QR Code
1983-0129

Τμήμα Δημοτικής Εκπαίδευσης
[1983]


TopΠΕΔΙΟ ΑΝΑΓΝΩΡΙΣΗΣ

Κωδικός αναγνώρισης: 1983-0129

Τίτλος: Τμήμα Δημοτικής Εκπαίδευσης

Μέγεθος και υπόστρωμα: Πρακτικά κεμε, 481 σελίδες.

TopΠΕΔΙΟ ΠΛΗΡΟΦΟΡΙΩΝ ΕΚΔΟΣΗΣ

Έτος έκδοσης: 1983

TopΠΕΔΙΟ ΠΑΡΑΤΗΡΗΣΕΩΝ

Εντοπισμός πρωτοτύπου: Ινστιτούτο Εκπαιδευτικής Πολιτικής


587 εγγραφές [321 - 360]
Σελίδα #321
Σελίδα #322
Σελίδα #323
Σελίδα #324
Σελίδα #325
Σελίδα #326
Σελίδα #327
Σελίδα #328
Σελίδα #329
Σελίδα #330
Σελίδα #331
Σελίδα #332
Σελίδα #333
Σελίδα #334
Σελίδα #335
Σελίδα #336
Σελίδα #337
Σελίδα #338
Σελίδα #339
Σελίδα #340
Σελίδα #341
Σελίδα #342
Σελίδα #343
Σελίδα #344
Σελίδα #345
Σελίδα #346
Σελίδα #347
Σελίδα #348
Σελίδα #349
Σελίδα #350
Σελίδα #351
Σελίδα #352
