QR Code
03-20557183
Νείλος Σακελλαρίου

Άλγεβρα Δ', Ε' και ΣΤ΄ Γυμνασίου
[1973, 15η Έκδοση]

Σχολικό εγχειρίδιο Μαθηματικών Δ', Ε' και ΣΤ΄ τάξεων του Γυμνασίου που παρουσιάζει τις βασικές έννοιες της Άλγεβρας, εστιάζει τις ιδιότητες των αριθμών και περιέχει ασκήσεις εξισώσεων, λογαρίθμων και παραγώγων.


TopΠΕΔΙΟ ΑΝΑΓΝΩΡΙΣΗΣ

Κωδικός αναγνώρισης: 03-20557183

Τίτλος: Άλγεβρα Δ', Ε' και ΣΤ΄ Γυμνασίου

Συγγραφέας: Νείλος Σακελλαρίου

Μέγεθος και υπόστρωμα: Σχολικό εγχειρίδιο, μαλακό εξώφυλλο, 360 σελίδες.

TopΠΕΔΙΟ ΠΕΡΙΕΧΟΜΕΝΟΥ

Βαθμίδα εκπαίδευσης: Δευτεροβάθμια

Τάξη: Δ' Γυμνασίου / Ε' Γυμνασίου / ΣΤ' Γυμνασίου

Μάθημα: Μαθηματικά

Γλώσσα: Απλή καθαρεύουσα

Παρουσίαση περιεχομένου: Σχολικό εγχειρίδιο Μαθηματικών Δ', Ε' και ΣΤ΄ τάξεων του Γυμνασίου που παρουσιάζει τις βασικές έννοιες της Άλγεβρας, εστιάζει τις ιδιότητες των αριθμών και περιέχει ασκήσεις εξισώσεων, λογαρίθμων και παραγώγων.

TopΠΕΔΙΟ ΠΛΗΡΟΦΟΡΙΩΝ ΕΚΔΟΣΗΣ

Εκδότης: Οργανισμός Εκδόσεως Διδακτικών Βιβλίων

Έτος έκδοσης: 1973

Τόπος έκδοσης: Αθήνα

Έκδοση: 15η

Υπουργική απόφαση / Σύμβαση: 2314/5-3-1973

Έτος έγκρισης: 1973

TopΠΕΔΙΟ ΠΑΡΑΤΗΡΗΣΕΩΝ

Εντοπισμός πρωτοτύπου: Βιβλιοθήκη της Βουλής των Ελλήνων

Κωδικός βιβλιοθήκης: 20557183

TopΕΥΡΕΤΗΡΙΟ ΘΕΜΑΤΙΚΩΝ ΟΡΩΝ

Σχετιζόμενα πρόσωπα:

Σχετιζόμενοι όροι:


