QR Code
03-20638132
Αλκίνοος Ε. Μάζης

Φυσική δια τα πρακτικά τμήματα των Γυμνασίων δια τους υποψηφίους σπουδαστάς των ανωτάτων σχολών
[1963, 4η Έκδοση]

Μαθητικό βοήθημα Φυσικής για τα πρακτικά τμήματα των Γυμνασίων και δια τους υποψηφίους σπουδαστές των Ανωτάτων Σχολών. Το βιβλίο εστιάζει στις θεματικές της θερμότητας και της οπτικής και στις αλλαγές που επιφέρουν στις δομή και τα χαρακτηριστικά της ύλης.


TopΠΕΔΙΟ ΑΝΑΓΝΩΡΙΣΗΣ

Κωδικός αναγνώρισης: 03-20638132

Τίτλος: Φυσική δια τα πρακτικά τμήματα των Γυμνασίων δια τους υποψηφίους σπουδαστάς των ανωτάτων σχολών

Συγγραφέας: Αλκίνοος Ε. Μάζης

Μέγεθος και υπόστρωμα: Μαθητικό βοήθημα, σκληρό εξώφυλλο, 320 σελίδες.

TopΠΕΔΙΟ ΠΕΡΙΕΧΟΜΕΝΟΥ

Βαθμίδα εκπαίδευσης: Δευτεροβάθμια

Τάξη: Γυμνάσιο

Μάθημα: Φυσική

Γλώσσα: Καθαρεύουσα

Παρουσίαση περιεχομένου: Μαθητικό βοήθημα Φυσικής για τα πρακτικά τμήματα των Γυμνασίων και δια τους υποψηφίους σπουδαστές των Ανωτάτων Σχολών. Το βιβλίο εστιάζει στις θεματικές της θερμότητας και της οπτικής και στις αλλαγές που επιφέρουν στις δομή και τα χαρακτηριστικά της ύλης.

TopΠΕΔΙΟ ΠΛΗΡΟΦΟΡΙΩΝ ΕΚΔΟΣΗΣ

Εκδότης: Βιβλιοπωλείο της "Εστίας"

Έτος έκδοσης: 1963

Τόπος έκδοσης: Αθήνα

Έκδοση:

TopΠΕΔΙΟ ΠΑΡΑΤΗΡΗΣΕΩΝ

Εντοπισμός πρωτοτύπου: Βιβλιοθήκη της Βουλής των Ελλήνων

Κωδικός βιβλιοθήκης: 20638132

TopΕΥΡΕΤΗΡΙΟ ΘΕΜΑΤΙΚΩΝ ΟΡΩΝ

Σχετιζόμενα πρόσωπα:

Σχετιζόμενοι όροι:


