QR Code
20-05377
Ιω. Ν. Χατζιδάκις, Χρ. Α. Μπαρμπαστάθης

Στοιχειώδης άλγεβρα προς χρήσιν των Γυμνασίων
[1933, 2η Έκδοση]

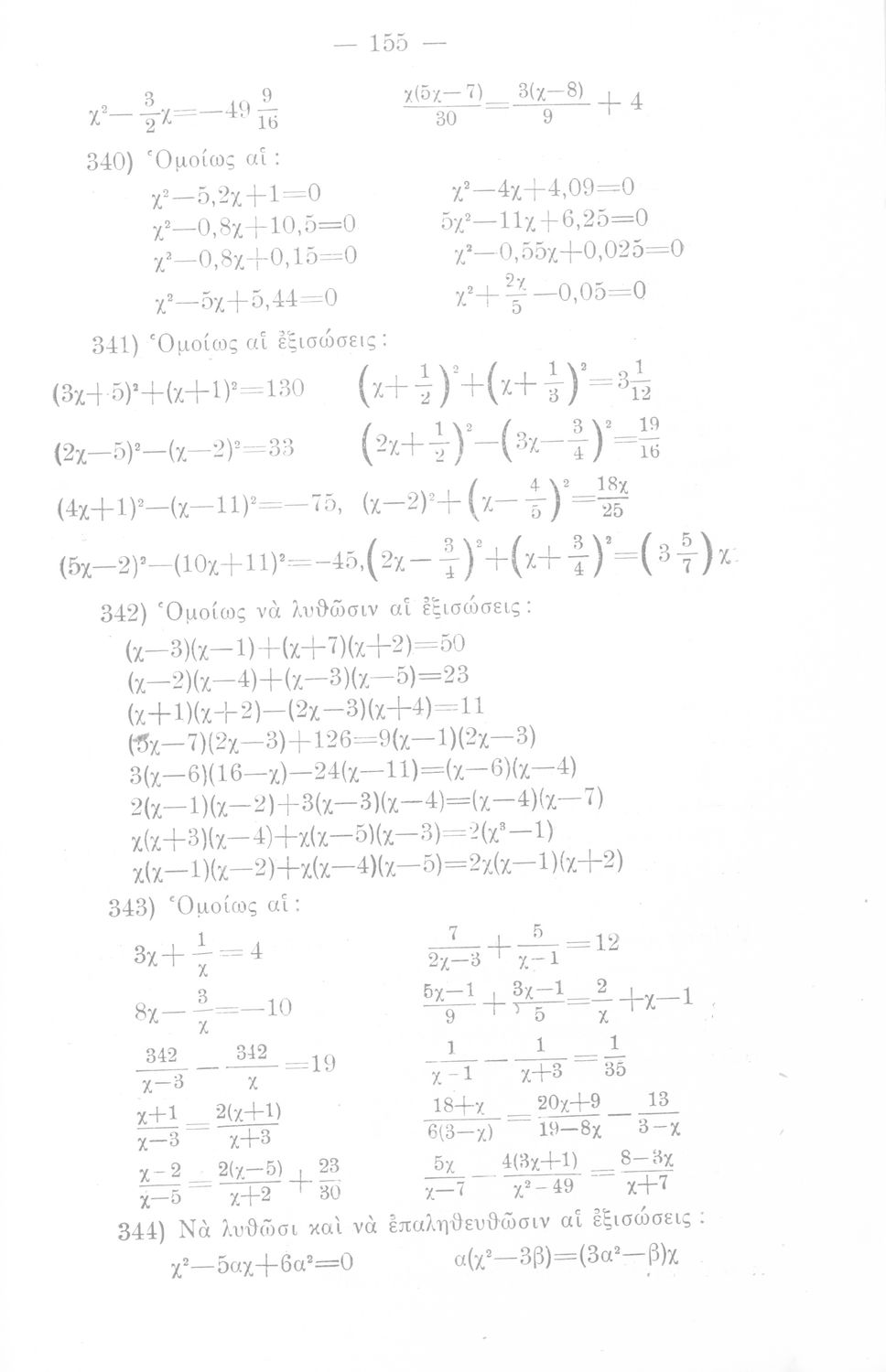
Σχολικό εγχειρίδιο Άλγεβρας που εστιάζει στις αλγεβρικές παραστάσεις, στις εξισώσεις α΄ και β΄ βαθμού, στις αριθμητικές προόδους και στους λογάριθμους.


TopΠΕΔΙΟ ΑΝΑΓΝΩΡΙΣΗΣ

Κωδικός αναγνώρισης: 20-05377

Τίτλος: Στοιχειώδης άλγεβρα προς χρήσιν των Γυμνασίων

Συγγραφέας: Ιω. Ν. Χατζιδάκις, Χρ. Α. Μπαρμπαστάθης

Μέγεθος και υπόστρωμα: Σχολικό εγχειρίδιο, 19εκ., σκληρό εξώφυλλο, 236 σελίδες.

TopΠΕΔΙΟ ΠΕΡΙΕΧΟΜΕΝΟΥ

Βαθμίδα εκπαίδευσης: Δευτεροβάθμια

Τάξη: Γυμνάσιο

Μάθημα: Άλγεβρα

Γλώσσα: Καθαρεύουσα

Παρουσίαση περιεχομένου: Σχολικό εγχειρίδιο Άλγεβρας που εστιάζει στις αλγεβρικές παραστάσεις, στις εξισώσεις α΄ και β΄ βαθμού, στις αριθμητικές προόδους και στους λογάριθμους.

