρακόπουλος
Τάξη:  Α' Αστικού Σχολείου
Μάθημα:  Φυσική
Σχολικό εγχειρίδιο της Α΄ Τάξης των Αστικών Σχολείων για το μάθημα της Φυσικής. Παρέχει βασικές γνώσεις της Φυσικής επιστήμης και της Χημείας. Αναλύει τις ιδιότητες των σωμάτων, καθώς και της θερμότητας, του ...
[Σχολικό Εγχειρίδιο]
Λεων. Λιώκης, Κλ.Δ. Κάρναβος
Τάξη:  Ε' Δημοτικού / ΣΤ' Δημοτικού
Μάθημα:  Φυσική
Σχολικό εγχειρίδιο της ΣΤ΄ και Ε΄ Δημοτικού για το μάθημα της Φυσικής στο Δημοτικό. Παρέχει βασικές γνώσεις της φυσικής επιστήμης και της χημείας. Αναλύει τις ιδιότητες των σωμάτων, καθώς και της θερμότητας, ...
[Σχολικό Εγχειρίδιο]
Διον. Π. Λεονταρίτης
Τάξη:  Ε' Γυμνασίου
Μάθημα:  Φυσική
Σχολικό εγχειρίδιο της Ε΄ Γυμνασίου για το μάθημα της Φυσικής στο Γυμνάσιο . Παρέχει βασικές γνώσεις της φυσικής επιστήμης. Αναλύει τις κινήσεις, τη μηχανική, τη βαρύτητα, την υδροστατική πίεση, την ...
[Σχολικό Εγχειρίδιο]
Διον. Π. Λεονταρίτης
Τάξη:  Α' Γυμνασίου
Μάθημα:  Φυσική
Μαθητικό βοήθημα της Ε΄ και ΣΤ΄ Δημοτικού για το μάθημα της Φυσικής στο Δημοτικό . Παρέχει βασικές γνώσεις της Φυσικής επιστήμης και της Χημείας. Αναλύει τις ιδιότητες των σωμάτων, καθώς και της θερμότητας, ...
[Σχολικό Εγχειρίδιο]
Νικόλαος Χ. Αποστολίδης
Τάξη:  Γυμνάσιο / Διδασκαλείο
Μάθημα:  Ζωολογία
Σχετιζόμενοι όροι:  σπονδυλωτά, θηλαστικά, ψάρια, πτηνά
Σχολικό εγχειρίδιο Ζωολογίας για τα Γυμνάσια και τα Διδασκαλεία χωρισμένο σε δυο ενότητες: την ανατομία και φυσιολογία του ανθρώπου και την ιστορία των ζώων. Ο συγγραφέας ήταν καθηγητής ζωολογίας στο Εθνικό ...
[Σχολικό Εγχειρίδιο]
Ακριβή Μαλλιαρή-Πατέρα
Τάξη:  Ε' Γυμνασίου
Μάθημα:  Φυσική
Σχολικό εγχειρίδιο της Ε΄ Γυμνασίου για το μάθημα της Φυσικής στο Γυμνάσιο . Παρέχει βασικές γνώσεις της φυσικής επιστήμης. Αναλύει τα φαινόμενα της μηχανικής, της κινητικής, της βαρύτητας, της υδροστατικής ...
[Σχολικό Εγχειρίδιο]
Νικ. Κονιδάς, Νικ. Διαμαντόπουλος
Τάξη:  ΣΤ' Δημοτικού
Μάθημα:  Φυσική
Σχολικό εγχειρίδιο της ΣΤ΄ Δημοτικού για το μάθημα της Φυσικής. Παρέχει βασικές γνώσεις της φυσικής επιστήμης και της χημείας. Αναλύει τις ιδιότητες των σωμάτων, καθώς και της θερμότητας, του ηλεκτρισμού και ...
[Σχολικό Εγχειρίδιο]
Διον. Π. Λεονταρίτης
Μάθημα:  Φυσική
Σχολικό εγχειρίδιο για το μάθημα της Φυσικής στο Γυμνάσιο. Παρέχει βασικές γνώσεις της φυσικής επιστήμης. Αναλύει τα φαινόμενα της αδράνειας, της βαρύτητας, της υδροστατικής πίεσης κ.α. Όσον αφορά τη χημεία ...