QR Code
03-20638152
Σαλτερής Γ. Περιστεράκης

Ασκήσεις φυσικής τόμος πρώτος, μηχανική, θερμότητα, ακουστική, ταλαντώσεις και κύματα προς χρήσιν των μαθητών των Γυμνασίων, των τεχνικών σχολών και των υποψηφίων δια τας εισαγωγικάς εξετάσεις των ανωτάτων εκπαιδευτικών ιδρυμάτων
[1963, 4η Έκδοση]

Μαθητικό βοήθημα Φυσικής για τους υποψηφίους των Ανωτάτων Σχολών και τους μαθητές των ανωτέρων τάξεων των Σχολείων Μέσης Εκπαιδεύσεως που εξετάζει ζητήματα μηχανικής, ηλεκτρισμού και ηλεκτρομαγνητισμού, και θερμότητας και τις μεταβολές που επιφέρει στις ιδιότητες των αερίων.


TopΠΕΔΙΟ ΑΝΑΓΝΩΡΙΣΗΣ

Κωδικός αναγνώρισης: 03-20638152

Τίτλος: Ασκήσεις φυσικής τόμος πρώτος, μηχανική, θερμότητα, ακουστική, ταλαντώσεις και κύματα προς χρήσιν των μαθητών των Γυμνασίων, των τεχνικών σχολών και των υποψηφίων δια τας εισαγωγικάς εξετάσεις των ανωτάτων εκπαιδευτικών ιδρυμάτων

Συγγραφέας: Σαλτερής Γ. Περιστεράκης

Μέγεθος και υπόστρωμα: Μαθητικό βοήθημα, σκληρό εξώφυλλο, 494 σελίδες. Εξώφυλλο (ασπρόμαυρο), σκίτσα (ασπρόμαυρα).

TopΠΕΔΙΟ ΠΕΡΙΕΧΟΜΕΝΟΥ

Βαθμίδα εκπαίδευσης: Δευτεροβάθμια

Μάθημα: Φυσική

Γλώσσα: Καθαρεύουσα

Παρουσίαση περιεχομένου: Μαθητικό βοήθημα Φυσικής για τους υποψηφίους των Ανωτάτων Σχολών και τους μαθητές των ανωτέρων τάξεων των Σχολείων Μέσης Εκπαιδεύσεως που εξετάζει ζητήματα μηχανικής, ηλεκτρισμού και ηλεκτρομαγνητισμού, και θερμότητας και τις μεταβολές που επιφέρει στις ιδιότητες των αερίων.

TopΠΕΔΙΟ ΠΛΗΡΟΦΟΡΙΩΝ ΕΚΔΟΣΗΣ

Εκδότης: Α. Καραβίας

Έτος έκδοσης: 1963

Τόπος έκδοσης: Αθήνα

Έκδοση:

TopΠΕΔΙΟ ΠΑΡΑΤΗΡΗΣΕΩΝ

Εντοπισμός πρωτοτύπου: Βιβλιοθήκη της Βουλής των Ελλήνων

Κωδικός βιβλιοθήκης: 20638152

TopΕΥΡΕΤΗΡΙΟ ΘΕΜΑΤΙΚΩΝ ΟΡΩΝ

Σχετιζόμενα πρόσωπα:

Σχετιζόμενοι όροι:


