QR Code
01-40692
Γ. Γραφάκος, Κ. Διακάκης, Σ. Μαντζάρας

Μαθηματικά Β΄ Γυμνασίου (αριθμητική και άλγεβρα, γεωμετρία)
[1974, 5η Έκδοση]

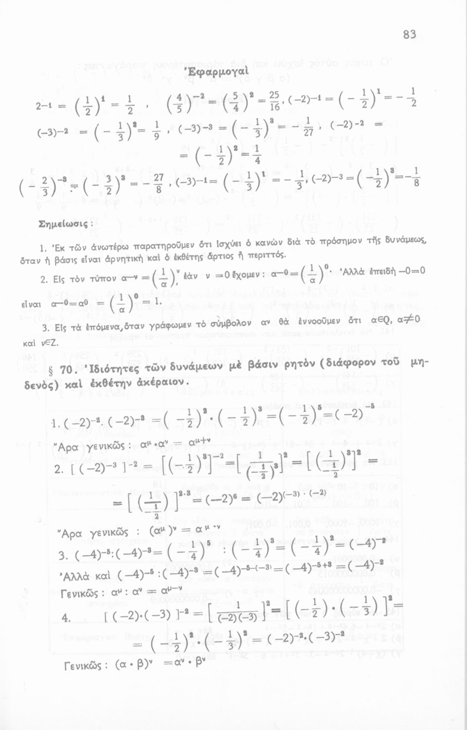
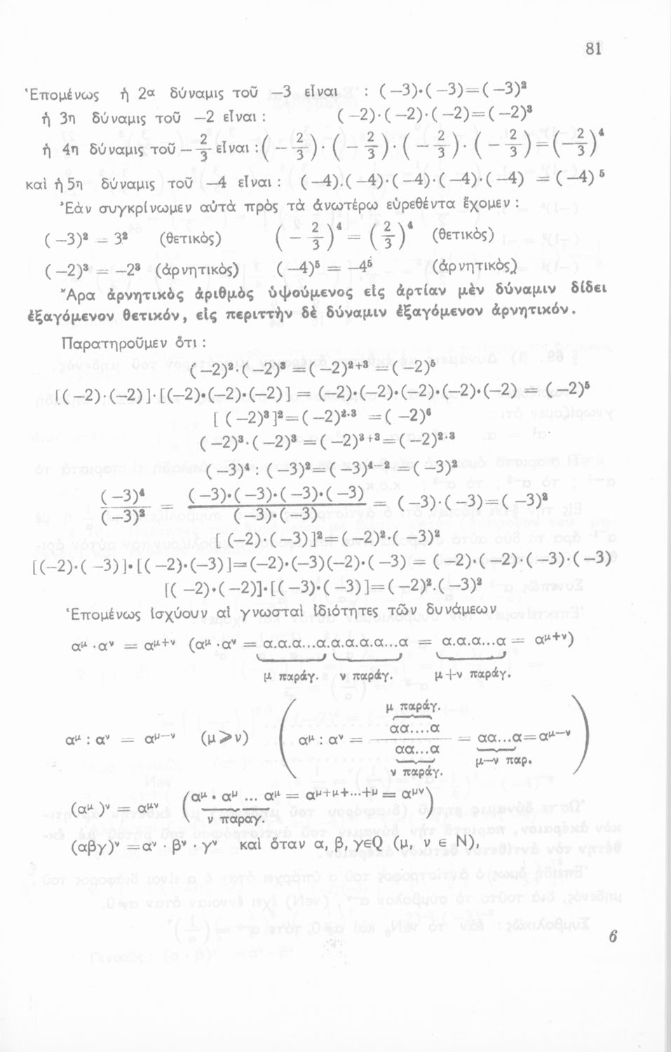
Σχολικό Εγχειρίδιο Μαθηματικών Β' Γυμνασίου που περιλαμβάνει αριθμητική με έμφαση στα σύνολα, τις μεθόδους υπολογισμού τόκων και επιτοκίων, και την μέθοδο των τριών, και γεωμετρία με έμφαση στα γεωμετρικά σχήματα και σώματα και τρόπους υπολογισμού τους.