362 εγγραφές [221 - 240]
Σελίδα #217
Σελίδα #218
Σελίδα #219
Σελίδα #220
Σελίδα #221
Σελίδα #222
Σελίδα #223
Σελίδα #224
Σελίδα #225
Σελίδα #226
Σελίδα #227
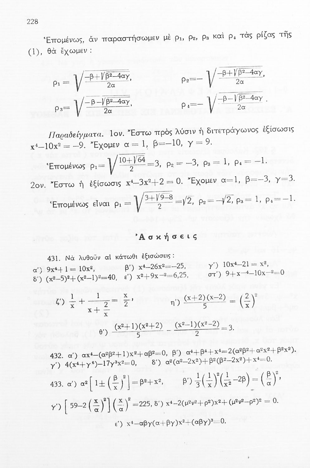
Σελίδα #228
Σελίδα #229
Σελίδα #230
Σελίδα #231
Σελίδα #232
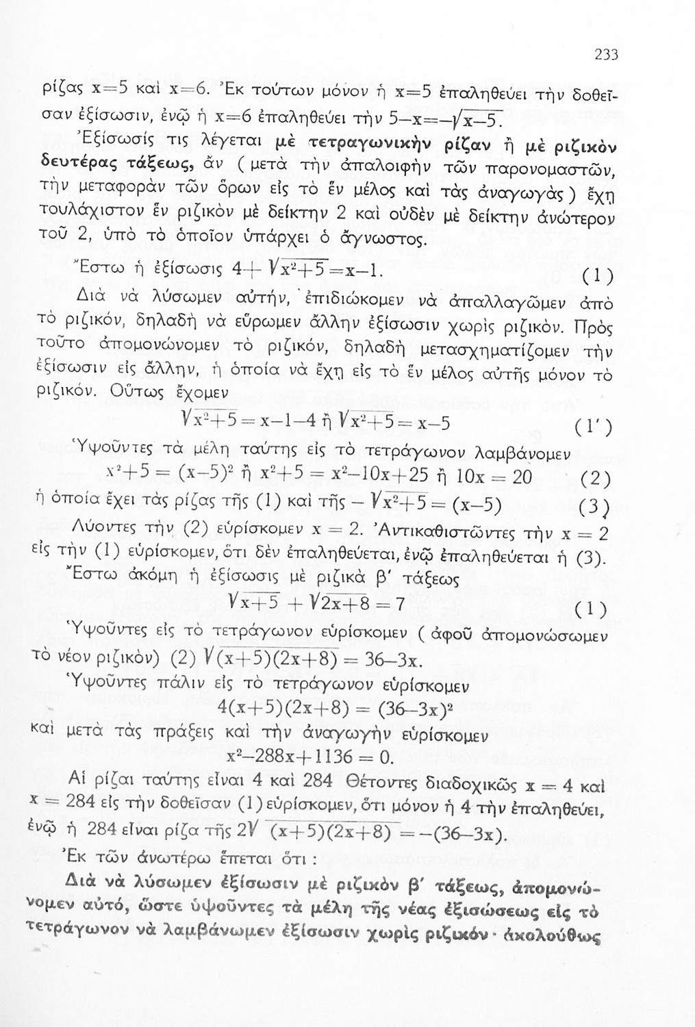
Σελίδα #233
Σελίδα #234
Σελίδα #235
Σελίδα #236
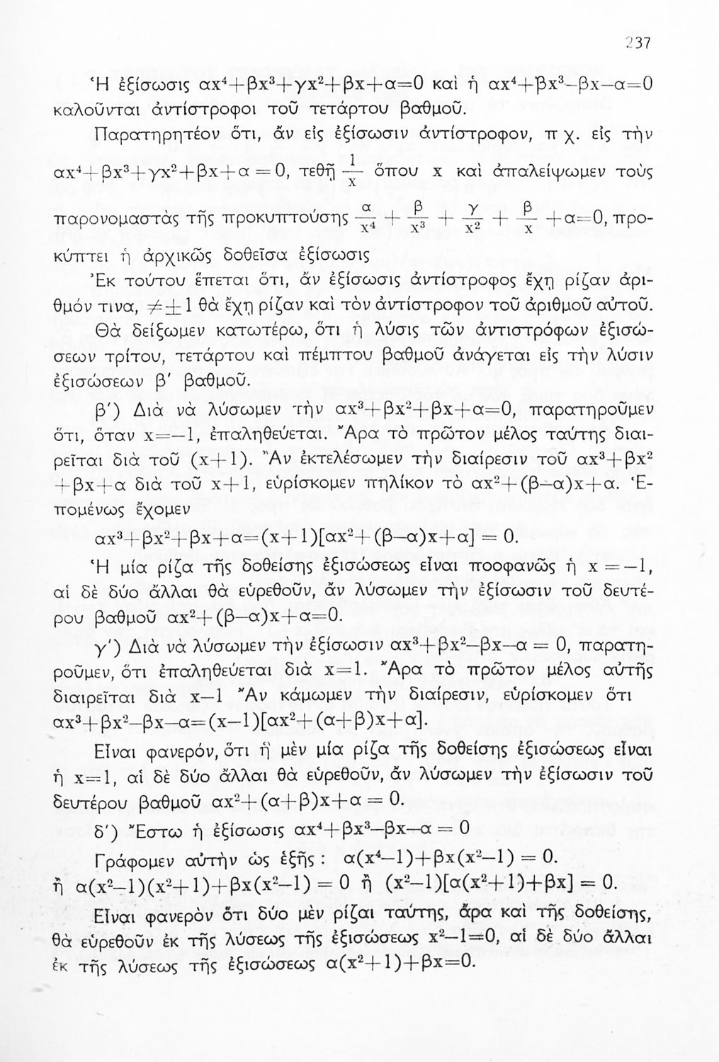
Σελίδα #237
Σελίδα #238
Σελίδα #239
Σελίδα #240
[Σχολικό Εγχειρίδιο]
Νείλος Σακελλαρίου
Τάξη:  Δ' Γυμνασίου / Ε' Γυμνασίου / ΣΤ' Γυμνασίου
Μάθημα:  Μαθηματικά
Σχολικό εγχειρίδιο Μαθηματικών Δ', Ε' και ΣΤ΄ τάξεων του Γυμνασίου που παρουσιάζει τις βασικές έννοιες της Άλγεβρας, εστιάζει τις ιδιότητες των αριθμών και περιέχει ασκήσεις εξισώσεων, λογαρίθμων και παραγώγων.
[Σχολικό Εγχειρίδιο]
Νείλος Σακελλαρίου
Τάξη:  Δ' Γυμνασίου / Ε' Γυμνασίου / ΣΤ' Γυμνασίου
Μάθημα:  Μαθηματικά
Σχολικό εγχειρίδιο Μαθηματικών Δ', Ε' και ΣΤ΄ τάξεων του Γυμνασίου που παρουσιάζει τις βασικές έννοιες της Άλγεβρας, εστιάζει τις ιδιότητες των αριθμών και περιέχει ασκήσεις εξισώσεων, λογαρίθμων και παραγώγων.
[Σχολικό Εγχειρίδιο]
Νείλος Σακελλαρίου
Τάξη:  Δ' Γυμνασίου / Ε' Γυμνασίου / ΣΤ' Γυμνασίου
Μάθημα:  Μαθηματικά
Σχολικό εγχειρίδιο Μαθηματικών Δ', Ε' και ΣΤ΄ τάξεων του Γυμνασίου που παρουσιάζει τις βασικές έννοιες της Άλγεβρας, εστιάζει τις ιδιότητες των αριθμών και περιέχει ασκήσεις εξισώσεων, λογαρίθμων και παραγώγων.
[Σχολικό Εγχειρίδιο]
Θουκυδίδης, Χρίστος Παπαναστασίου (σχόλια)
Τάξη:  Δ' Γυμνασίου / Ε' Γυμνασίου / ΣΤ' Γυμνασίου
Σχολικό εγχειρίδιο Αρχαίων Ελληνικών Δ΄, Ε΄ και ΣΤ΄ Γυμνασίου που περιέχει εισαγωγή στη ζωή και το έργο του Θουκυδίδη, αποσπάσματα από τα Πλαταιϊκά, τα Λεσβιακά και τον Επιτάφιο του Περικλή και ερμηνευτικές ...
[Σχολικό Εγχειρίδιο]
Θουκυδίδης, Χρισ. Παπαναστασίου (σχόλια)
Τάξη:  Δ' Γυμνασίου / Ε' Γυμνασίου / ΣΤ' Γυμνασίου