495 εγγραφές [341 - 360]
Σελίδα #337
Σελίδα #338
Σελίδα #339
Σελίδα #340
Σελίδα #341
Σελίδα #342
Σελίδα #343
Σελίδα #344
Σελίδα #345
Σελίδα #346
Σελίδα #347
Σελίδα #348
Σελίδα #349
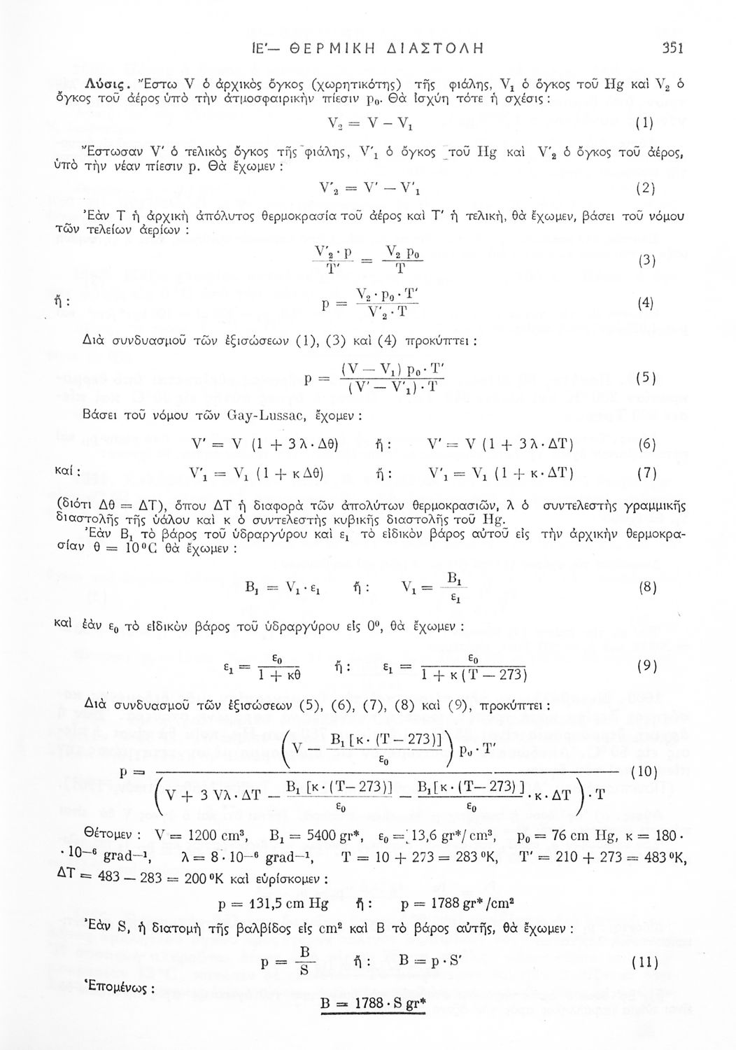
Σελίδα #350
Σελίδα #351
Σελίδα #352
Σελίδα #353
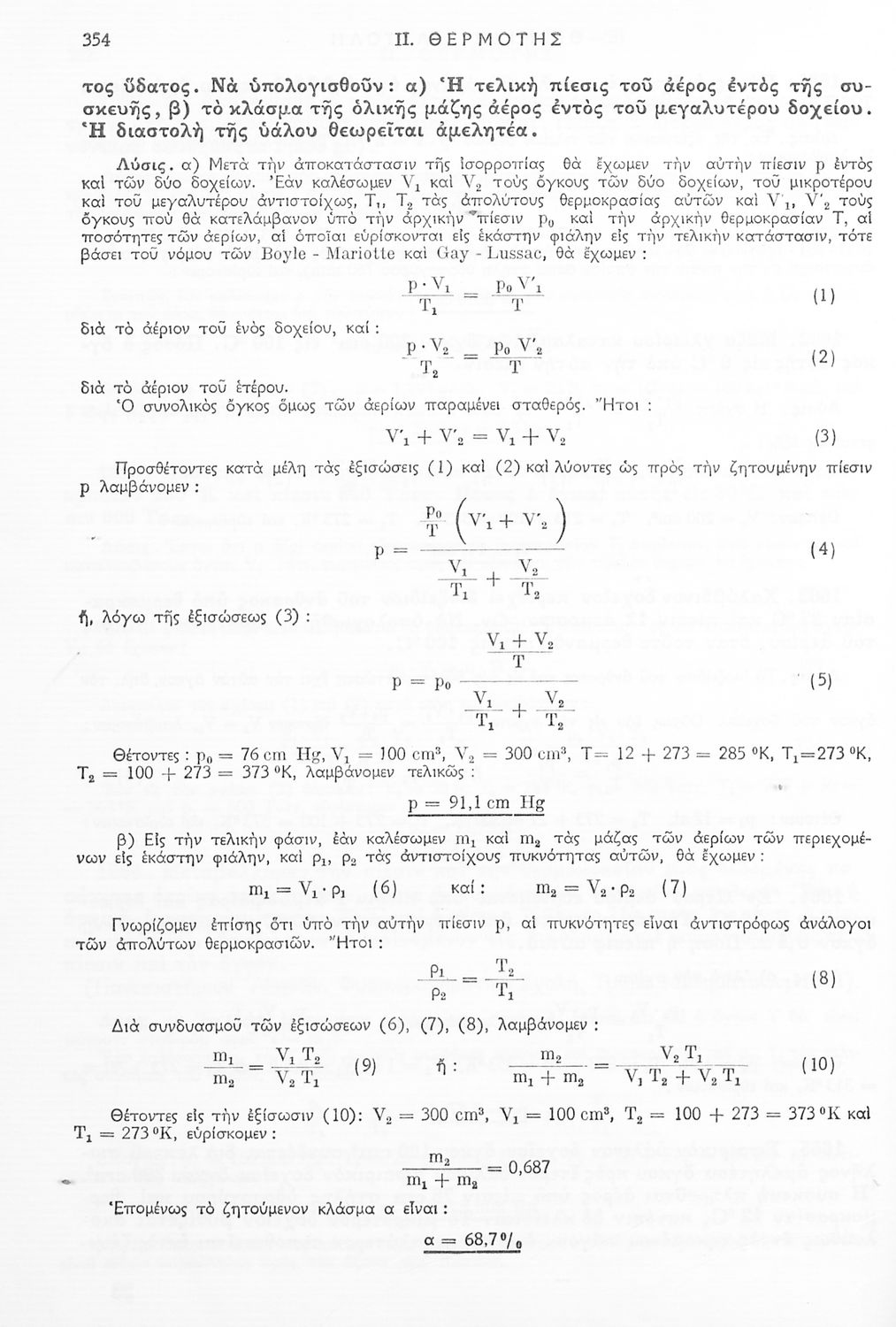
Σελίδα #354
Σελίδα #355
Σελίδα #356
Σελίδα #357
Σελίδα #358
Σελίδα #359
Σελίδα #360
[Σχολικό Εγχειρίδιο]
Θ. Γ. Κουγιουζέλης, Σ. Γ. Περιστεράκης
Τάξη:  Γυμνάσιο
Μάθημα:  Φυσική
Σχολικό εγχειρίδιο Φυσικής που περιλαμβάνει βασικές έννοιες και νόμους που διέπουν τις φυσικές επιστήμες. Καταγράφονται αναλυτικά η μηχανική και η ισορροπία στερεών, υγρών και αέριων σωμάτων. Ερμηνεύεται η ...
[Μαθητικό Βοήθημα]
Θ. Γ. Κουγιουζέλης, Σ. Γ. Περιστεράκης
Τάξη:  Γυμνάσιο / Τεχνικές Σχολές
Μάθημα:  Φυσική
Μαθητικό βοήθημα Φυσικής. Το βιβλίο αναφέρεται στο μάθημα της Πυρηνικής Φυσικής. Διευκρινίζονται βασικές έννοιες αυτού του κλάδου της επιστήμης (σύσταση της ύλης, θεμελιώδης μηχανική του Νεύτωνα, Κβαντική ...
[Μαθητικό Βοήθημα]
Κ. Δ. Παλαιολόγος, Σ. Γ. Περιστεράκης
Τάξη:  Γυμνάσιο
Μάθημα:  Φυσική