336 εγγραφές [21 - 40]
Σελίδα #007
Σελίδα #008
Σελίδα #009
Σελίδα #010
Σελίδα #011
Σελίδα #012
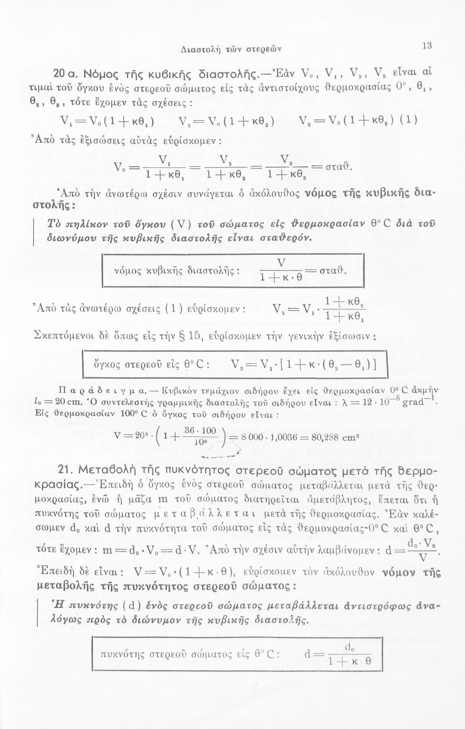
Σελίδα #013
Σελίδα #014
Σελίδα #015
Σελίδα #016
Σελίδα #017
Σελίδα #018
Σελίδα #019
Σελίδα #020
Σελίδα #021
Σελίδα #022
Σελίδα #023
Σελίδα #024
Σελίδα #025
Σελίδα #026
Σελίδα #027
Σελίδα #028
Σελίδα #029
Σελίδα #030
[Μαθητικό Βοήθημα]
Αλκίνοος Ε. Μάζης
Τάξη:  Γυμνάσιο
Μάθημα:  Φυσική
Μαθητικό βοήθημα Φυσικής για τους μαθητές των πρακτικών τμημάτων των Γυμνασίων και δια τους υποψηφίους σπουδαστές των Ανωτάτων Σχολών. Το βιβλίο καλύπτει τις θεματικές του ηλεκτρισμού, του μαγνητισμού και της ...
[Μαθητικό Βοήθημα]
Αλκ. Ε. Μάζης
Τάξη:  Γυμνάσιο
Μάθημα:  Φυσική
Μαθητικό βοήθημα της Φυσικής για τους μαθητές των Πρακτικών Γυμνασίων και τους υποψήφιους των Ανωτέρων Σχολών. Περιγράφονται τα φαινόμενα του μαγνητισμού, του ηλεκτρισμού, της αγωγιμότητας των στερεών σωμάτων,
[Μαθητικό Βοήθημα]
Αλκίνοος Ε. Μάζης
Τάξη:  Γυμνάσιο
Μάθημα:  Φυσική
Μαθητικό βοήθημα για τα πρακτικά τμήματα των Γυμνασίων και για τους υποψήφιους σπουδαστές των ανωτάτων σχολών. Το βιβλίο περιέχει προβλήματα Φυσικής στους τομείς της Μηχανικής και της Ακουστικής εξετάζοντας ...
[Μαθητικό Βοήθημα]
Αλκίνοος Ε. Μάζης
Τάξη:  Γυμνάσιο
Μάθημα:  Φυσική
Σχετιζόμενοι όροι:  δες τα παραπάνω
Δες το παραπάνω. Αναλυτική παρουσίαση μηχανικής και ακουστικής (κυμάνσεις, μοριακά φαινόμενα, ταλαντώσεις, κινήσεις ρευστών κτλ
[Μαθητικό Βοήθημα]
Κ. Δ. Αλεξόπουλος, Γ. Δ. Μπίλλης, Δ. Θ. Τσακαρισιάνος
Μάθημα:  Φυσική
Μαθητικό βοήθημα Φυσικής για τα Γυμνάσια και για τους υποψηφίους των Ανωτάτων Σχολών που περιλαμβάνει ασκήσεις φυσικής στους τομείς της οπτικής, του μαγνητισμού, ηλεκτρισμού αλλά και της ατομικής και πυρηνικής
[Μαθητικό Βοήθημα]
Κ. Δ. Αλεξόπουλος, Γ. Δ. Μπίλλης
Στοιχεία Φυσικής   [1960, 2η Έκδοση]
Τάξη:  Γυμνάσιο
Μάθημα:  Φυσική
Μαθητικό βοήθημα Φυσικής για τους μαθητές των Γυμνασίων και τους υποψήφιους Ανωτάτων Σχολών. Το βιβλίο εισάγει τους μαθητές στις έννοιες της οπτικής και των ιδιοτήτων του φωτός, του μαγνητισμού, του ...
[Μαθητικό Βοήθημα]
Αλκίνοος Ε. Μάζης
Τάξη:  Γυμνάσιο
Μάθημα:  Φυσική
Μαθητικό βοήθημα Φυσικής για τους μαθητές των Σχολείων Μέσης Εκπαίδευσης και τους υποψήφιους σπουδαστές των Ανωτάτων Σχολών. Το βιβλίο περιλαμβάνει ασκήσεις Φυσικής στις θεματικές της οπτικής, του μαγνητισμού ...
[Μαθητικό Βοήθημα]
Αθ. Φ. Παπαγεωργίου, Στρ. Π. Παπαδόπουλος
Μάθημα:  Φυσική
Μαθητικό βοήθημα Φυσικής για τους υποψήφιους Ανωτάτων Σχολών, τους μαθητές Γυμνασίων (κυρίως πρακτικής κατευθύνσεως) και δια τους μαθητάς μηχανοτεχνικών σχολών (εργοδηγούς και ραδιοτεχνίτες). Το βιβλίο ...
[Μαθητικό Βοήθημα]
Σαλτερής Γ. Περιστεράκης
Μάθημα:  Φυσική
Σχετιζόμενοι όροι:  ενέργεια, εντροπία, ταλαντώσεις, ορμή
Μαθητικό βοήθημα Φυσικής για τους υποψηφίους των Ανωτάτων Σχολών και τους μαθητές των ανωτέρων τάξεων των Σχολείων Μέσης Εκπαιδεύσεως που εξετάζει ζητήματα μηχανικής, ηλεκτρισμού και ηλεκτρομαγνητισμού, και ...