QR Code
01-17594
Ε. Παπατριανταφύλλου

Μαθηματικά ΣΤ΄ Γυμνασίου θετικής κατευθύνσεως Τριγωνομετρία
[1975, 6η Έκδοση]

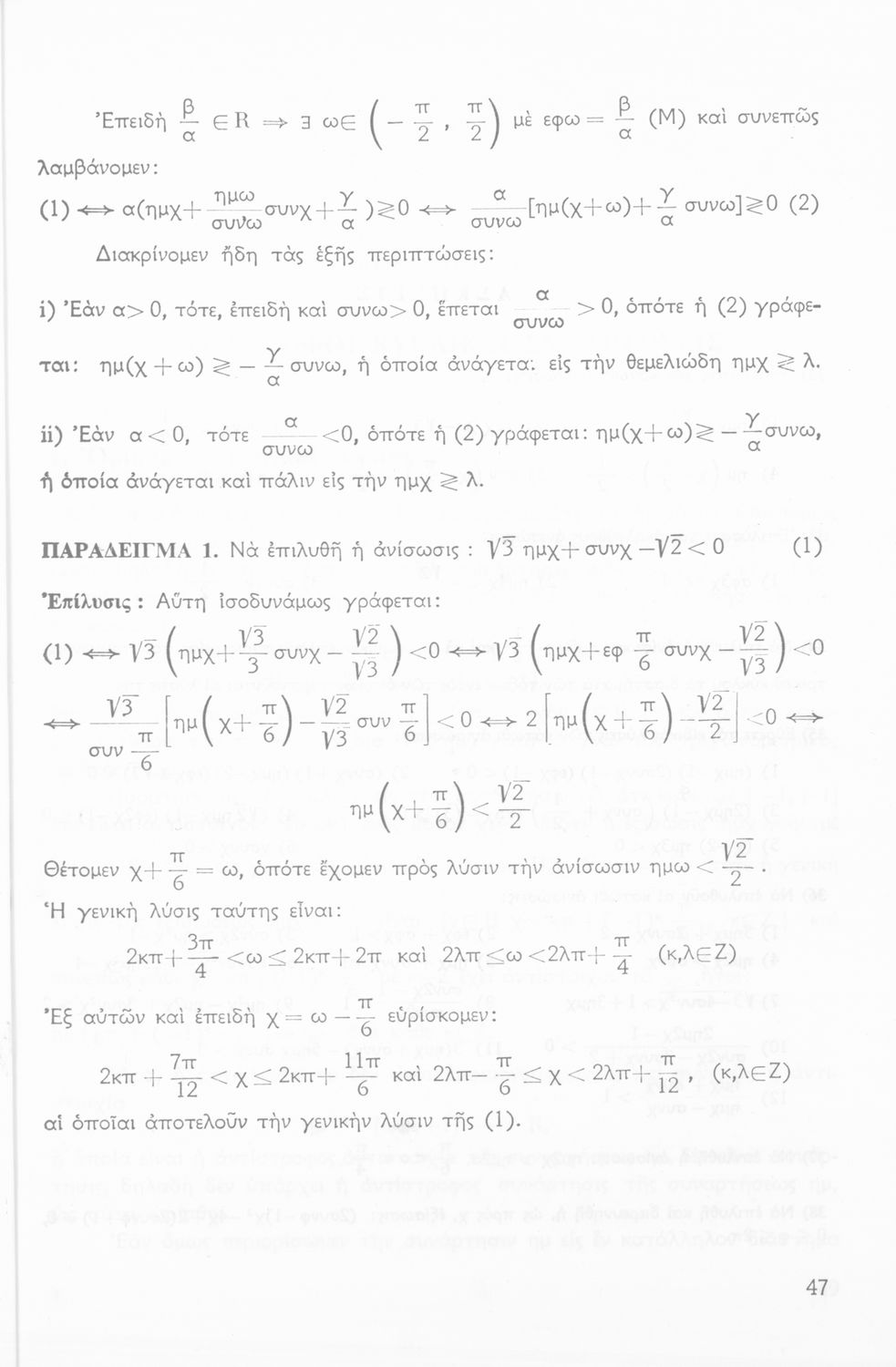