  • ΚΕΦΑΛΑΙΟ I - ΠΕΡΙ ΣΥΝΟΛΩΝ

  • ΚΕΦΑΛΑΙΟ II - Α' ΤΟ ΣΥΝΟΛΟ ΤΩΝ ΡΗΤΩΝ ΠΡΑΓΜΑΤΙΚΩΝ ΑΡΙΘΜΩΝ

    • Β' ΠΡΑΞΕΙΣ ΣΤΟ ΣΥΝΟΛΟ ΤΩΝ ΡΗΤΩΝ ΑΡΙΘΜΩΝ
  • ΚΕΦΑΛΑΙΟ III - Α' ΕΞΙΣΩΣΕΙΣ - ΠΡΟΒΛΗΜΑΤΑ ΕΞΙΣΩΣΕΩΝ - ΑΝΙΣΩΣΕΙΣ

    • Β' ΣΥΝΑΡΤΗΣΕΙΣ - ΓΡΑΦΙΚΗ ΕΠΙΛΥΣΗ ΤΗΣ αχ + β = 0 ΚΑΙ αχ + β > 0
  • ΚΕΦΑΛΑΙΟ IV

    • A' ΛΟΓΟΙ - ΜΕΓΕΘΗ ΕΥΘΕΩΣ ΚΑΙ ΑΝΤΙΣΤΡΟΦΩΣ ΑΝΑΛΟΓΑ - ΑΝΑΛΟΓΙΕΣ
    • Β' ΕΦΑΡΜΟΓΕΣ ΣΤΗΝ ΛΥΣΗ ΠΡΟΒΛΗΜΑΤΩΝ
  • ΠΕΡΙΕΧΟΜΕΝΑ ΓΕΩΜΕΤΡΙΑΣ

  • ΚΕΦΑΛΑΙΟ I. Α . ΕΓΓΕΓΡΑΜΜΕΝΗ ΓΩΝΙΑ

    • Β. ΕΥΘΕΙΕΣ ΣΥΝΤΡΕΧΟΥΣΕΣ ΣΕ ΤΡΙΓΩΝΟ
    • Γ. ΔΙΑΙΡΕΣΗ ΚΥΚΛΟΥ ΣΕ 2 ΚΑΙ 3, 2 ΙΣΑ ΤΟΞΑ - ΑΝΤΙΣΤΟΙΧΑ ΕΓΓΕΓΡΑΜΜΕΝΑ ΚΑΝΟΜΙΚΑ ΠΟΛΥΓΩΝΑ
  • ΚΕΦΑΛΑΙΟ II. Α. ΛΟΓΟΣ ΔΥΟ ΕΥΘΥΓΡΑΜΜΩΝ ΤΜΗΜΑΤΩΝ

    • Β. ΟΜΟΙΑ ΤΡΙΓΩΝΑ
    • Γ. ΟΜΟΙΑ ΠΟΛΥΓΩΝΑ
    • Δ. ΑΠΛΕΣ ΓΕΩΜΕΤΡΙΚΕΣ ΚΑΤΑΣΚΕΥΕΣ
  • ΚΕΦΑΛΑΙΟ III. A. ΕΜΒΑΔΑ ΕΥΘΥΓΡΑΜΜΩΝ ΣΧΗΜΑΤΩΝ

    • Β. ΠΥΘΑΓΟΡΕΙΟ ΘΕΩΡΗΜΑ
    • Γ. ΜΗΚΟΣ ΚΥΚΛΟΥ - ΕΜΒΑΔΟ ΚΥΚΛΟΥ
    • Δ. ΠΡΟΒΛΗΥΩΝΜΑΤΑ ΓΕΩΜΕΤΡΙΚΩΝ ΚΑΤΑΣΚΕΥΩΝ
  • ΚΕΦΑΛΑΙΟ IV. A. ΣΧΕΤΙΚΕΣ ΘΕΣΕΙΣ ΕΥΘΕΙΩΝ ΚΑΙ ΕΠΙΨΕΔΩΝ

