QR Code
03-20557232
Γ. Γραφάκος, Κ. Διακάκης, Σ. Μαντζάρας

Μαθηματικά Β΄ Γυμνασίου (αριθμητική και άλγεβρα, γεωμετρία)
[1975, 6η Έκδοση]

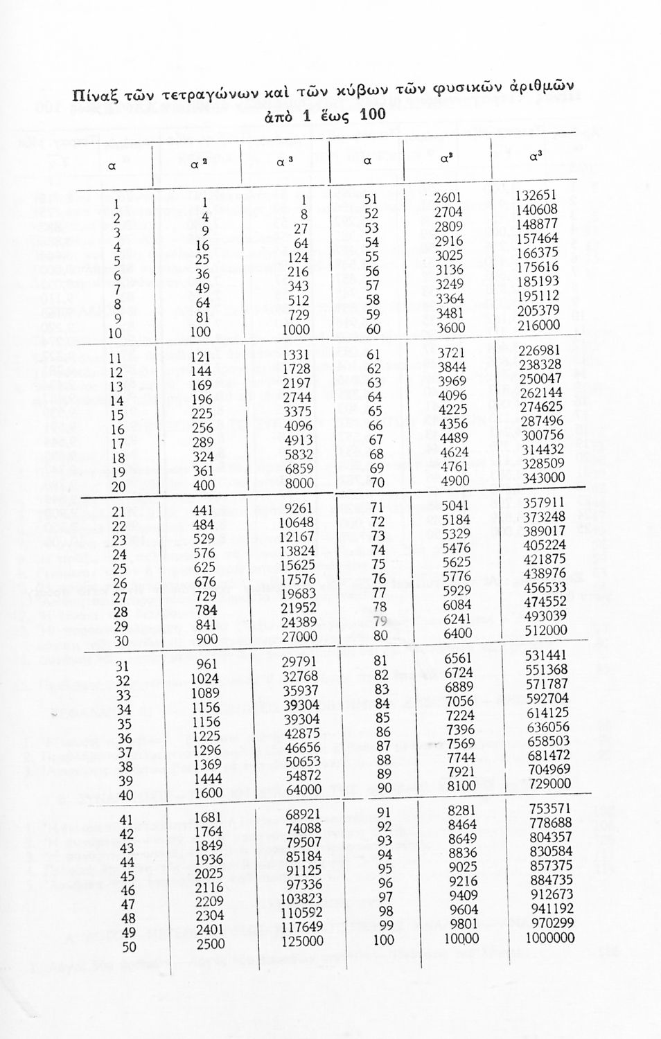
Σχολικό Εγχειρίδιο Μαθηματικών Β' Γυμνασίου που περιλαμβάνει αριθμητική με έμφαση στα σύνολα, τις μεθόδους υπολογισμού τόκων και επιτοκίων, και την μέθοδο των τριών, και γεωμετρία με έμφαση στα γεωμετρικά σχήματα και σώματα και τρόπους υπολογισμού τους.


TopΠΕΔΙΟ ΑΝΑΓΝΩΡΙΣΗΣ

Κωδικός αναγνώρισης: 03-20557232

Τίτλος: Μαθηματικά Β΄ Γυμνασίου (αριθμητική και άλγεβρα, γεωμετρία)

Συγγραφέας: Γ. Γραφάκος, Κ. Διακάκης, Σ. Μαντζάρας

Μέγεθος και υπόστρωμα: Σχολικό εγχειρίδιο, 23εκ., μαλακό εξώφυλλο, 282 σελίδες. Σχεδιαγράμματα (ασπρόμαυρα).

