QR Code
01-17614
Γ. Γραφάκος, Κ. Διακάκης, Σ. Μαντζάρας

Μαθηματικά Β΄ Γυμνασίου (αριθμητική και άλγεβρα - γεωμετρία)
[1977, 8η Έκδοση]

Σχολικό Εγχειρίδιο Μαθηματικών Β' Γυμνασίου που περιλαμβάνει αριθμητική με έμφαση στα σύνολα, τις μεθόδους υπολογισμού τόκων και επιτοκίων, και την μέθοδο των τριών, και γεωμετρία με έμφαση στα γεωμετρικά σχήματα και σώματα και τρόπους υπολογισμού τους.


TopΠΕΔΙΟ ΑΝΑΓΝΩΡΙΣΗΣ

Κωδικός αναγνώρισης: 01-17614

Τίτλος: Μαθηματικά Β΄ Γυμνασίου (αριθμητική και άλγεβρα - γεωμετρία)

Συγγραφέας: Γ. Γραφάκος, Κ. Διακάκης, Σ. Μαντζάρας

Μέγεθος και υπόστρωμα: Σχολικό εγχειρίδιο, 22εκ., μαλακό εξώφυλλο, 280 σελίδες. Σκίτσα (ασπρόμαυρα).

TopΠΕΔΙΟ ΠΕΡΙΕΧΟΜΕΝΟΥ

Βαθμίδα εκπαίδευσης: Δευτεροβάθμια

Τάξη: Β' Γυμνασίου

Μάθημα: Μαθηματικά

Γλώσσα: Δημοτική

Παρουσίαση περιεχομένου: Σχολικό Εγχειρίδιο Μαθηματικών Β' Γυμνασίου που περιλαμβάνει αριθμητική με έμφαση στα σύνολα, τις μεθόδους υπολογισμού τόκων και επιτοκίων, και την μέθοδο των τριών, και γεωμετρία με έμφαση στα γεωμετρικά σχήματα και σώματα και τρόπους υπολογισμού τους.

TopΠΕΔΙΟ ΠΛΗΡΟΦΟΡΙΩΝ ΕΚΔΟΣΗΣ

Εκδότης: Οργανισμός Εκδόσεως Διδακτικών Βιβλίων

Έτος έκδοσης: 1977

Τόπος έκδοσης: Αθήνα

Έκδοση:

Υπουργική απόφαση / Σύμβαση: 2853/16-5-1977

Έτος έγκρισης: 1977

TopΠΕΔΙΟ ΠΑΡΑΤΗΡΗΣΕΩΝ

Εντοπισμός πρωτοτύπου: Ινστιτούτο Εκπαιδευτικής Πολιτικής

Κωδικός βιβλιοθήκης: 17614

TopΕΥΡΕΤΗΡΙΟ ΘΕΜΑΤΙΚΩΝ ΟΡΩΝ

Σχετιζόμενα πρόσωπα:

Σχετιζόμενοι όροι:


