QR Code
01-40770
Ε. Παπατριανταφύλλου

Μαθηματικά Γ΄ Λυκείου θετικής κατευθύνσεως τριγωνομετρία
[1978, 9η Έκδοση]

Σχολικό εγχειρίδιο Τριγωνομετρίας Γ΄ Λυκείου χωρισμένο σε ορισμούς, θεωρία, παραδείγματα και ασκήσεις.


TopΠΕΔΙΟ ΑΝΑΓΝΩΡΙΣΗΣ

Κωδικός αναγνώρισης: 01-40770

Τίτλος: Μαθηματικά Γ΄ Λυκείου θετικής κατευθύνσεως τριγωνομετρία

Συγγραφέας: Ε. Παπατριανταφύλλου

Μέγεθος και υπόστρωμα: Σχολικό εγχειρίδιο, 23εκ., μαλακό εξώφυλλο, 123 σελίδες. Σκίτσα (ασπρόμαυρα).

TopΠΕΔΙΟ ΠΕΡΙΕΧΟΜΕΝΟΥ

Βαθμίδα εκπαίδευσης: Δευτεροβάθμια

Τάξη: Γ' Λυκείου

Μάθημα: Μαθηματικά

Γλώσσα: Δημοτική

Παρουσίαση περιεχομένου: Σχολικό εγχειρίδιο Τριγωνομετρίας Γ΄ Λυκείου χωρισμένο σε ορισμούς, θεωρία, παραδείγματα και ασκήσεις.

TopΠΕΔΙΟ ΠΛΗΡΟΦΟΡΙΩΝ ΕΚΔΟΣΗΣ

Εκδότης: Οργανισμός Εκδόσεως Διδακτικών Βιβλίων

Έτος έκδοσης: 1978

Τόπος έκδοσης: Αθήνα

Έκδοση:

Υπουργική απόφαση / Σύμβαση: 3036/14-3-1978

Έτος έγκρισης: 1978

TopΠΕΔΙΟ ΠΑΡΑΤΗΡΗΣΕΩΝ

Εντοπισμός πρωτοτύπου: Ινστιτούτο Εκπαιδευτικής Πολιτικής

Κωδικός βιβλιοθήκης: 40770

TopΕΥΡΕΤΗΡΙΟ ΘΕΜΑΤΙΚΩΝ ΟΡΩΝ

Σχετιζόμενα πρόσωπα:

Σχετιζόμενοι όροι:


132 εγγραφές [61 - 80]
Σελίδα #059
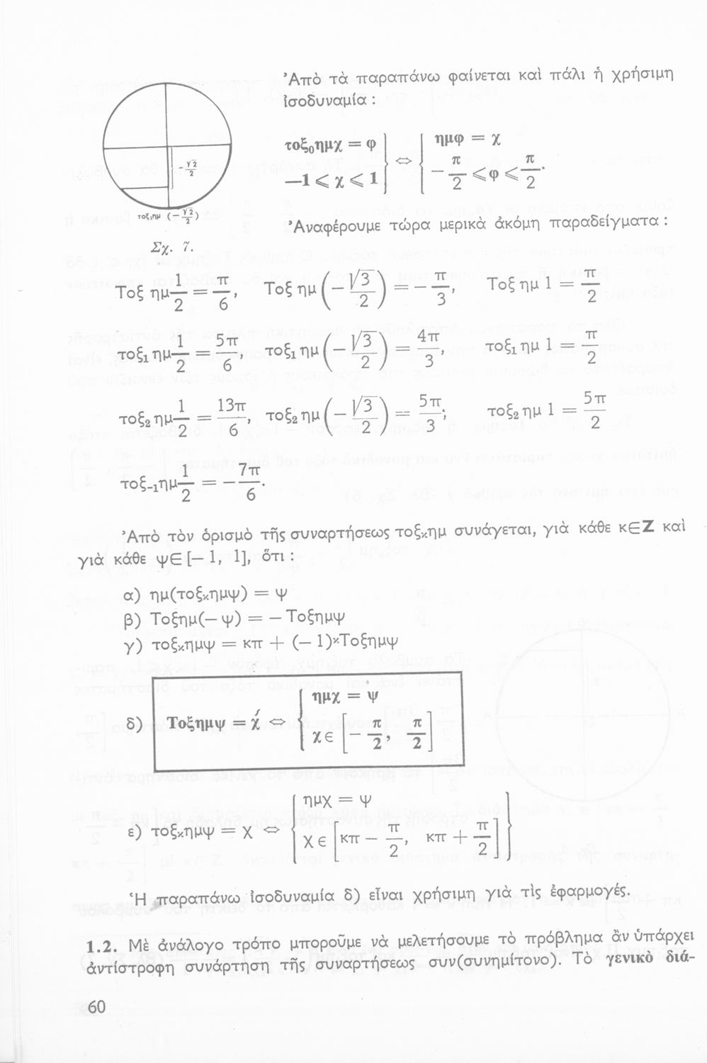
Σελίδα #060
Σελίδα #061
Σελίδα #062
Σελίδα #063
Σελίδα #064
Σελίδα #065
Σελίδα #066
Σελίδα #067
Σελίδα #068
Σελίδα #069
Σελίδα #070
Σελίδα #071
Σελίδα #072
Σελίδα #073
Σελίδα #074
Σελίδα #075
Σελίδα #076
Σελίδα #077
Σελίδα #078
Σελίδα #079
Σελίδα #080
Σελίδα #081
Σελίδα #082
[Σχολικό Εγχειρίδιο]
Ε. Παπατριανταφύλλου
Τάξη:  Γ' Λυκείου
Μάθημα:  Μαθηματικά
Σχολικό εγχειρίδιο Τριγωνομετρίας Γ΄ Λυκείου χωρισμένο σε ορισμούς, θεωρία, παραδείγματα και ασκήσεις.
[Σχολικό Εγχειρίδιο]
Σπ. Γ. Κανέλλος
Τάξη:  Β' Λυκείου / Γ' Λυκείου
Μάθημα:  Μαθηματικά
Σχολικό εγχειρίδιο Γεωμετρίας για τις Β΄ και Γ΄ Λυκείου που περιλαμβάνει αξιώματα, θεωρήματα και κατασκευές και είναι χωρισμένο σε Γεωμετρία Επιπέδου και Γεωμετρία Χώρου. Το εγχειρίδιο μεταγλωττίστηκε από τον ...
[Σχολικό Εγχειρίδιο]
Ιωάν. Πανάκης
Τάξη:  Ε' Γυμνασίου
Μάθημα:  Μαθηματικά
Σχολικό εγχειρίδιο Μαθηματικών για την Ε΄ Γυμνασίου, χωρισμένο σε προβλήματα, εφαρμογές και ασκήσεις, που εστιάζει στην Τριγωνομετρία. Φέρει το σύμβολο της δικτατορίας.
[Σχολικό Εγχειρίδιο]
Σπ. Γ. Κανέλλος
Τάξη:  Β' Λυκείου / Γ' Λυκείου
Μάθημα:  Μαθηματικά
Σχολικό εγχειρίδιο Γεωμετρίας για τις Β΄ και Γ΄ Λυκείου που περιλαμβάνει αξιώματα, θεωρήματα και κατασκευές και είναι χωρισμένο σε Γεωμετρία Επιπέδου και Γεωμετρία Χώρου. Το εγχειρίδιο μεταγλωττίστηκε από τον ...
[Σχολικό Εγχειρίδιο]
Βασίλειος Στάικος
Τάξη:  Γ' Λυκείου
Μάθημα:  Μαθηματικά
Σχετιζόμενοι όροι:  σύνολα, συναρτήσεις, ολοκληρώματα
Σχολικό εγχειρίδιο Μαθηματικών Γ΄ Λυκείου που είναι χωρισμένο σε θεωρήματα, παραδείγματα και ασκήσεις και περιλαμβάνει στοιχεία Ανώτερης Άλγεβρας και Μαθηματικής Ανάλυσης.
[Σχολικό Εγχειρίδιο]
Βασίλειος Στάικος
Τάξη:  Γ' Λυκείου
Μάθημα:  Μαθηματικά
Σχετιζόμενοι όροι:  σύνολα, συναρτήσεις, ολοκληρώματα
Σχολικό εγχειρίδιο Μαθηματικών Γ΄ Λυκείου που είναι χωρισμένο σε θεωρήματα, παραδείγματα και ασκήσεις και περιλαμβάνει στοιχεία Ανώτερης Άλγεβρας και Μαθηματικής Ανάλυσης.
[Σχολικό Εγχειρίδιο]
Ιωάν. Πανάκης
Τάξη:  Ε' Γυμνασίου
Μάθημα:  Μαθηματικά
Σχολικό εγχειρίδιο Μαθηματικών για την Ε΄ Γυμνασίου χωρισμένο σε προβλήματα, εφαρμογές και ασκήσεις που εστιάζει στην Τριγωνομετρία.
[Σχολικό Εγχειρίδιο]
Ε. Παπατριανταφύλλου
Τάξη:  Γ' Λυκείου
Μάθημα:  Μαθηματικά
Σχολικό εγχειρίδιο της ΣΤ΄ Γυμνασίου για το μάθημα των Μαθηματικών. Περιέχει θεωρία, ασκήσεις λυμένες και παραδείγματα της Τριγωνομετρίας. Απευθυνόταν στους μαθητές της θετικής κατεύθυνσης.
[Σχολικό Εγχειρίδιο]
Ε. Παπατριανταφύλλου
Τάξη:  ΣΤ' Γυμνασίου
Μάθημα:  Μαθηματικά
Σχολικό εγχειρίδιο Τριγωνομετρίας ΣΤ΄ Γυμνασίου χωρισμένο σε ορισμούς, θεωρία, παραδείγματα και ασκήσεις.
[Σχολικό Εγχειρίδιο]
Θ. Βαβαλέτσκος, Γ. Μπούσγος
Τάξη:  Δ' Γυμνασίου
Μάθημα:  Μαθηματικά
Σχετιζόμενοι όροι:  εξισώσεις, συναρτήσεις, ανισώσεις
Σχολικό εγχειρίδιο Μαθηματικών Δ΄ Γυμνασίου χωρισμένο σε ορισμούς, παραδείγματα και ασκήσεις. Περιέχει στοιχεία Περιγραφικής Στατιστικής και Τριγωνομετρίας. Φέρει το σύμβολο της δικτατορίας.