QR Code
03-20557193
Στ. Κατσαρλίνος, Ματθαίος Μπαϊμπάς

Μαθηματικά Α΄ Γυμνασίου
[1970, 2η Έκδοση]

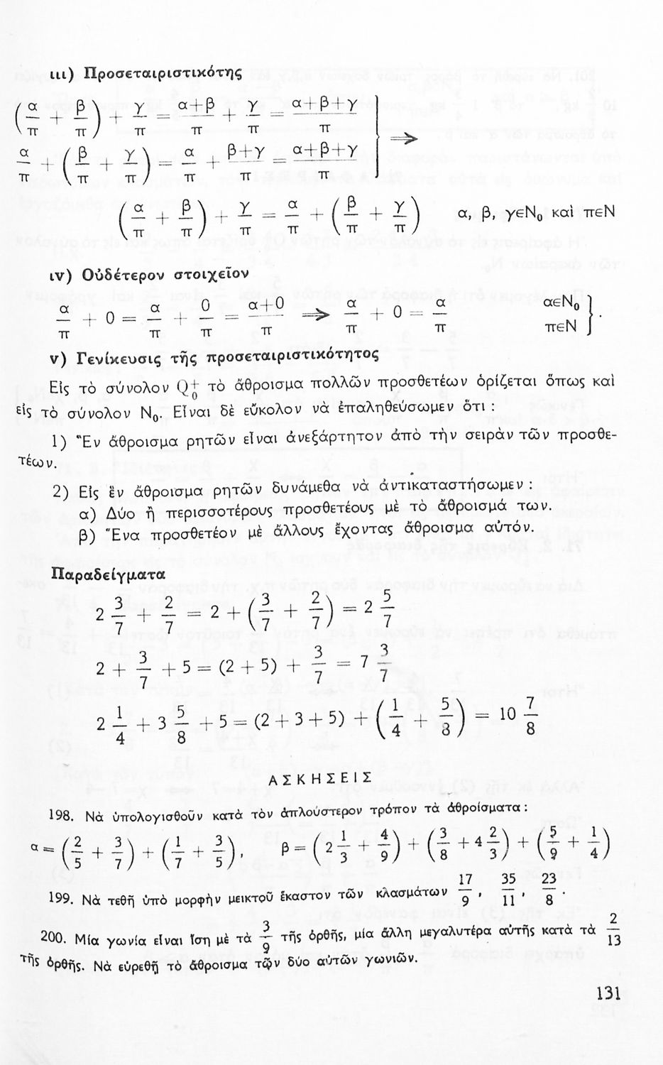
Σχολικό εγχειρίδιο Μαθηματικών Α' Γυμνασίου που περιέχει άλγεβρα με έμφαση στις αριθμητικές πράξεις με ακέραιους, δεκαδικούς και κλάσματα, και γεωμετρία με έμφαση στην επιπεδομετρία. Περιέχει και εισαγωγή στη θεωρία των συνόλων. Φέρει το σύμβολο της δικτατορίας.


TopΠΕΔΙΟ ΑΝΑΓΝΩΡΙΣΗΣ

Κωδικός αναγνώρισης: 03-20557193

Τίτλος: Μαθηματικά Α΄ Γυμνασίου

Συγγραφέας: Στ. Κατσαρλίνος, Ματθαίος Μπαϊμπάς

Μέγεθος και υπόστρωμα: Σχολικό εγχειρίδιο, 23εκ., μαλακό εξώφυλλο, 282 σελίδες.

TopΠΕΔΙΟ ΠΕΡΙΕΧΟΜΕΝΟΥ

Βαθμίδα εκπαίδευσης: Δευτεροβάθμια

Τάξη: Α' Γυμνασίου

Μάθημα: Μαθηματικά

Γλώσσα: Καθαρεύουσα

Παρουσίαση περιεχομένου: Σχολικό εγχειρίδιο Μαθηματικών Α' Γυμνασίου που περιέχει άλγεβρα με έμφαση στις αριθμητικές πράξεις με ακέραιους, δεκαδικούς και κλάσματα, και γεωμετρία με έμφαση στην επιπεδομετρία. Περιέχει και εισαγωγή στη θεωρία των συνόλων. Φέρει το σύμβολο της δικτατορίας.

TopΠΕΔΙΟ ΠΛΗΡΟΦΟΡΙΩΝ ΕΚΔΟΣΗΣ

Εκδότης: Οργανισμός Εκδόσεως Διδακτικών Βιβλίων

Έτος έκδοσης: 1970

Τόπος έκδοσης: Αθήνα

Έκδοση:

Υπουργική απόφαση / Σύμβαση: 1979/ 31-3-1970

Έτος έγκρισης: 1970

TopΠΕΔΙΟ ΠΑΡΑΤΗΡΗΣΕΩΝ

Εντοπισμός πρωτοτύπου: Βιβλιοθήκη της Βουλής των Ελλήνων

Κωδικός βιβλιοθήκης: 20557193

TopΕΥΡΕΤΗΡΙΟ ΘΕΜΑΤΙΚΩΝ ΟΡΩΝ

Σχετιζόμενα πρόσωπα:

Σχετιζόμενοι όροι:


284 εγγραφές [121 - 140]
Σελίδα #119
Σελίδα #120
Σελίδα #121
Σελίδα #122
Σελίδα #123
Σελίδα #124
Σελίδα #125
Σελίδα #126
Σελίδα #127
Σελίδα #128
Σελίδα #129
Σελίδα #130
Σελίδα #131
Σελίδα #132
Σελίδα #133
Σελίδα #134
Σελίδα #135
Σελίδα #136
Σελίδα #137
Σελίδα #138
Σελίδα #139
Σελίδα #140
Σελίδα #141
Σελίδα #142
[Σχολικό Εγχειρίδιο]
Νικόλ. Δ. Νικολάου
Τάξη:  Α' Γυμνασίου / Β' Γυμνασίου / Γ' Γυμνασίου
Μάθημα:  Μαθηματικά
Σχολικό εγχειρίδιο Αριθμητικής για τις Α΄, Β΄, Γ΄ Γυμνασίου που είναι χωρισμένο σε ορισμούς και ασκήσεις και εστιάζει στις ιδιότητες των αριθμητικών πράξεων, τα κλάσματα και την τετραγωνική ρίζα.
[Σχολικό Εγχειρίδιο]
Χρίστος Α. Μπαρμπαστάθης
Τάξη:  Δ' Γυμνασίου / Ε' Γυμνασίου / ΣΤ' Γυμνασίου
Μάθημα:  Μαθηματικά
Σχολικό εγχειρίδιο Γεωμετρίας για τις Α΄, Β΄, Γ΄ Γυμνασίου που είναι χωρισμένο σε Επιπεδομετρία και Στερεομετρία και περιλαμβάνει θεωρία και ασκήσεις.
[Σχολικό Εγχειρίδιο]
Νείλος Σακελλαρίου
Τάξη:  Γυμνάσιο
Μάθημα:  Μαθηματικά
Σχολικό εγχειρίδιο Άλγεβρας Γυμνασίου που περιλαμβάνει θεωρία, ασκήσεις και στοιχεία λογιστικής.
[Σχολικό Εγχειρίδιο]
Α. Δ. Μητρόπουλος
Τάξη:  Α' Γυμνασίου / Β' Γυμνασίου
Μάθημα:  Μαθηματικά
Σχολικό εγχειρίδιο Γεωμετρίας για την Α΄ και Β΄ Γυμνασίου που περιλαμβάνει θεωρία και ασκήσεις και είναι χωρισμένο σε Επιπεδομετρία και Στερεομετρία.
[Σχολικό Εγχειρίδιο]
Ανδρ. Σ. Παπασπυρόπουλος
Τάξη:  Α' Γυμνασίου / Β' Γυμνασίου
Μάθημα:  Μαθηματικά
Σχολικό εγχειρίδιο Γεωμετρίας για την Α΄ και Β΄ Γυμνασίου χωρισμένο σε Επιπεδομετρία και Στερεομετρία που περιέχει θεωρία και ασκήσεις.
[Μαθητικό Βοήθημα]
Γεώργιος Κ. Μπούσγος
Τάξη:  Β' Γυμνασίου
Μάθημα:  Μαθηματικά
Μαθητικό βοήθημα Μαθηματικών Β΄ Γυμνασίου που περιλαμβάνει εξισώσεις και ανισώσεις, διανύσματα και θεωρία συνόλων.
[Σχολικό Εγχειρίδιο]
Στ. Κατσαρλίνος, Ματθ. Μπαϊμπάς
Τάξη:  Α' Γυμνασίου
Μάθημα:  Μαθηματικά
Σχολικό εγχειρίδιο Μαθηματικών Α' Γυμνασίου που περιέχει άλγεβρα με έμφαση στις αριθμητικές πράξεις με ακέραιους, δεκαδικούς και κλάσματα, και γεωμετρία με έμφαση στην επιπεδομετρία. Περιέχει και εισαγωγή στη ...
[Σχολικό Εγχειρίδιο]
Γ. Μπούσγος, Ι. Ταμβακλής, Παν. Ηλιάδης (επιμέλεια)
Τάξη:  Γ' Γυμνασίου
Μάθημα:  Μαθηματικά
Σχολικό εγχειρίδιο Μαθηματικών Γ΄ Γυμνασίου που περιλαμβάνει θεωρία, παραδείγματα και ασκήσεις. Φέρει το σύμβολο της δικτατορίας.
[Σχολικό Εγχειρίδιο]
Θ. Βαβαλέτσκος, Γ. Μπούσγος
Τάξη:  Δ' Γυμνασίου
Μάθημα:  Μαθηματικά
Σχετιζόμενοι όροι:  εξισώσεις, συναρτήσεις, ανισώσεις
Σχολικό εγχειρίδιο Μαθηματικών Δ΄ Γυμνασίου χωρισμένο σε ορισμούς, παραδείγματα και ασκήσεις. Περιέχει στοιχεία Περιγραφικής Στατιστικής και Τριγωνομετρίας. Φέρει το σύμβολο της δικτατορίας.
[Σχολικό Εγχειρίδιο]
Βασίλειος Στάικος
Τάξη:  ΣΤ' Γυμνασίου
Μάθημα:  Μαθηματικά
Σχετιζόμενοι όροι:  σύνολα, συναρτήσεις, ολοκληρώματα
Σχολικό εγχειρίδιο Μαθηματικών Γυμνασίου που είναι χωρισμένο σε θεωρήματα, παραδείγματα και ασκήσεις και περιλαμβάνει στοιχεία Ανώτερης Άλγεβρας και Μαθηματικής Ανάλυσης.