284 εγγραφές [41 - 60]
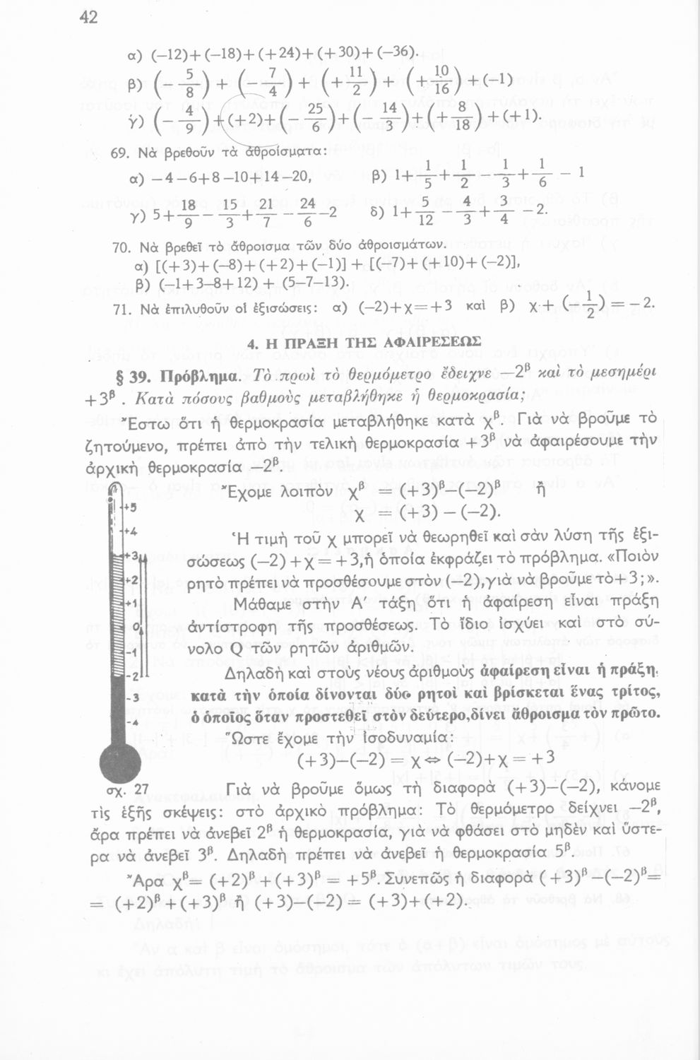
Σελίδα #039
Σελίδα #040
Σελίδα #041
Σελίδα #042
Σελίδα #043
Σελίδα #044
Σελίδα #045
Σελίδα #046
Σελίδα #047
Σελίδα #048
Σελίδα #049
Σελίδα #050
Σελίδα #051
Σελίδα #052
Σελίδα #053
Σελίδα #054
Σελίδα #055
Σελίδα #056
Σελίδα #057
Σελίδα #058
Σελίδα #059
Σελίδα #060
Σελίδα #061
Σελίδα #062
[Σχολικό Εγχειρίδιο]
Γ. Γραφάκος, Κ. Διακάκης, Σ. Μαντζάρας
Τάξη:  Β' Γυμνασίου
Μάθημα:  Μαθηματικά
Σχολικό Εγχειρίδιο Μαθηματικών Β' Γυμνασίου που περιλαμβάνει αριθμητική με έμφαση στα σύνολα, τις μεθόδους υπολογισμού τόκων και επιτοκίων, και την μέθοδο των τριών, και γεωμετρία με έμφαση στα γεωμετρικά ...
[Σχολικό Εγχειρίδιο]
Γ. Γραφάκος, Κ. Διακάκης, Σ. Μαντζάρας
Τάξη:  Β' Γυμνασίου
Μάθημα:  Μαθηματικά
Σχολικό Εγχειρίδιο Μαθηματικών Β' Γυμνασίου που περιλαμβάνει αριθμητική με έμφαση στα σύνολα, τις μεθόδους υπολογισμού τόκων και επιτοκίων, και την μέθοδο των τριών, και γεωμετρία με έμφαση στα γεωμετρικά ...
[Σχολικό Εγχειρίδιο]
Γ. Γραφάκος, Κ. Διακάκης, Σ. Μαντζάρας
Τάξη:  Β' Γυμνασίου
Μάθημα:  Μαθηματικά
Σχολικό Εγχειρίδιο Μαθηματικών Β' Γυμνασίου που περιλαμβάνει αριθμητική με έμφαση στα σύνολα, τις μεθόδους υπολογισμού τόκων και επιτοκίων, και την μέθοδο των τριών, και γεωμετρία με έμφαση στα γεωμετρικά ...
[Σχολικό Εγχειρίδιο]
Γ. Γραφάκος, Κ. Διακάκης, Σ. Μαντζάρας
Τάξη:  Β' Γυμνασίου
Μάθημα:  Μαθηματικά
Σχολικό Εγχειρίδιο Μαθηματικών Β' Γυμνασίου που περιλαμβάνει αριθμητική με έμφαση στα σύνολα, τις μεθόδους υπολογισμού τόκων και επιτοκίων, και την μέθοδο των τριών, και γεωμετρία με έμφαση στα γεωμετρικά ...
[Σχολικό Εγχειρίδιο]
Γ. Γραφάκος, Κ. Διακάκης, Σ. Μαντζάρας
Τάξη:  Β' Γυμνασίου
Μάθημα:  Μαθηματικά
Σχολικό Εγχειρίδιο Μαθηματικών Β' Γυμνασίου που περιλαμβάνει αριθμητική με έμφαση στα σύνολα, τις μεθόδους υπολογισμού τόκων και επιτοκίων, και την μέθοδο των τριών, και γεωμετρία με έμφαση στα γεωμετρικά ...
[Σχολικό Εγχειρίδιο]
Γ. Γραφάκος, Κ. Διακάκης, Σ. Μαντζάρας
Τάξη:  Β' Γυμνασίου
Μάθημα:  Μαθηματικά
Σχολικό Εγχειρίδιο Μαθηματικών Β' Γυμνασίου που περιλαμβάνει αριθμητική με έμφαση στα σύνολα, τις μεθόδους υπολογισμού τόκων και επιτοκίων, και την μέθοδο των τριών, και γεωμετρία με έμφαση στα γεωμετρικά ...
[Σχολικό Εγχειρίδιο]
Γ. Γραφάκος, Κ. Διακάκης, Σ. Μαντζάρας
Τάξη:  Β' Γυμνασίου
Μάθημα:  Μαθηματικά
Σχολικό Εγχειρίδιο Μαθηματικών Β' Γυμνασίου που περιλαμβάνει αριθμητική με έμφαση στα σύνολα, τις μεθόδους υπολογισμού τόκων και επιτοκίων, και την μέθοδο των τριών, και γεωμετρία με έμφαση στα γεωμετρικά ...
[Σχολικό Εγχειρίδιο]
Νείλος Σακελλαρίου
Τάξη:  Γυμνάσιο
Μάθημα:  Μαθηματικά
Σχολικό εγχειρίδιο Άλγεβρας Γυμνασίου που περιλαμβάνει θεωρία, ασκήσεις και στοιχεία λογιστικής.
[Σχολικό Εγχειρίδιο]
Δ. Παπαμιχαήλ, Σ. Μπαλής, Χρ. Γιαννίκος, Δ. Νοταράς, Κ. Σολδάτος
Τάξη:  Β' Γυμνασίου
Μάθημα:  Μαθηματικά
Σχολικό εγχειρίδιο Μαθηματικών Β΄ Γυμνασίου που περιλαμβάνει Άλγεβρα, Γεωμετρία και Τριγωνομετρία.
[Σχολικό Εγχειρίδιο]
Α. Γ. Καραγιαννίδης
Τάξη:  Γυμνάσιο
Μάθημα:  Μαθηματικά
Σχολικό εγχειρίδιο Άλγεβρας Γυμνασίου που περιέχει θεωρία και ασκήσεις. Ο συγγραφέας ήταν υφηγητής στο Εθνικό Πανεπιστήμιο.