QR Code
1992-0206

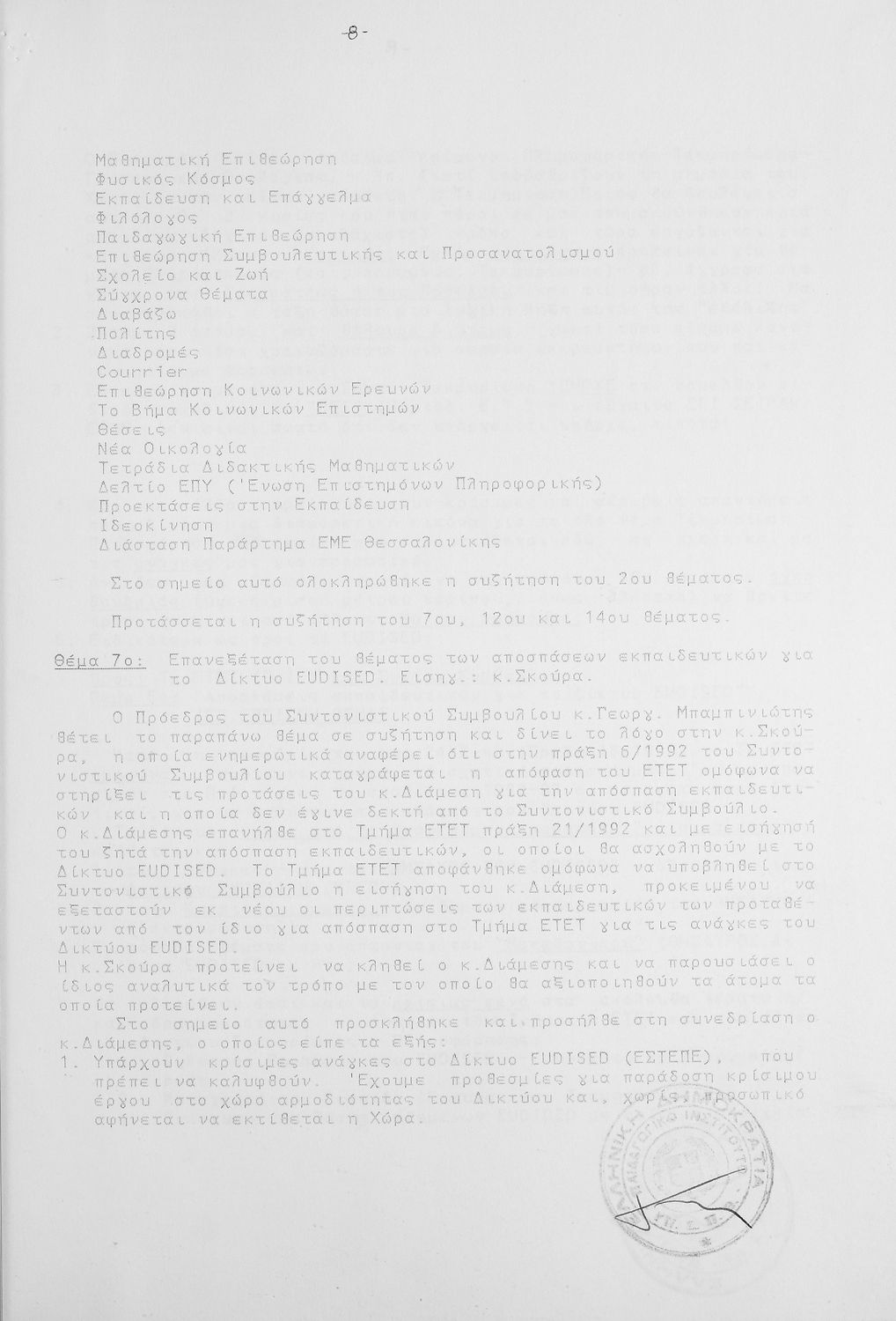
ΠΑΙΔ. ΙΝΣΤ ΣΥΝΤΟΝΙΣΤ. ΣΥΜΒ.
[1992]


TopΠΕΔΙΟ ΑΝΑΓΝΩΡΙΣΗΣ

Κωδικός αναγνώρισης: 1992-0206

Τίτλος: ΠΑΙΔ. ΙΝΣΤ ΣΥΝΤΟΝΙΣΤ. ΣΥΜΒ.

Μέγεθος και υπόστρωμα: Πρακτικά σσ.

TopΠΕΔΙΟ ΠΕΡΙΕΧΟΜΕΝΟΥ

Πράξεις: 1-18

TopΠΕΔΙΟ ΠΛΗΡΟΦΟΡΙΩΝ ΕΚΔΟΣΗΣ

Έτος έκδοσης: 1992

TopΠΕΔΙΟ ΠΑΡΑΤΗΡΗΣΕΩΝ

Εντοπισμός πρωτοτύπου: Ινστιτούτο Εκπαιδευτικής Πολιτικής


110 εγγραφές [81 - 110]
Σελίδα #081
Σελίδα #082
Σελίδα #083
Σελίδα #084
Σελίδα #085
Σελίδα #086
Σελίδα #087
Σελίδα #088
Σελίδα #089
Σελίδα #090
Σελίδα #091
Σελίδα #092
Σελίδα #093
Σελίδα #094
Σελίδα #095
Σελίδα #096
Σελίδα #097
Σελίδα #098
Σελίδα #099
Σελίδα #100
Σελίδα #101
Σελίδα #102
Σελίδα #103
Σελίδα #104
Σελίδα #105
Σελίδα #106
Σελίδα #107
Σελίδα #108
Σελίδα #109
Σελίδα #110