QR Code
03-20557183
Νείλος Σακελλαρίου

Άλγεβρα Δ', Ε' και ΣΤ΄ Γυμνασίου
[1973, 15η Έκδοση]

Σχολικό εγχειρίδιο Μαθηματικών Δ', Ε' και ΣΤ΄ τάξεων του Γυμνασίου που παρουσιάζει τις βασικές έννοιες της Άλγεβρας, εστιάζει τις ιδιότητες των αριθμών και περιέχει ασκήσεις εξισώσεων, λογαρίθμων και παραγώγων.


TopΠΕΔΙΟ ΑΝΑΓΝΩΡΙΣΗΣ

Κωδικός αναγνώρισης: 03-20557183

Τίτλος: Άλγεβρα Δ', Ε' και ΣΤ΄ Γυμνασίου

Συγγραφέας: Νείλος Σακελλαρίου

Μέγεθος και υπόστρωμα: Σχολικό εγχειρίδιο, μαλακό εξώφυλλο, 360 σελίδες.

TopΠΕΔΙΟ ΠΕΡΙΕΧΟΜΕΝΟΥ

Βαθμίδα εκπαίδευσης: Δευτεροβάθμια

Τάξη: Δ' Γυμνασίου / Ε' Γυμνασίου / ΣΤ' Γυμνασίου

Μάθημα: Μαθηματικά

Γλώσσα: Απλή καθαρεύουσα

Παρουσίαση περιεχομένου: Σχολικό εγχειρίδιο Μαθηματικών Δ', Ε' και ΣΤ΄ τάξεων του Γυμνασίου που παρουσιάζει τις βασικές έννοιες της Άλγεβρας, εστιάζει τις ιδιότητες των αριθμών και περιέχει ασκήσεις εξισώσεων, λογαρίθμων και παραγώγων.

TopΠΕΔΙΟ ΠΛΗΡΟΦΟΡΙΩΝ ΕΚΔΟΣΗΣ

Εκδότης: Οργανισμός Εκδόσεως Διδακτικών Βιβλίων

Έτος έκδοσης: 1973

Τόπος έκδοσης: Αθήνα

Έκδοση: 15η

Υπουργική απόφαση / Σύμβαση: 2314/5-3-1973

Έτος έγκρισης: 1973

TopΠΕΔΙΟ ΠΑΡΑΤΗΡΗΣΕΩΝ

Εντοπισμός πρωτοτύπου: Βιβλιοθήκη της Βουλής των Ελλήνων

Κωδικός βιβλιοθήκης: 20557183

TopΕΥΡΕΤΗΡΙΟ ΘΕΜΑΤΙΚΩΝ ΟΡΩΝ

Σχετιζόμενα πρόσωπα:

Σχετιζόμενοι όροι:


362 εγγραφές [281 - 300]
Σελίδα #277
Σελίδα #278
Σελίδα #279
Σελίδα #280
Σελίδα #281
Σελίδα #282
Σελίδα #283
Σελίδα #284
Σελίδα #285
Σελίδα #286
Σελίδα #287
Σελίδα #288
Σελίδα #289
Σελίδα #290
Σελίδα #291
Σελίδα #292
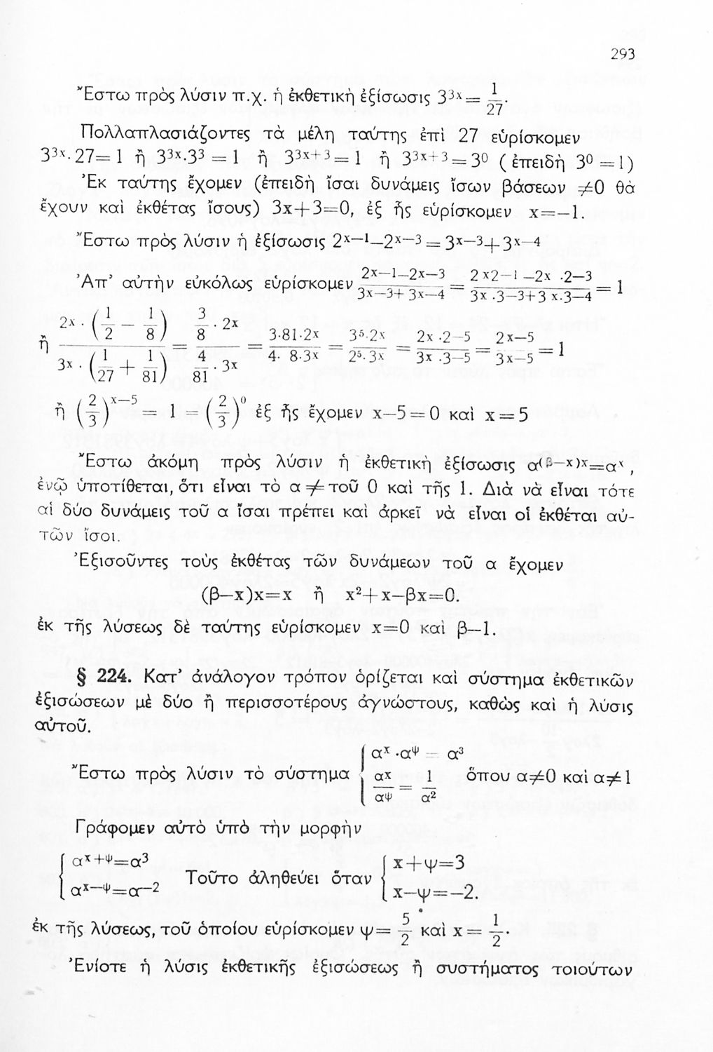
Σελίδα #293
Σελίδα #294
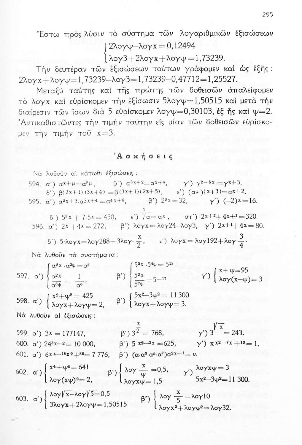
Σελίδα #295
Σελίδα #296
Σελίδα #297
Σελίδα #298
Σελίδα #299
Σελίδα #300
[Σχολικό Εγχειρίδιο]
Νείλος Σακελλαρίου
Τάξη:  Δ' Γυμνασίου / Ε' Γυμνασίου / ΣΤ' Γυμνασίου
Μάθημα:  Μαθηματικά
Σχολικό εγχειρίδιο Μαθηματικών Δ', Ε' και ΣΤ΄ τάξεων του Γυμνασίου που παρουσιάζει τις βασικές έννοιες της Άλγεβρας, εστιάζει τις ιδιότητες των αριθμών και περιέχει ασκήσεις εξισώσεων, λογαρίθμων και παραγώγων.
[Σχολικό Εγχειρίδιο]
Νείλος Σακελλαρίου
Τάξη:  Δ' Γυμνασίου / Ε' Γυμνασίου / ΣΤ' Γυμνασίου
Μάθημα:  Μαθηματικά
Σχολικό εγχειρίδιο Μαθηματικών Δ', Ε' και ΣΤ΄ τάξεων του Γυμνασίου που παρουσιάζει τις βασικές έννοιες της Άλγεβρας, εστιάζει τις ιδιότητες των αριθμών και περιέχει ασκήσεις εξισώσεων, λογαρίθμων και παραγώγων.
[Σχολικό Εγχειρίδιο]
Νείλος Σακελλαρίου
Τάξη:  Δ' Γυμνασίου / Ε' Γυμνασίου / ΣΤ' Γυμνασίου
Μάθημα:  Μαθηματικά
Σχολικό εγχειρίδιο Μαθηματικών Δ', Ε' και ΣΤ΄ τάξεων του Γυμνασίου που παρουσιάζει τις βασικές έννοιες της Άλγεβρας, εστιάζει τις ιδιότητες των αριθμών και περιέχει ασκήσεις εξισώσεων, λογαρίθμων και παραγώγων.
[Σχολικό Εγχειρίδιο]
Θουκυδίδης, Χρίστος Παπαναστασίου (σχόλια)
Τάξη:  Δ' Γυμνασίου / Ε' Γυμνασίου / ΣΤ' Γυμνασίου
Σχολικό εγχειρίδιο Αρχαίων Ελληνικών Δ΄, Ε΄ και ΣΤ΄ Γυμνασίου που περιέχει εισαγωγή στη ζωή και το έργο του Θουκυδίδη, αποσπάσματα από τα Πλαταιϊκά, τα Λεσβιακά και τον Επιτάφιο του Περικλή και ερμηνευτικές ...
[Σχολικό Εγχειρίδιο]
Θουκυδίδης, Χρισ. Παπαναστασίου (σχόλια)
Τάξη:  Δ' Γυμνασίου / Ε' Γυμνασίου / ΣΤ' Γυμνασίου
