QR Code
01-40692
Γ. Γραφάκος, Κ. Διακάκης, Σ. Μαντζάρας

Μαθηματικά Β΄ Γυμνασίου (αριθμητική και άλγεβρα, γεωμετρία)
[1974, 5η Έκδοση]

Σχολικό Εγχειρίδιο Μαθηματικών Β' Γυμνασίου που περιλαμβάνει αριθμητική με έμφαση στα σύνολα, τις μεθόδους υπολογισμού τόκων και επιτοκίων, και την μέθοδο των τριών, και γεωμετρία με έμφαση στα γεωμετρικά σχήματα και σώματα και τρόπους υπολογισμού τους.

  • ΚΕΦΑΛΑΙΟ I - ΠΕΡΙ ΣΥΝΟΛΩΝ

  • ΚΕΦΑΛΑΙΟ II - Α' ΤΟ ΣΥΝΟΛΟ ΤΩΝ ΡΗΤΩΝ ΠΡΑΓΜΑΤΙΚΩΝ ΑΡΙΘΜΩΝ

    • Β' ΠΡΑΞΕΙΣ ΣΤΟ ΣΥΝΟΛΟ ΤΩΝ ΡΗΤΩΝ ΑΡΙΘΜΩΝ
  • ΚΕΦΑΛΑΙΟ III - Α' ΕΞΙΣΩΣΕΙΣ - ΠΡΟΒΛΗΜΑΤΑ ΕΞΙΣΩΣΕΩΝ - ΑΝΙΣΩΣΕΙΣ

    • Β' ΣΥΝΑΡΤΗΣΕΙΣ - ΓΡΑΦΙΚΗ ΕΠΙΛΥΣΗ ΤΗΣ αχ + β = 0 ΚΑΙ αχ + β > 0
  • ΚΕΦΑΛΑΙΟ IV

    • A' ΛΟΓΟΙ - ΜΕΓΕΘΗ ΕΥΘΕΩΣ ΚΑΙ ΑΝΤΙΣΤΡΟΦΩΣ ΑΝΑΛΟΓΑ - ΑΝΑΛΟΓΙΕΣ
    • Β' ΕΦΑΡΜΟΓΕΣ ΣΤΗΝ ΛΥΣΗ ΠΡΟΒΛΗΜΑΤΩΝ
  • ΠΕΡΙΕΧΟΜΕΝΑ ΓΕΩΜΕΤΡΙΑΣ

  • ΚΕΦΑΛΑΙΟ I. Α . ΕΓΓΕΓΡΑΜΜΕΝΗ ΓΩΝΙΑ

    • Β. ΕΥΘΕΙΕΣ ΣΥΝΤΡΕΧΟΥΣΕΣ ΣΕ ΤΡΙΓΩΝΟ
    • Γ. ΔΙΑΙΡΕΣΗ ΚΥΚΛΟΥ ΣΕ 2 ΚΑΙ 3, 2 ΙΣΑ ΤΟΞΑ - ΑΝΤΙΣΤΟΙΧΑ ΕΓΓΕΓΡΑΜΜΕΝΑ ΚΑΝΟΜΙΚΑ ΠΟΛΥΓΩΝΑ
  • ΚΕΦΑΛΑΙΟ II. Α. ΛΟΓΟΣ ΔΥΟ ΕΥΘΥΓΡΑΜΜΩΝ ΤΜΗΜΑΤΩΝ

    • Β. ΟΜΟΙΑ ΤΡΙΓΩΝΑ
    • Γ. ΟΜΟΙΑ ΠΟΛΥΓΩΝΑ
    • Δ. ΑΠΛΕΣ ΓΕΩΜΕΤΡΙΚΕΣ ΚΑΤΑΣΚΕΥΕΣ
  • ΚΕΦΑΛΑΙΟ III. A. ΕΜΒΑΔΑ ΕΥΘΥΓΡΑΜΜΩΝ ΣΧΗΜΑΤΩΝ

    • Β. ΠΥΘΑΓΟΡΕΙΟ ΘΕΩΡΗΜΑ
    • Γ. ΜΗΚΟΣ ΚΥΚΛΟΥ - ΕΜΒΑΔΟ ΚΥΚΛΟΥ
    • Δ. ΠΡΟΒΛΗΥΩΝΜΑΤΑ ΓΕΩΜΕΤΡΙΚΩΝ ΚΑΤΑΣΚΕΥΩΝ
  • ΚΕΦΑΛΑΙΟ IV. A. ΣΧΕΤΙΚΕΣ ΘΕΣΕΙΣ ΕΥΘΕΙΩΝ ΚΑΙ ΕΠΙΨΕΔΩΝ