Σχολικό εγχειρίδιο Αρχαίων Ελληνικών Δ΄, Ε΄ και ΣΤ΄ Γυμνασίου που περιέχει εισαγωγή στη ζωή και το έργο του Θουκυδίδη, αποσπάσματα από τα Πλαταιϊκά, τα Λεσβιακά και τον Επιτάφιο του Περικλή και ερμηνευτικές ...
[Σχολικό Εγχειρίδιο]
Θουκυδίδης, Χρισ. Παπαναστασίου (σχόλια)
Τάξη:  Δ' Γυμνασίου / Ε' Γυμνασίου / ΣΤ' Γυμνασίου
Σχολικό εγχειρίδιο Αρχαίων Ελληνικών Δ΄, Ε΄ και ΣΤ΄ Γυμνασίου που περιέχει εισαγωγή στη ζωή και το έργο του Θουκυδίδη, αποσπάσματα από τα Πλαταιϊκά, τα Λεσβιακά και τον Επιτάφιο του Περικλή και ερμηνευτικές ...
[Σχολικό Εγχειρίδιο]
Θουκυδίδης, Χρισ. Παπαναστασίου (σχόλια)
Τάξη:  Δ' Γυμνασίου / Ε' Γυμνασίου / ΣΤ' Γυμνασίου
Σχολικό εγχειρίδιο Αρχαίων Ελληνικών Δ΄, Ε΄ και ΣΤ΄ Γυμνασίου που περιέχει αποσπάσματα από το έργο του Θουκυδίδη Ιστορία, ερμηνευτικά και πραγματολογικά σχόλια, και γραμματικές παρατηρήσεις. Φέρει το σύμβολο ...
[Σχολικό Εγχειρίδιο]
Θουκυδίδης, Χρ. Παπαναστασίου (σχόλια)
Τάξη:  Δ' Γυμνασίου / Ε' Γυμνασίου / ΣΤ' Γυμνασίου
Σχολικό εγχειρίδιο Αρχαίων Ελληνικών Δ΄, Ε΄ και ΣΤ΄ Γυμνασίου που περιέχει εισαγωγή στη ζωή και το έργο του Θουκυδίδη, αποσπάσματα από τα Πλαταιϊκά, τα Λεσβιακά και τον Επιτάφιο του Περικλή και ερμηνευτικές ...
[Σχολικό Εγχειρίδιο]
Θουκυδίδης, Χρ. Παπαναστασίου (σχόλια)
Τάξη:  Δ' Γυμνασίου / Ε' Γυμνασίου / ΣΤ' Γυμνασίου
Σχολικό εγχειρίδιο Αρχαίων Ελληνικών Δ΄, Ε΄ και ΣΤ΄ Γυμνασίου που περιέχει εισαγωγή στη ζωή και το έργο του Θουκυδίδη, αποσπάσματα από τα Πλαταιϊκά, τα Λεσβιακά και τον Επιτάφιο του Περικλή και ερμηνευτικές ...
[Σχολικό Εγχειρίδιο]
Αχιλλέας Τζάρτζανος
Τάξη:  Δ' Γυμνασίου / Ε' Γυμνασίου / ΣΤ' Γυμνασίου
Μάθημα:  Νέα Ελληνικά
Σχολικό εγχειρίδιο Λατινικών Δ΄, Ε΄ και ΣΤ΄ Γυμνασίου που περιλαμβάνει γραμματική και συντακτικό και είναι χωρισμένο σε φθογγολογικό, τυπολογικό και ετυμολογικό μέρος. Φέρει το σύμβολο της δικτατορίας.