TopΠΕΔΙΟ ΠΛΗΡΟΦΟΡΙΩΝ ΕΚΔΟΣΗΣ

Εκδότης: Ιωάννης Δ. Κολλάρος, Βιβλιοπωλείο της "Εστίας"

Έτος έκδοσης: 1933

Τόπος έκδοσης: Αθήνα

Έκδοση:

Υπουργική απόφαση / Σύμβαση: 46645/15887/23-8-1932

Έτος έγκρισης: 1932

TopΠΕΔΙΟ ΠΑΡΑΤΗΡΗΣΕΩΝ

Εντοπισμός πρωτοτύπου: ΚΕΝΕΚ - Εταιρεία Σπουδών Νεοελληνικού Πολιτισμού και Παιδείας

Κωδικός βιβλιοθήκης: 5377

TopΕΥΡΕΤΗΡΙΟ ΘΕΜΑΤΙΚΩΝ ΟΡΩΝ

Σχετιζόμενα πρόσωπα:

Σχετιζόμενοι όροι:


240 εγγραφές [141 - 160]
Σελίδα #141
Σελίδα #142
Σελίδα #143
Σελίδα #144
Σελίδα #145
Σελίδα #146
Σελίδα #147
Σελίδα #148
Σελίδα #149
Σελίδα #150
Σελίδα #151
Σελίδα #152
Σελίδα #153
Σελίδα #154
Σελίδα #155
Σελίδα #156
Σελίδα #157
Σελίδα #158
Σελίδα #159
Σελίδα #160
Σελίδα #161
Σελίδα #162
Σελίδα #163
Σελίδα #164
[Σχολικό Εγχειρίδιο]
Ιωάννης Ν. Χατζιδάκις
Τάξη:  Γυμνάσιο
Μάθημα:  Μαθηματικά
Σχολικό εγχειρίδιο Άλγεβρας Γυμνασίου χωρισμένο σε θεωρία και προβλήματα.
[Σχολικό Εγχειρίδιο]
Μαρία Σ. Ζερβού
Τάξη:  Γυμνάσιο
Μάθημα:  Μαθηματικά
Σχολικό εγχειρίδιο Άλγεβρας Γυμνασίου που περιλαμβάνει θεωρία και ασκήσεις.
[Σχολικό Εγχειρίδιο]
Σ. Μάναρης
Μάθημα:  Μαθηματικά
Σχολικό εγχειρίδιο Άλγεβρας που εστιάζει στην θεωρία των αρνητικών ποσοτήτων, τις δευτεροβάθμιες εξισώσεις, τις προόδους και τους λογάριθμους. Ακολουθεί το πρόγραμμα της Γαλλίας.
[Σχολικό Εγχειρίδιο]
Α. Γ. Καραγιαννίδης
Τάξη:  Γυμνάσιο
Μάθημα:  Μαθηματικά
Σχολικό εγχειρίδιο Άλγεβρας Γυμνασίου που περιέχει θεωρία και ασκήσεις. Ο συγγραφέας ήταν υφηγητής στο Εθνικό Πανεπιστήμιο.
[Σχολικό Εγχειρίδιο]
Στυλιανός Γ. Ρηγόπουλος
Τάξη:  Γυμνάσιο
Μάθημα:  Μαθηματικά
Σχολικό εγχειρίδιο Άλγεβρας Γυμνασίου χωρισμένο σε θεωρία και προβλήματα.
[Σχολικό Εγχειρίδιο]
Ιω. Ν. Χατζιδάκις, Χρ. Α. Μπαρμπαστάθης
Τάξη:  Γυμνάσιο
Μάθημα:  Μαθηματικά
Σχολικό εγχειρίδιο Άλγεβρας Γυμνασίου που περιλαμβάνει θεωρία και ασκήσεις.
[Μαθητικό Βοήθημα]
Νικόλαος Δ. Νικολάου
Μάθημα:  Μαθηματικά
Μαθητικό βοήθημα Μαθηματικών για τους μαθητές των Πρακτικών Λυκείων και τους υποψηφίους Ανωτάτων Σχολών του κράτους. Το βιβλίο περιέχει βασικές έννοιες και κανόνες της άλγεβρας και την ανάπτυξη αριθμητικών ...
[Σχολικό Εγχειρίδιο]
Ιωάννης Ν. Χατζιδάκις
Τάξη:  Γυμνάσιο
Μάθημα:  Μαθηματικά
Σχολικό εγχειρίδιο για τις τάξεις του Γυμνασίου για το μάθημα των Μαθηματικών και συγκεκριμένα της Άλγεβρας. Το εγχειρίδιο περιλαμβάνει εισαγωγικά γενικές πληροφορίες για τις 4 βασικές πράξεις συνεχίζει με τις
[Σχολικό Εγχειρίδιο]
Ιωάννης Ν. Χατζιδάκις
Τάξη:  Γυμνάσιο
Μάθημα:  Άλγεβρα
Σχολικό εγχειρίδιο Άλγεβρας Γυμνασίου που εστιάζει στις αριθμητικές πράξεις, τους ακέραιους αριθμούς, τις αλγεβρικές πράξεις, τις εξισώσεις α΄ και β΄ βαθμού, τις προόδους και τους λογάριθμους.
[Σχολικό Εγχειρίδιο]
Αναστάσιος Διομήδης Κυριακός
Τάξη:  Γυμνάσιο
Μάθημα:  Θρησκευτικά
Σχολικό εγχειρίδιο Θρησκευτικών Γυμνασίου που αποτελεί μια επισκόπηση της ιστορίας της Εκκλησίας από την ίδρυσή της μέχρι την ίδρυση και της Δυτικής Εκκλησίας.