QR Code
20-E0148
Ιωάννης Ν. Χατζιδάκις

Στοιχειώδης άλγεβρα προς χρήσιν των Γυμνασίων
[1920, 14η Έκδοση]

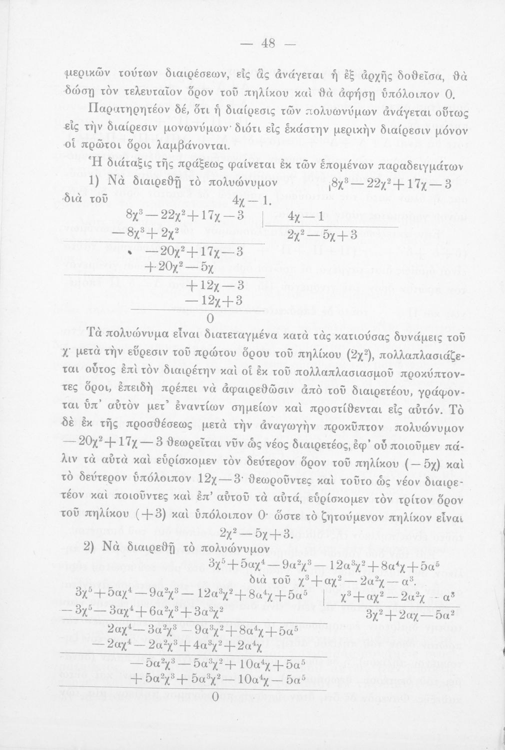
Σχολικό εγχειρίδιο Άλγεβρας Γυμνασίου που εστιάζει στις αριθμητικές πράξεις, τους ακέραιους αριθμούς, τις αλγεβρικές πράξεις, τις εξισώσεις α΄ και β΄ βαθμού, τις προόδους και τους λογάριθμους.


TopΠΕΔΙΟ ΑΝΑΓΝΩΡΙΣΗΣ

Κωδικός αναγνώρισης: 20-E0148

Τίτλος: Στοιχειώδης άλγεβρα προς χρήσιν των Γυμνασίων

Συγγραφέας: Ιωάννης Ν. Χατζιδάκις

Μέγεθος και υπόστρωμα: Σχολικό εγχειρίδιο, 20εκ., σκληρό εξώφυλλο, 260 σελίδες.

TopΠΕΔΙΟ ΠΕΡΙΕΧΟΜΕΝΟΥ

Βαθμίδα εκπαίδευσης: Δευτεροβάθμια

Τάξη: Γυμνάσιο

Μάθημα: Άλγεβρα

Γλώσσα: Καθαρεύουσα

Παρουσίαση περιεχομένου: Σχολικό εγχειρίδιο Άλγεβρας Γυμνασίου που εστιάζει στις αριθμητικές πράξεις, τους ακέραιους αριθμούς, τις αλγεβρικές πράξεις, τις εξισώσεις α΄ και β΄ βαθμού, τις προόδους και τους λογάριθμους.

TopΠΕΔΙΟ ΠΛΗΡΟΦΟΡΙΩΝ ΕΚΔΟΣΗΣ

Εκδότης: Π.Δ. Σακελλαρίου

Έτος έκδοσης: 1920

Τόπος έκδοσης: Αθήνα

Έκδοση: 14η

Υπουργική απόφαση / Σύμβαση: 221/17-10-1918

Έτος έγκρισης: 1918

TopΠΕΔΙΟ ΠΑΡΑΤΗΡΗΣΕΩΝ

Εντοπισμός πρωτοτύπου: ΚΕΝΕΚ - Εταιρεία Σπουδών Νεοελληνικού Πολιτισμού και Παιδείας

Κωδικός βιβλιοθήκης: E0148

TopΕΥΡΕΤΗΡΙΟ ΘΕΜΑΤΙΚΩΝ ΟΡΩΝ

Σχετιζόμενα πρόσωπα:

Σχετιζόμενοι όροι:


264 εγγραφές [41 - 60]
Σελίδα #041
Σελίδα #042
Σελίδα #043
Σελίδα #044
Σελίδα #045
Σελίδα #046
Σελίδα #047
Σελίδα #048
Σελίδα #049
Σελίδα #050
Σελίδα #051
Σελίδα #052
Σελίδα #053
Σελίδα #054
Σελίδα #055
Σελίδα #056
Σελίδα #057
Σελίδα #058
Σελίδα #059
Σελίδα #060
Σελίδα #061
Σελίδα #062
Σελίδα #063
Σελίδα #064
[Σχολικό Εγχειρίδιο]
Ιωάννης Ν. Χατζιδάκις
Τάξη:  Γυμνάσιο
Μάθημα:  Μαθηματικά
Σχολικό εγχειρίδιο Άλγεβρας Γυμνασίου χωρισμένο σε θεωρία και προβλήματα.
[Σχολικό Εγχειρίδιο]
Μαρία Σ. Ζερβού
Τάξη:  Γυμνάσιο
Μάθημα:  Μαθηματικά
Σχολικό εγχειρίδιο Άλγεβρας Γυμνασίου που περιλαμβάνει θεωρία και ασκήσεις.
[Σχολικό Εγχειρίδιο]
Σ. Μάναρης
Μάθημα:  Μαθηματικά
Σχολικό εγχειρίδιο Άλγεβρας που εστιάζει στην θεωρία των αρνητικών ποσοτήτων, τις δευτεροβάθμιες εξισώσεις, τις προόδους και τους λογάριθμους. Ακολουθεί το πρόγραμμα της Γαλλίας.
[Σχολικό Εγχειρίδιο]
Α. Γ. Καραγιαννίδης
Τάξη:  Γυμνάσιο
Μάθημα:  Μαθηματικά
Σχολικό εγχειρίδιο Άλγεβρας Γυμνασίου που περιέχει θεωρία και ασκήσεις. Ο συγγραφέας ήταν υφηγητής στο Εθνικό Πανεπιστήμιο.
[Σχολικό Εγχειρίδιο]
Στυλιανός Γ. Ρηγόπουλος
Τάξη:  Γυμνάσιο
Μάθημα:  Μαθηματικά
Σχολικό εγχειρίδιο Άλγεβρας Γυμνασίου χωρισμένο σε θεωρία και προβλήματα.
[Σχολικό Εγχειρίδιο]
Ιω. Ν. Χατζιδάκις, Χρ. Α. Μπαρμπαστάθης
Τάξη:  Γυμνάσιο
Μάθημα:  Μαθηματικά
Σχολικό εγχειρίδιο Άλγεβρας Γυμνασίου που περιλαμβάνει θεωρία και ασκήσεις.
[Μαθητικό Βοήθημα]
Νικόλαος Δ. Νικολάου
Μάθημα:  Μαθηματικά
Μαθητικό βοήθημα Μαθηματικών για τους μαθητές των Πρακτικών Λυκείων και τους υποψηφίους Ανωτάτων Σχολών του κράτους. Το βιβλίο περιέχει βασικές έννοιες και κανόνες της άλγεβρας και την ανάπτυξη αριθμητικών ...
[Σχολικό Εγχειρίδιο]
Ιωάννης Ν. Χατζιδάκις
Τάξη:  Γυμνάσιο
Μάθημα:  Μαθηματικά
Σχολικό εγχειρίδιο για τις τάξεις του Γυμνασίου για το μάθημα των Μαθηματικών και συγκεκριμένα της Άλγεβρας. Το εγχειρίδιο περιλαμβάνει εισαγωγικά γενικές πληροφορίες για τις 4 βασικές πράξεις συνεχίζει με τις
[Σχολικό Εγχειρίδιο]
Ιω. Ν. Χατζιδάκις, Χρ. Α. Μπαρμπαστάθης
Τάξη:  Γυμνάσιο
Μάθημα:  Άλγεβρα
Σχολικό εγχειρίδιο Άλγεβρας που εστιάζει στις αλγεβρικές παραστάσεις, στις εξισώσεις α΄ και β΄ βαθμού, στις αριθμητικές προόδους και στους λογάριθμους.
[Σχολικό Εγχειρίδιο]
Αναστάσιος Διομήδης Κυριακός
Τάξη:  Γυμνάσιο
Μάθημα:  Θρησκευτικά
Σχολικό εγχειρίδιο Θρησκευτικών Γυμνασίου που αποτελεί μια επισκόπηση της ιστορίας της Εκκλησίας από την ίδρυσή της μέχρι την ίδρυση και της Δυτικής Εκκλησίας.