Μαθητικό βοήθημα Φυσικής για τους υποψήφιους των Ανωτάτων Σχολών και των μαθητών των ανωτέρων τάξεων των Σχολείων Μέσης Εκπαιδεύσεως. Το βιβλίο χωρίζεται σε τρία μέρη και περιλαμβάνει ασκήσεις σχετικά με την ...
[Μαθητικό Βοήθημα]
Κ. Δ. Παλαιολόγος, Σ. Γ. Περιστεράκης
Τάξη:  Γυμνάσιο
Μάθημα:  Φυσική
Μαθητικό βοήθημα Φυσικής για τους μαθητές των ανωτέρων τάξεων των Πρακτικών τμημάτων των Γυμνασίων και τους υποψηφίων των εισαγωγικών εξετάσεων των Ανωτάτων Σχολών. Το βιβλίο χωρίζεται σε τρία μέρη και ...
[Μαθητικό Βοήθημα]
Κ.Δ. Παλαιολόγος, Σ.Γ. Περιστεράκης
Μάθημα:  Φυσική
Μαθητικό βοήθημα Φυσικής Γυμνασίου που εστιάζει στα φαινόμενα της μηχανικής, της ακουστικής και της θερμότητας και στην πρακτική εφαρμογή της φυσικής στην καθημερινή ζωή. Περιέχει λυμένες υποδειγματικές ...
[Μαθητικό Βοήθημα]
Στυλ. Κατάκης, Στυλ. Αμπατζόγλου
Τάξη:  Γυμνάσιο
Μάθημα:  Χημεία
Μαθητικό βοήθημα Χημείας που περιλαμβάνει τους νόμους των αερίων και τις ιδιότητες τους, τις χημικές ενώσεις και τους νόμους δράσης της μάζας και της χημικής ισορροπίας. Περιέχει και ασκήσεις Ανόργανης και ...
[Μαθητικό Βοήθημα]
Κ. Δ. Αλεξόπουλος, Γ. Δ. Μπίλλης, Δ. Θ. Τσακαρισιάνος