    • Β. ΕΥΘΕΙΑ ΚΑΘΕΤΗ ΣΤΟ ΕΠΙΠΙΕΔΟ - ΚΑΘΕΤΟΤΗΤΑ ΕΠΙΠΕΔΩΝ
  • ΚΕΦΑΛΑΙΟ V - ΜΕΤΡΗΣΗ ΤΩΝ ΣΤΕΡΕΩΝ


TopΠΕΔΙΟ ΑΝΑΓΝΩΡΙΣΗΣ

Κωδικός αναγνώρισης: 01-40692

Τίτλος: Μαθηματικά Β΄ Γυμνασίου (αριθμητική και άλγεβρα, γεωμετρία)

Συγγραφέας: Γ. Γραφάκος, Κ. Διακάκης, Σ. Μαντζάρας

Μέγεθος και υπόστρωμα: Σχολικό εγχειρίδιο, 22εκ., μαλακό εξώφυλλο, 279 σελίδες. Σκίτσα (ασπρόμαυρα).

TopΠΕΔΙΟ ΠΕΡΙΕΧΟΜΕΝΟΥ

Βαθμίδα εκπαίδευσης: Δευτεροβάθμια

Τάξη: Β' Γυμνασίου

Μάθημα: Μαθηματικά

Γλώσσα: Απλή καθαρεύουσα

Παρουσίαση περιεχομένου: Σχολικό Εγχειρίδιο Μαθηματικών Β' Γυμνασίου που περιλαμβάνει αριθμητική με έμφαση στα σύνολα, τις μεθόδους υπολογισμού τόκων και επιτοκίων, και την μέθοδο των τριών, και γεωμετρία με έμφαση στα γεωμετρικά σχήματα και σώματα και τρόπους υπολογισμού τους.

TopΠΕΔΙΟ ΠΛΗΡΟΦΟΡΙΩΝ ΕΚΔΟΣΗΣ

Εκδότης: Οργανισμός Εκδόσεως Διδακτικών Βιβλίων

Έτος έκδοσης: 1974

Τόπος έκδοσης: Αθήνα

Έκδοση:

Υπουργική απόφαση / Σύμβαση: 2404/18-3-1974

Έτος έγκρισης: 1974

TopΠΕΔΙΟ ΠΑΡΑΤΗΡΗΣΕΩΝ

Εντοπισμός πρωτοτύπου: Ινστιτούτο Εκπαιδευτικής Πολιτικής

Κωδικός βιβλιοθήκης: 40692

TopΕΥΡΕΤΗΡΙΟ ΘΕΜΑΤΙΚΩΝ ΟΡΩΝ

Σχετιζόμενα πρόσωπα:

Σχετιζόμενοι όροι:


282 εγγραφές [61 - 80]
Σελίδα #061
Σελίδα #062
Σελίδα #063
Σελίδα #064
Σελίδα #065
Σελίδα #066
Σελίδα #067
Σελίδα #068
Σελίδα #069
Σελίδα #070
Σελίδα #071
Σελίδα #072
Σελίδα #073
Σελίδα #074
Σελίδα #075
Σελίδα #076
Σελίδα #077
Σελίδα #078
Σελίδα #079
Σελίδα #080
Σελίδα #081
Σελίδα #082
Σελίδα #083
Σελίδα #084
[Σχολικό Εγχειρίδιο]
Γ. Γραφάκος, Κ. Διακάκης, Σ. Μαντζάρας
Τάξη:  Β' Γυμνασίου
Μάθημα:  Μαθηματικά
Σχολικό Εγχειρίδιο Μαθηματικών Β' Γυμνασίου που περιλαμβάνει αριθμητική με έμφαση στα σύνολα, τις μεθόδους υπολογισμού τόκων και επιτοκίων, και την μέθοδο των τριών, και γεωμετρία με έμφαση στα γεωμετρικά ...
[Σχολικό Εγχειρίδιο]
Γ. Γραφάκος, Κ. Διακάκης, Σ. Μαντζάρας
Τάξη:  Β' Γυμνασίου
Μάθημα:  Μαθηματικά
Σχολικό Εγχειρίδιο Μαθηματικών Β' Γυμνασίου που περιλαμβάνει αριθμητική με έμφαση στα σύνολα, τις μεθόδους υπολογισμού τόκων και επιτοκίων, και την μέθοδο των τριών, και γεωμετρία με έμφαση στα γεωμετρικά ...
[Σχολικό Εγχειρίδιο]
Γ. Γραφάκος, Κ. Διακάκης, Σ. Μαντζάρας
Τάξη:  Β' Γυμνασίου
Μάθημα:  Μαθηματικά
Σχολικό Εγχειρίδιο Μαθηματικών Β' Γυμνασίου που περιλαμβάνει αριθμητική με έμφαση στα σύνολα, τις μεθόδους υπολογισμού τόκων και επιτοκίων, και την μέθοδο των τριών, και γεωμετρία με έμφαση στα γεωμετρικά ...
[Σχολικό Εγχειρίδιο]
Γ. Γραφάκος, Κ. Διακάκης, Σ. Μαντζάρας
Τάξη:  Β' Γυμνασίου
Μάθημα:  Μαθηματικά
Σχολικό Εγχειρίδιο Μαθηματικών Β' Γυμνασίου που περιλαμβάνει αριθμητική με έμφαση στα σύνολα, τις μεθόδους υπολογισμού τόκων και επιτοκίων, και την μέθοδο των τριών, και γεωμετρία με έμφαση στα γεωμετρικά ...
[Σχολικό Εγχειρίδιο]
Δ. Παπαμιχαήλ, Σ. Μπαλής, Χρ. Γιαννίκος, Δ. Νοταράς, Κ. Σολδάτος
Τάξη:  Β' Γυμνασίου
Μάθημα:  Μαθηματικά
Σχολικό εγχειρίδιο Μαθηματικών Β΄ Γυμνασίου που περιλαμβάνει Άλγεβρα, Γεωμετρία και Τριγωνομετρία.
[Σχολικό Εγχειρίδιο]
Δ. Παπαμιχαήλ, Σ. Μπαλής, Χρ. Γιαννίκος, Δ. Νοταράς, Κ. Σολδάτος
Τάξη:  Β' Γυμνασίου
Μάθημα:  Μαθηματικά
Σχολικό εγχειρίδιο Μαθηματικών Β΄ Γυμνασίου που περιλαμβάνει Άλγεβρα, Γεωμετρία και Τριγωνομετρία.
[Σχολικό Εγχειρίδιο]
Δ. Παπαμιχαήλ, Σ. Μπαλής, Χρ. Γιαννίκος, Δ. Νοταράς, Κ. Σολδάτος
Τάξη:  Β' Γυμνασίου
Μάθημα:  Μαθηματικά
Σχολικό εγχειρίδιο Μαθηματικών Β΄ Γυμνασίου που περιλαμβάνει Άλγεβρα, Γεωμετρία και Τριγωνομετρία.
[Σχολικό Εγχειρίδιο]
Γ. Γραφάκος, Κ. Διακάκης, Σ. Μαντζάρας
Τάξη:  Β' Γυμνασίου
Μάθημα:  Μαθηματικά
Σχολικό Εγχειρίδιο Μαθηματικών Β' Γυμνασίου που περιλαμβάνει αριθμητική με έμφαση στα σύνολα, τις μεθόδους υπολογισμού τόκων και επιτοκίων, και την μέθοδο των τριών, και γεωμετρία με έμφαση στα γεωμετρικά ...
[Σχολικό Εγχειρίδιο]
Γ. Γραφάκος, Κ. Διακάκης, Σ. Μαντζάρας
Τάξη:  Β' Γυμνασίου
Μάθημα:  Μαθηματικά
Σχολικό Εγχειρίδιο Μαθηματικών Β' Γυμνασίου που περιλαμβάνει αριθμητική με έμφαση στα σύνολα, τις μεθόδους υπολογισμού τόκων και επιτοκίων, και την μέθοδο των τριών, και γεωμετρία με έμφαση στα γεωμετρικά ...
[Σχολικό Εγχειρίδιο]
Γ. Γραφάκος, Κ. Διακάκης, Σ. Μαντζάρας
Τάξη:  Β' Γυμνασίου
Μάθημα:  Μαθηματικά
Σχολικό Εγχειρίδιο Μαθηματικών Β' Γυμνασίου που περιλαμβάνει αριθμητική με έμφαση στα σύνολα, τις μεθόδους υπολογισμού τόκων και επιτοκίων, και την μέθοδο των τριών, και γεωμετρία με έμφαση στα γεωμετρικά ...