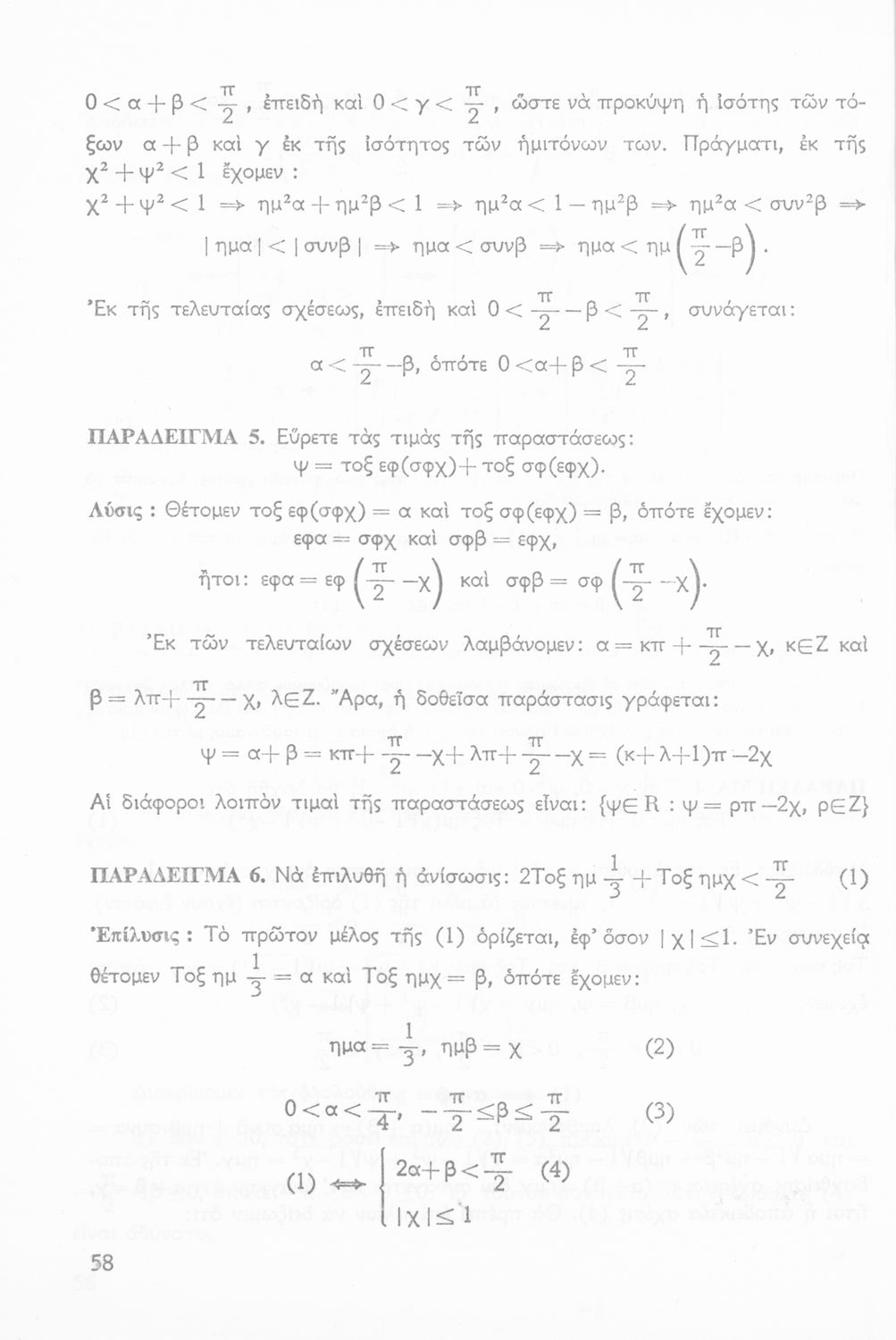
Σχολικό εγχειρίδιο Τριγωνομετρίας ΣΤ΄ Γυμνασίου χωρισμένο σε ορισμούς, θεωρία, παραδείγματα και ασκήσεις.