Σχολικό εγχειρίδιο Αρχαίων Ελληνικών Δ΄, Ε΄ και ΣΤ΄ Γυμνασίου που περιέχει εισαγωγή στη ζωή και το έργο του Θουκυδίδη, αποσπάσματα από τα Πλαταιϊκά, τα Λεσβιακά και τον Επιτάφιο του Περικλή και ερμηνευτικές ...
[Σχολικό Εγχειρίδιο]
Θουκυδίδης, Χρισ. Παπαναστασίου (σχόλια)
Τάξη:  Δ' Γυμνασίου / Ε' Γυμνασίου / ΣΤ' Γυμνασίου
Σχολικό εγχειρίδιο Αρχαίων Ελληνικών Δ΄, Ε΄ και ΣΤ΄ Γυμνασίου που περιέχει εισαγωγή στη ζωή και το έργο του Θουκυδίδη, αποσπάσματα από τα Πλαταιϊκά, τα Λεσβιακά και τον Επιτάφιο του Περικλή και ερμηνευτικές ...
[Σχολικό Εγχειρίδιο]
Θουκυδίδης, Χρισ. Παπαναστασίου (σχόλια)
Τάξη:  Δ' Γυμνασίου / Ε' Γυμνασίου / ΣΤ' Γυμνασίου
Σχολικό εγχειρίδιο Αρχαίων Ελληνικών Δ΄, Ε΄ και ΣΤ΄ Γυμνασίου που περιέχει αποσπάσματα από το έργο του Θουκυδίδη Ιστορία, ερμηνευτικά και πραγματολογικά σχόλια, και γραμματικές παρατηρήσεις. Φέρει το σύμβολο ...
[Σχολικό Εγχειρίδιο]
Θουκυδίδης, Χρ. Παπαναστασίου (σχόλια)
Τάξη:  Δ' Γυμνασίου / Ε' Γυμνασίου / ΣΤ' Γυμνασίου
Σχολικό εγχειρίδιο Αρχαίων Ελληνικών Δ΄, Ε΄ και ΣΤ΄ Γυμνασίου που περιέχει εισαγωγή στη ζωή και το έργο του Θουκυδίδη, αποσπάσματα από τα Πλαταιϊκά, τα Λεσβιακά και τον Επιτάφιο του Περικλή και ερμηνευτικές ...
[Σχολικό Εγχειρίδιο]
Θουκυδίδης, Χρ. Παπαναστασίου (σχόλια)
Τάξη:  Δ' Γυμνασίου / Ε' Γυμνασίου / ΣΤ' Γυμνασίου
Σχολικό εγχειρίδιο Αρχαίων Ελληνικών Δ΄, Ε΄ και ΣΤ΄ Γυμνασίου που περιέχει εισαγωγή στη ζωή και το έργο του Θουκυδίδη, αποσπάσματα από τα Πλαταιϊκά, τα Λεσβιακά και τον Επιτάφιο του Περικλή και ερμηνευτικές ...
[Σχολικό Εγχειρίδιο]
Αχιλλέας Τζάρτζανος
Τάξη:  Δ' Γυμνασίου / Ε' Γυμνασίου / ΣΤ' Γυμνασίου
Μάθημα:  Νέα Ελληνικά
Σχολικό εγχειρίδιο Λατινικών Δ΄, Ε΄ και ΣΤ΄ Γυμνασίου που περιλαμβάνει γραμματική και συντακτικό και είναι χωρισμένο σε φθογγολογικό, τυπολογικό και ετυμολογικό μέρος. Φέρει το σύμβολο της δικτατορίας.