Σελίδα #353
Σελίδα #354
Σελίδα #355
Σελίδα #356
Σελίδα #357
Σελίδα #358
Σελίδα #359
Σελίδα #360
Σελίδα #361
Σελίδα #362
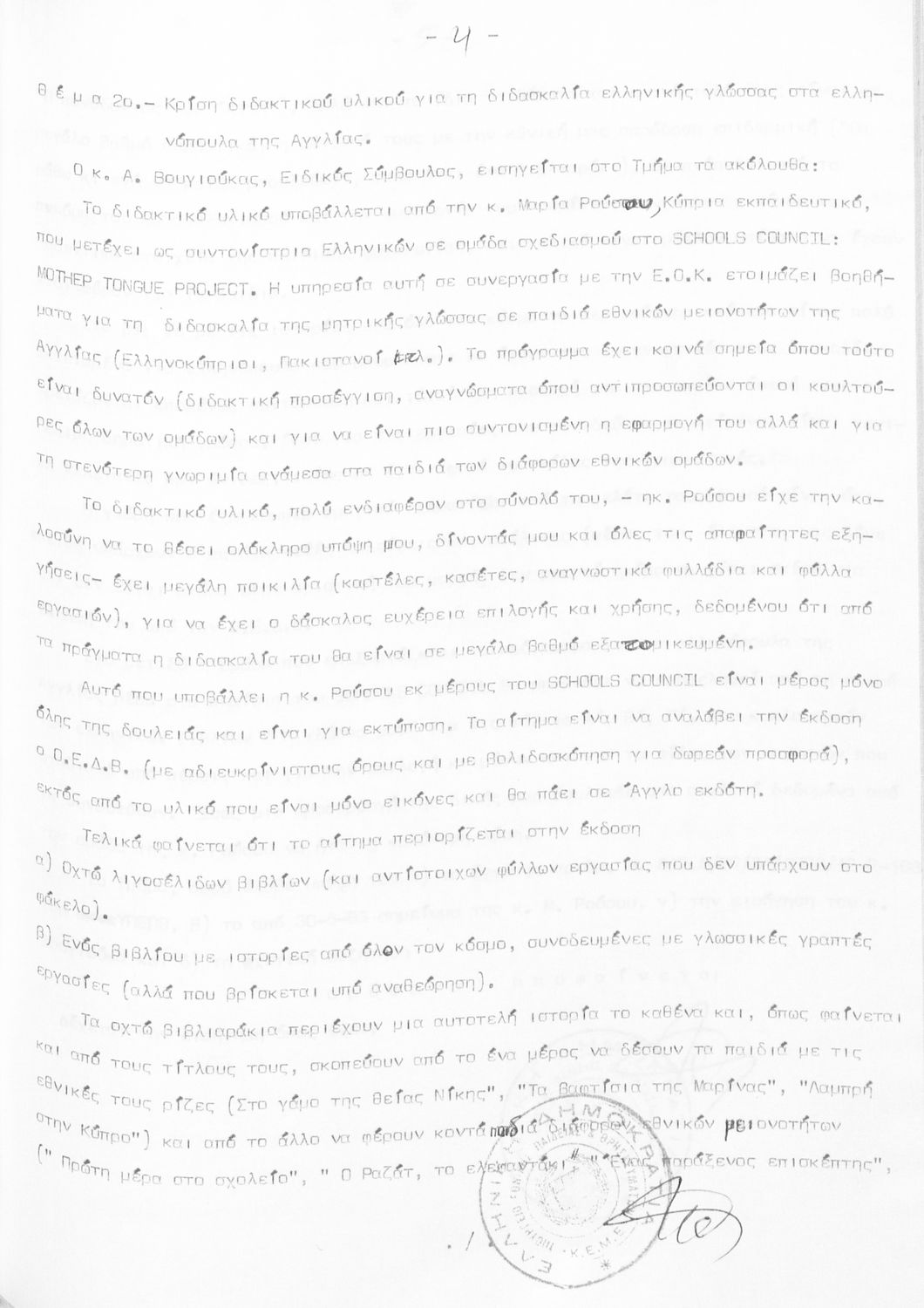
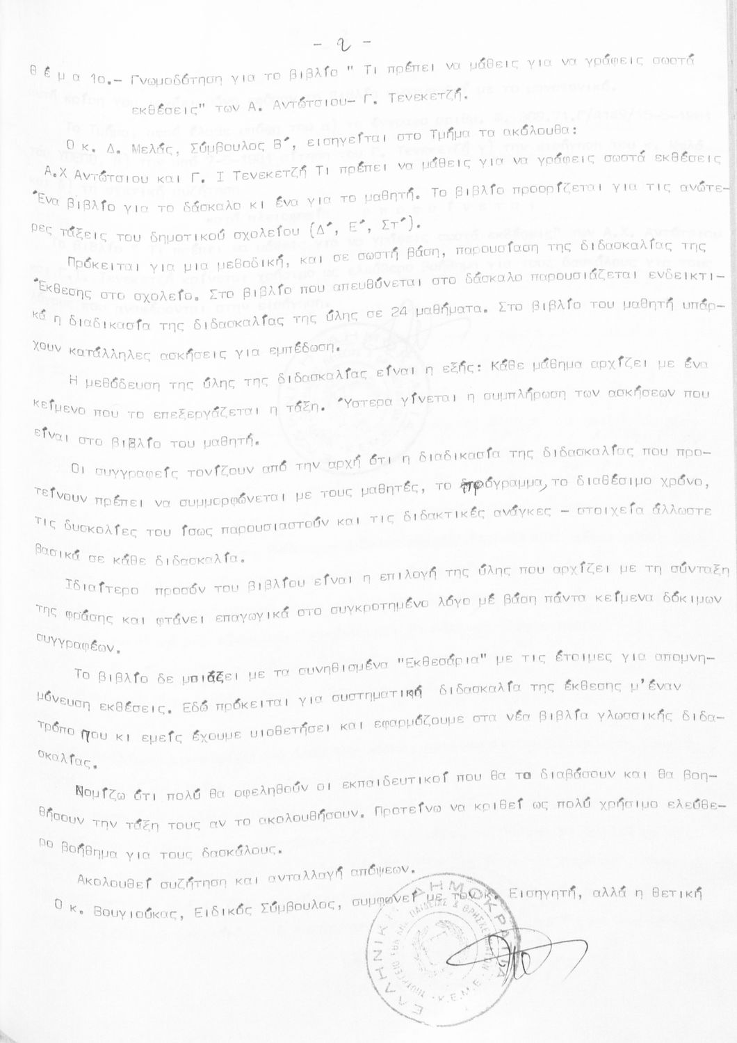
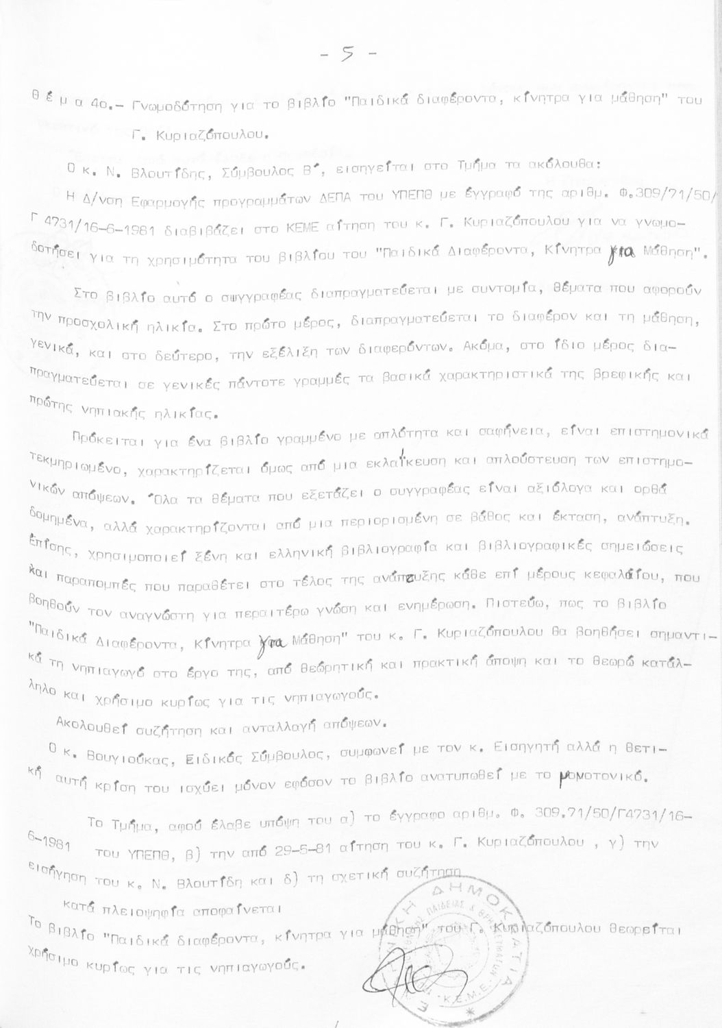
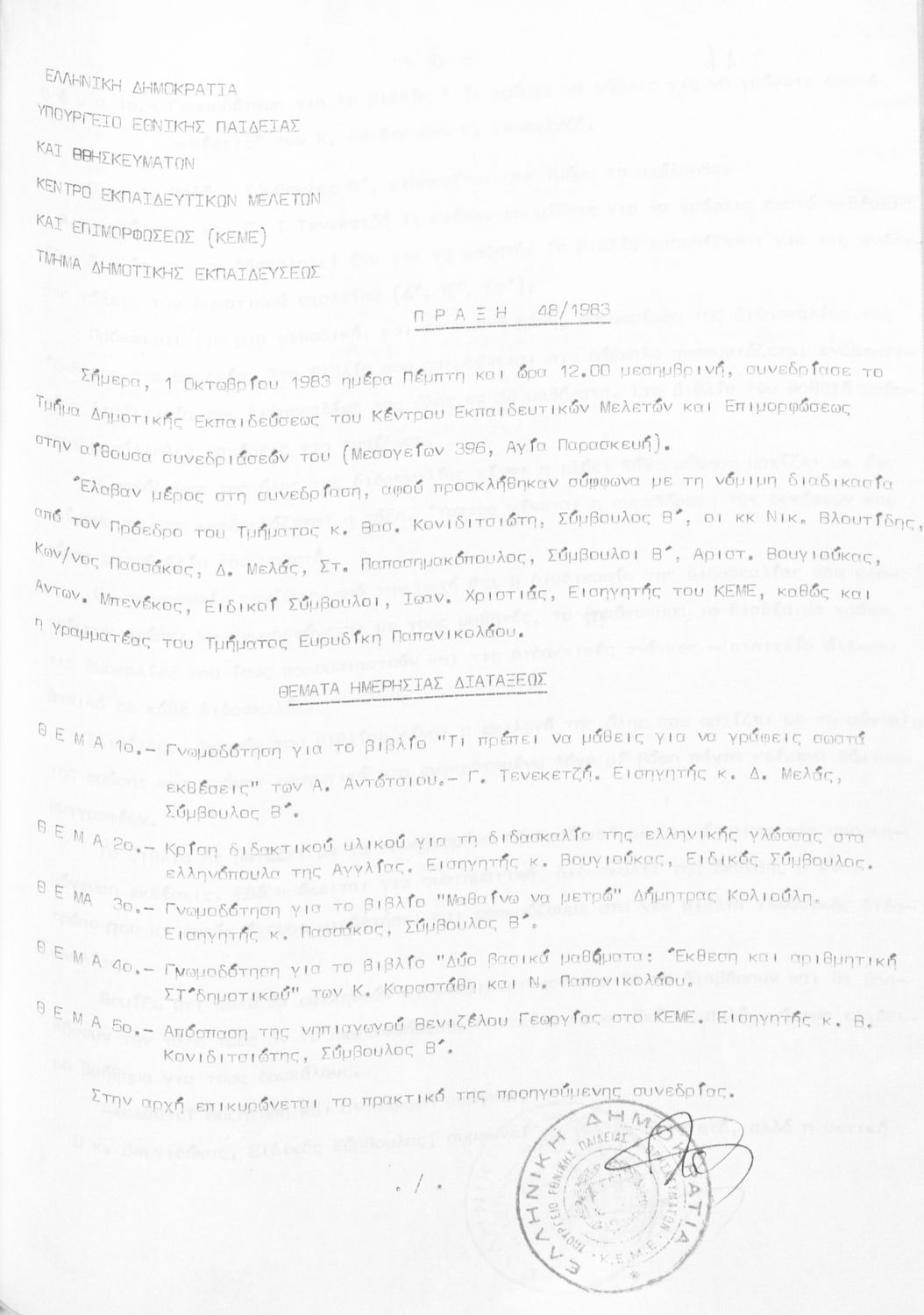
[Πρακτικά ΚΕΜΕ]
[Πρακτικά ΚΕΜΕ]
[Πρακτικά ΚΕΜΕ]
[Πρακτικά ΚΕΜΕ]
[Πρακτικά ΚΕΜΕ]