TopΠΕΔΙΟ ΑΝΑΓΝΩΡΙΣΗΣ

Κωδικός αναγνώρισης: 01-17594

Τίτλος: Μαθηματικά ΣΤ΄ Γυμνασίου θετικής κατευθύνσεως Τριγωνομετρία

Συγγραφέας: Ε. Παπατριανταφύλλου

Μέγεθος και υπόστρωμα: Σχολικό εγχειρίδιο, 23εκ., μαλακό εξώφυλλο, 104 σελίδες.

TopΠΕΔΙΟ ΠΕΡΙΕΧΟΜΕΝΟΥ

Βαθμίδα εκπαίδευσης: Δευτεροβάθμια

Τάξη: ΣΤ' Γυμνασίου

Μάθημα: Μαθηματικά

Γλώσσα: Απλή καθαρεύουσα

Παρουσίαση περιεχομένου: Σχολικό εγχειρίδιο Τριγωνομετρίας ΣΤ΄ Γυμνασίου χωρισμένο σε ορισμούς, θεωρία, παραδείγματα και ασκήσεις.

TopΠΕΔΙΟ ΠΛΗΡΟΦΟΡΙΩΝ ΕΚΔΟΣΗΣ

Εκδότης: Οργανισμός Εκδόσεως Διδακτικών Βιβλίων

Έτος έκδοσης: 1975

Τόπος έκδοσης: Αθήνα

Έκδοση:

Υπουργική απόφαση / Σύμβαση: 2542/29-3-1975

Έτος έγκρισης: 1975

TopΠΕΔΙΟ ΠΑΡΑΤΗΡΗΣΕΩΝ

Εντοπισμός πρωτοτύπου: Ινστιτούτο Εκπαιδευτικής Πολιτικής

Κωδικός βιβλιοθήκης: 17594

TopΕΥΡΕΤΗΡΙΟ ΘΕΜΑΤΙΚΩΝ ΟΡΩΝ

Σχετιζόμενα πρόσωπα:

Σχετιζόμενοι όροι:


108 εγγραφές [41 - 60]
Σελίδα #039
Σελίδα #040
Σελίδα #041
Σελίδα #042
Σελίδα #043
Σελίδα #044
Σελίδα #045
Σελίδα #046
Σελίδα #047
Σελίδα #048
Σελίδα #049
Σελίδα #050
Σελίδα #051
Σελίδα #052
Σελίδα #053
Σελίδα #054
Σελίδα #055
Σελίδα #056
Σελίδα #057
Σελίδα #058
Σελίδα #059
Σελίδα #060
Σελίδα #061
Σελίδα #062
[Σχολικό Εγχειρίδιο]
Ε. Παπατριανταφύλλου
Τάξη:  ΣΤ' Γυμνασίου
Μάθημα:  Μαθηματικά
Σχολικό εγχειρίδιο της ΣΤ΄ Γυμνασίου για το μάθημα των Μαθηματικών. Περιέχει θεωρία, ασκήσεις λυμένες και παραδείγματα της Τριγωνομετρίας. Απευθυνόταν στους μαθητές της θετικής κατεύθυνσης.
[Σχολικό Εγχειρίδιο]
Ε. Παπατριανταφύλλου
Τάξη:  ΣΤ' Γυμνασίου
Μάθημα:  Μαθηματικά
Σχολικό εγχειρίδιο της ΣΤ΄ Γυμνασίου για το μάθημα των Μαθηματικών. Περιέχει θεωρία, ασκήσεις λυμένες και παραδείγματα της Τριγωνομετρίας. Απευθυνόταν στους μαθητές της θετικής κατεύθυνσης.
[Σχολικό Εγχειρίδιο]
Ε. Παπατριανταφύλλου
Τάξη:  Γ' Λυκείου
Μάθημα:  Μαθηματικά
Σχολικό εγχειρίδιο της ΣΤ΄ Γυμνασίου για το μάθημα των Μαθηματικών. Περιέχει θεωρία, ασκήσεις λυμένες και παραδείγματα της Τριγωνομετρίας. Απευθυνόταν στους μαθητές της θετικής κατεύθυνσης.
[Σχολικό Εγχειρίδιο]
Ε. Παπατριανταφύλλου
Τάξη:  ΣΤ' Γυμνασίου
Μάθημα:  Μαθηματικά
Το σύγγραμμα ήταν σχολικό εγχειρίδιο για το μάθημα των Μαθηματικών στο Γυμνάσιο. Περιέχει βασικές γνώσεις Τριγωνομετρίας. Αναφέρεται στις τριγωνομετρικές εξισώσεις, τα τριγωνομετρικά συστήματα, την απαλοιφή, ...
[Σχολικό Εγχειρίδιο]
Ε. Παπατριανταφύλλου
Τάξη:  ΣΤ' Γυμνασίου
Μάθημα:  Μαθηματικά
Σχολικό εγχειρίδιο της ΣΤ΄ Γυμνασίου για το μάθημα των Μαθηματικών. Περιέχει θεωρία, ασκήσεις λυμένες και παραδείγματα της Τριγωνομετρίας. Απευθυνόταν στους μαθητές της θετικής κατεύθυνσης.
[Σχολικό Εγχειρίδιο]
Σπ. Γ. Κανέλλος
Τάξη:  Δ' Γυμνασίου / Ε' Γυμνασίου / ΣΤ' Γυμνασίου
Μάθημα:  Μαθηματικά
Σχολικό εγχειρίδιο Γεωμετρίας για τις Δ΄, Ε΄ και ΣΤ΄ Γυμνασίου που περιλαμβάνει αξιώματα, θεωρήματα και κατασκευές και είναι χωρισμένο σε γεωμετρία επιπέδου και γεωμετρία χώρου.
[Σχολικό Εγχειρίδιο]
Θ. Βαβαλέτσκος, Γ. Μπούσγος
Τάξη:  Δ' Γυμνασίου
Μάθημα:  Μαθηματικά
Σχετιζόμενοι όροι:  εξισώσεις, συναρτήσεις, ανισώσεις
Σχολικό εγχειρίδιο Μαθηματικών Δ΄ Γυμνασίου χωρισμένο σε ορισμούς, παραδείγματα και ασκήσεις. Περιέχει στοιχεία Περιγραφικής Στατιστικής και Τριγωνομετρίας. Φέρει το σύμβολο της δικτατορίας.
[Σχολικό Εγχειρίδιο]
Βασίλειος Στάικος
Τάξη:  ΣΤ' Γυμνασίου
Μάθημα:  Μαθηματικά
Σχετιζόμενοι όροι:  σύνολα, συναρτήσεις, ολοκληρώματα
Σχολικό εγχειρίδιο Μαθηματικών Γυμνασίου που είναι χωρισμένο σε θεωρήματα, παραδείγματα και ασκήσεις και περιλαμβάνει στοιχεία Ανώτερης Άλγεβρας και Μαθηματικής Ανάλυσης.
[Σχολικό Εγχειρίδιο]
Ιωάν. Πανάκης
Τάξη:  Ε' Γυμνασίου
Μάθημα:  Μαθηματικά
Σχολικό εγχειρίδιο Μαθηματικών για την Ε΄ Γυμνασίου, χωρισμένο σε προβλήματα, εφαρμογές και ασκήσεις, που εστιάζει στην Τριγωνομετρία. Φέρει το σύμβολο της δικτατορίας.
[Σχολικό Εγχειρίδιο]
Θ. Βαβαλέτσκος, Γ. Μπούσγος
Τάξη:  Δ' Γυμνασίου
Μάθημα:  Μαθηματικά
Σχετιζόμενοι όροι:  εξισώσεις, συναρτήσεις, ανισώσεις
Σχολικό εγχειρίδιο Μαθηματικών Δ΄ Γυμνασίου χωρισμένο σε ορισμούς, παραδείγματα και ασκήσεις. Περιέχει στοιχεία Περιγραφικής Στατιστικής και Τριγωνομετρίας.