    • Β. ΕΥΘΕΙΑ ΚΑΘΕΤΗ ΣΤΟ ΕΠΙΠΙΕΔΟ - ΚΑΘΕΤΟΤΗΤΑ ΕΠΙΠΕΔΩΝ
  • ΚΕΦΑΛΑΙΟ V - ΜΕΤΡΗΣΗ ΤΩΝ ΣΤΕΡΕΩΝ


TopΠΕΔΙΟ ΑΝΑΓΝΩΡΙΣΗΣ

Κωδικός αναγνώρισης: 01-40692

Τίτλος: Μαθηματικά Β΄ Γυμνασίου (αριθμητική και άλγεβρα, γεωμετρία)

Συγγραφέας: Γ. Γραφάκος, Κ. Διακάκης, Σ. Μαντζάρας

Μέγεθος και υπόστρωμα: Σχολικό εγχειρίδιο, 22εκ., μαλακό εξώφυλλο, 279 σελίδες. Σκίτσα (ασπρόμαυρα).

TopΠΕΔΙΟ ΠΕΡΙΕΧΟΜΕΝΟΥ

Βαθμίδα εκπαίδευσης: Δευτεροβάθμια

Τάξη: Β' Γυμνασίου

Μάθημα: Μαθηματικά

Γλώσσα: Απλή καθαρεύουσα

Παρουσίαση περιεχομένου: Σχολικό Εγχειρίδιο Μαθηματικών Β' Γυμνασίου που περιλαμβάνει αριθμητική με έμφαση στα σύνολα, τις μεθόδους υπολογισμού τόκων και επιτοκίων, και την μέθοδο των τριών, και γεωμετρία με έμφαση στα γεωμετρικά σχήματα και σώματα και τρόπους υπολογισμού τους.

TopΠΕΔΙΟ ΠΛΗΡΟΦΟΡΙΩΝ ΕΚΔΟΣΗΣ

Εκδότης: Οργανισμός Εκδόσεως Διδακτικών Βιβλίων

Έτος έκδοσης: 1974

Τόπος έκδοσης: Αθήνα

Έκδοση:

Υπουργική απόφαση / Σύμβαση: 2404/18-3-1974

Έτος έγκρισης: 1974

TopΠΕΔΙΟ ΠΑΡΑΤΗΡΗΣΕΩΝ

Εντοπισμός πρωτοτύπου: Ινστιτούτο Εκπαιδευτικής Πολιτικής

Κωδικός βιβλιοθήκης: 40692

TopΕΥΡΕΤΗΡΙΟ ΘΕΜΑΤΙΚΩΝ ΟΡΩΝ

Σχετιζόμενα πρόσωπα:

Σχετιζόμενοι όροι:


282 εγγραφές [81 - 100]
Σελίδα #081
Σελίδα #082
Σελίδα #083
Σελίδα #084
Σελίδα #085
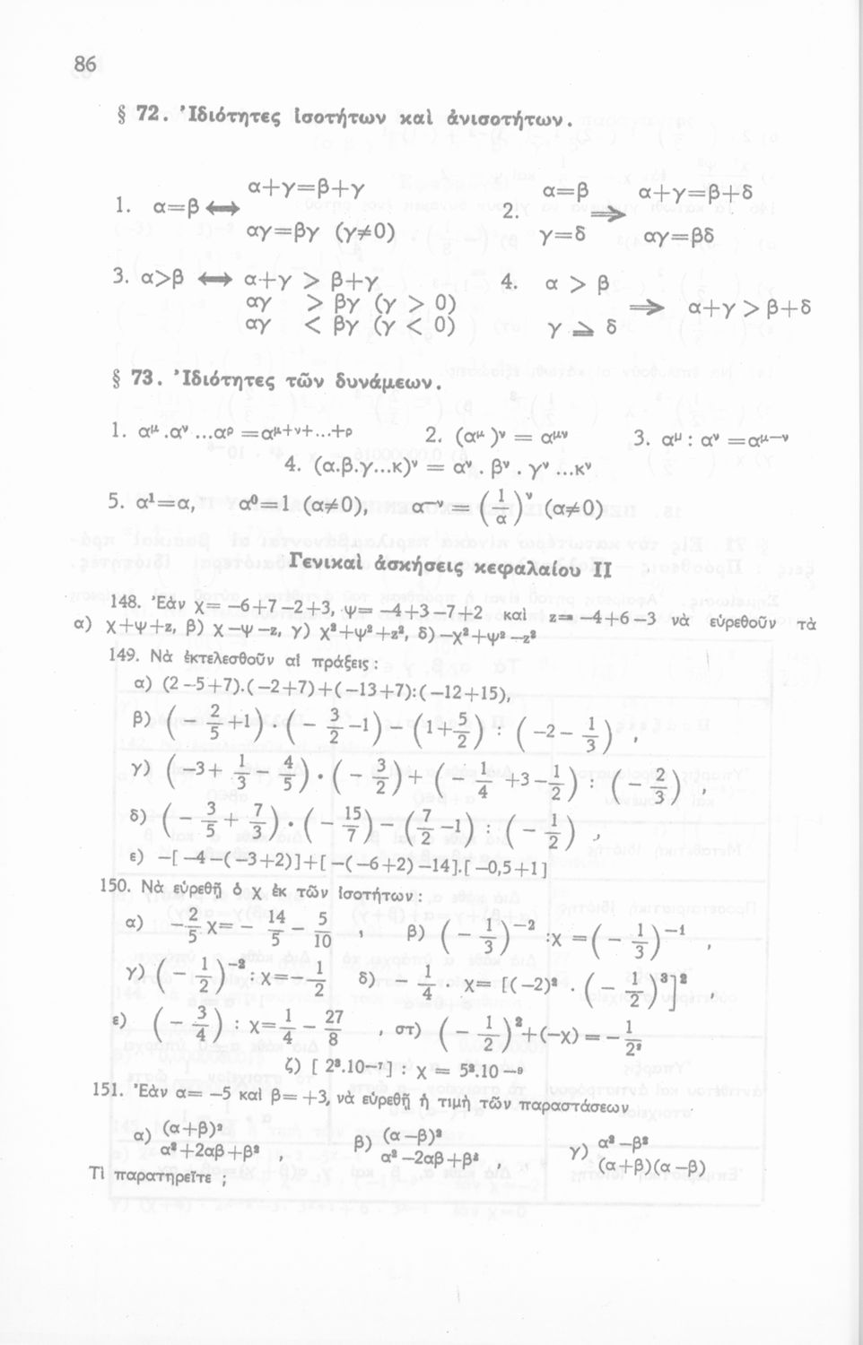
Σελίδα #086
Σελίδα #087
Σελίδα #088
Σελίδα #089
Σελίδα #090
Σελίδα #091
Σελίδα #092
Σελίδα #093
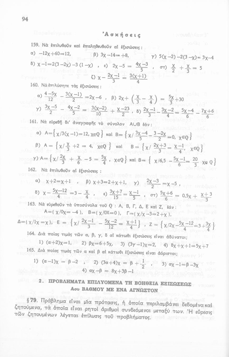
Σελίδα #094
Σελίδα #095
Σελίδα #096
Σελίδα #097
Σελίδα #098
Σελίδα #099
Σελίδα #100
Σελίδα #101
Σελίδα #102
Σελίδα #103
Σελίδα #104
[Σχολικό Εγχειρίδιο]
Γ. Γραφάκος, Κ. Διακάκης, Σ. Μαντζάρας
Τάξη:  Β' Γυμνασίου
Μάθημα:  Μαθηματικά
Σχολικό Εγχειρίδιο Μαθηματικών Β' Γυμνασίου που περιλαμβάνει αριθμητική με έμφαση στα σύνολα, τις μεθόδους υπολογισμού τόκων και επιτοκίων, και την μέθοδο των τριών, και γεωμετρία με έμφαση στα γεωμετρικά ...
[Σχολικό Εγχειρίδιο]
Γ. Γραφάκος, Κ. Διακάκης, Σ. Μαντζάρας
Τάξη:  Β' Γυμνασίου
Μάθημα:  Μαθηματικά
Σχολικό Εγχειρίδιο Μαθηματικών Β' Γυμνασίου που περιλαμβάνει αριθμητική με έμφαση στα σύνολα, τις μεθόδους υπολογισμού τόκων και επιτοκίων, και την μέθοδο των τριών, και γεωμετρία με έμφαση στα γεωμετρικά ...
[Σχολικό Εγχειρίδιο]
Γ. Γραφάκος, Κ. Διακάκης, Σ. Μαντζάρας
Τάξη:  Β' Γυμνασίου
Μάθημα:  Μαθηματικά
Σχολικό Εγχειρίδιο Μαθηματικών Β' Γυμνασίου που περιλαμβάνει αριθμητική με έμφαση στα σύνολα, τις μεθόδους υπολογισμού τόκων και επιτοκίων, και την μέθοδο των τριών, και γεωμετρία με έμφαση στα γεωμετρικά ...
[Σχολικό Εγχειρίδιο]
Γ. Γραφάκος, Κ. Διακάκης, Σ. Μαντζάρας
Τάξη:  Β' Γυμνασίου
Μάθημα:  Μαθηματικά
Σχολικό Εγχειρίδιο Μαθηματικών Β' Γυμνασίου που περιλαμβάνει αριθμητική με έμφαση στα σύνολα, τις μεθόδους υπολογισμού τόκων και επιτοκίων, και την μέθοδο των τριών, και γεωμετρία με έμφαση στα γεωμετρικά ...