Μάθημα:  Φυσική
Μαθητικό βοήθημα Φυσικής για τα Γυμνάσια και για τους υποψηφίους των Ανωτάτων Σχολών που περιλαμβάνει ασκήσεις φυσικής στους τομείς της οπτικής, του μαγνητισμού, ηλεκτρισμού αλλά και της ατομικής και πυρηνικής
[Μαθητικό Βοήθημα]
Κ. Δ. Παλαιολόγος, Σ. Γ. Περιστεράκης
Μάθημα:  Φυσική
Μαθητικό βοήθημα Φυσικής για τους υποψηφίους των Ανωτάτων Σχολών και των μαθητών των ανωτέρων τάξεων των σχολείων Μέσης Εκπαίδευσης. Το βιβλίο παρουσιάζει τις θεματικές της μηχανικής, της ακουστικής και της ...
[Μαθητικό Βοήθημα]
Κ. Δ. Παλαιολόγος, Σ. Γ. Περιστεράκης
Τάξη:  Γυμνάσιο
Μάθημα:  Φυσική
Μαθητικό βοήθημα Φυσικής για τους υποψηφίους των εισαγωγικών εξετάσεων των Ανωτάτων Σχολών και των μαθητών των ανωτέρων τάξεων των Σχολείων Μέσης Εκπαιδεύσεως. Το βιβλίο αναλύει ζητήματα μηχανικής, ακουστικής ...
[Μαθητικό Βοήθημα]
Στέφανος Δ. Σερμπέτης
Τάξη:  Ζ' Γυμνασίου / Ζ' Πρακτικού Λυκείου
Μάθημα:  Χημεία
Μαθητικό βοήθημα Χημείας για τους υποψηφίους των εισαγωγικών εξετάσεων των ανωτάτων σχολών και των μαθητών της Ζ' τάξεως των Γυμνασίων και Πρακτικών Λυκείων. Το βιβλίο περιέχει γενικές έννοιες της Χημείας, ...