[Σχολικό Εγχειρίδιο]
Δ. Παπαμιχαήλ, Σ. Μπαλής, Χρ. Γιαννίκος, Δ. Νοταράς, Κ. Σολδάτος
Τάξη:  Β' Γυμνασίου
Μάθημα:  Μαθηματικά
Σχολικό εγχειρίδιο Μαθηματικών Β΄ Γυμνασίου που περιλαμβάνει Άλγεβρα, Γεωμετρία και Τριγωνομετρία.
[Σχολικό Εγχειρίδιο]
Δ. Παπαμιχαήλ, Σ. Μπαλής, Χρ. Γιαννίκος, Δ. Νοταράς, Κ. Σολδάτος
Τάξη:  Β' Γυμνασίου
Μάθημα:  Μαθηματικά
Σχολικό εγχειρίδιο Μαθηματικών Β΄ Γυμνασίου που περιλαμβάνει Άλγεβρα, Γεωμετρία και Τριγωνομετρία.
[Σχολικό Εγχειρίδιο]
Δ. Παπαμιχαήλ, Σ. Μπαλής, Χρ. Γιαννίκος, Δ. Νοταράς, Κ. Σολδάτος
Τάξη:  Β' Γυμνασίου
Μάθημα:  Μαθηματικά
Σχολικό εγχειρίδιο Μαθηματικών Β΄ Γυμνασίου που περιλαμβάνει Άλγεβρα, Γεωμετρία και Τριγωνομετρία.
[Σχολικό Εγχειρίδιο]
Γ. Γραφάκος, Κ. Διακάκης, Σ. Μαντζάρας
Τάξη:  Β' Γυμνασίου
Μάθημα:  Μαθηματικά
Σχολικό Εγχειρίδιο Μαθηματικών Β' Γυμνασίου που περιλαμβάνει αριθμητική με έμφαση στα σύνολα, τις μεθόδους υπολογισμού τόκων και επιτοκίων, και την μέθοδο των τριών, και γεωμετρία με έμφαση στα γεωμετρικά ...
[Σχολικό Εγχειρίδιο]
Γ. Γραφάκος, Κ. Διακάκης, Σ. Μαντζάρας
Τάξη:  Β' Γυμνασίου
Μάθημα:  Μαθηματικά
Σχολικό Εγχειρίδιο Μαθηματικών Β' Γυμνασίου που περιλαμβάνει αριθμητική με έμφαση στα σύνολα, τις μεθόδους υπολογισμού τόκων και επιτοκίων, και την μέθοδο των τριών, και γεωμετρία με έμφαση στα γεωμετρικά ...
[Σχολικό Εγχειρίδιο]
Γ. Γραφάκος, Κ. Διακάκης, Σ. Μαντζάρας
Τάξη:  Β' Γυμνασίου
Μάθημα:  Μαθηματικά
Σχολικό Εγχειρίδιο Μαθηματικών Β' Γυμνασίου που περιλαμβάνει αριθμητική με έμφαση στα σύνολα, τις μεθόδους υπολογισμού τόκων και επιτοκίων, και την μέθοδο των τριών, και γεωμετρία με έμφαση στα γεωμετρικά ...