TopΠΕΔΙΟ ΠΕΡΙΕΧΟΜΕΝΟΥ

Βαθμίδα εκπαίδευσης: Δευτεροβάθμια

Τάξη: Β' Γυμνασίου

Μάθημα: Μαθηματικά

Γλώσσα: Καθαρεύουσα

Παρουσίαση περιεχομένου: Σχολικό Εγχειρίδιο Μαθηματικών Β' Γυμνασίου που περιλαμβάνει αριθμητική με έμφαση στα σύνολα, τις μεθόδους υπολογισμού τόκων και επιτοκίων, και την μέθοδο των τριών, και γεωμετρία με έμφαση στα γεωμετρικά σχήματα και σώματα και τρόπους υπολογισμού τους.

TopΠΕΔΙΟ ΠΛΗΡΟΦΟΡΙΩΝ ΕΚΔΟΣΗΣ

Εκδότης: Οργανισμός Εκδόσεως Διδακτικών Βιβλίων

Έτος έκδοσης: 1975

Τόπος έκδοσης: Αθήνα

Έκδοση:

Υπουργική απόφαση / Σύμβαση: 2545/ 29-3-1975

Έτος έγκρισης: 1975

TopΠΕΔΙΟ ΠΑΡΑΤΗΡΗΣΕΩΝ

Εντοπισμός πρωτοτύπου: Βιβλιοθήκη της Βουλής των Ελλήνων

Κωδικός βιβλιοθήκης: 20557232

TopΕΥΡΕΤΗΡΙΟ ΘΕΜΑΤΙΚΩΝ ΟΡΩΝ

Σχετιζόμενα πρόσωπα:

Σχετιζόμενοι όροι:


282 εγγραφές [261 - 280]
Σελίδα #259
Σελίδα #260
Σελίδα #261
Σελίδα #262
Σελίδα #263
Σελίδα #264
Σελίδα #265
Σελίδα #266
Σελίδα #267
Σελίδα #268
Σελίδα #269
Σελίδα #270
Σελίδα #271
Σελίδα #272
Σελίδα #273
Σελίδα #274
Σελίδα #275
Σελίδα #276
Σελίδα #277
Σελίδα #278
Εξώφυλλο
Εξώφυλλο
  
[Σχολικό Εγχειρίδιο]
Γ. Γραφάκος, Κ. Διακάκης, Σ. Μαντζάρας
Τάξη:  Β' Γυμνασίου
Μάθημα:  Μαθηματικά
Σχολικό Εγχειρίδιο Μαθηματικών Β' Γυμνασίου που περιλαμβάνει αριθμητική με έμφαση στα σύνολα, τις μεθόδους υπολογισμού τόκων και επιτοκίων, και την μέθοδο των τριών, και γεωμετρία με έμφαση στα γεωμετρικά ...
[Σχολικό Εγχειρίδιο]
Γ. Γραφάκος, Κ. Διακάκης, Σ. Μαντζάρας
Τάξη:  Β' Γυμνασίου
Μάθημα:  Μαθηματικά
Σχολικό Εγχειρίδιο Μαθηματικών Β' Γυμνασίου που περιλαμβάνει αριθμητική με έμφαση στα σύνολα, τις μεθόδους υπολογισμού τόκων και επιτοκίων, και την μέθοδο των τριών, και γεωμετρία με έμφαση στα γεωμετρικά ...
[Σχολικό Εγχειρίδιο]
Γ. Γραφάκος, Κ. Διακάκης, Σ. Μαντζάρας
Τάξη:  Β' Γυμνασίου
Μάθημα:  Μαθηματικά
Σχολικό Εγχειρίδιο Μαθηματικών Β' Γυμνασίου που περιλαμβάνει αριθμητική με έμφαση στα σύνολα, τις μεθόδους υπολογισμού τόκων και επιτοκίων, και την μέθοδο των τριών, και γεωμετρία με έμφαση στα γεωμετρικά ...
[Σχολικό Εγχειρίδιο]
Γ. Γραφάκος, Κ. Διακάκης, Σ. Μαντζάρας
Τάξη:  Β' Γυμνασίου
Μάθημα:  Μαθηματικά
Σχολικό Εγχειρίδιο Μαθηματικών Β' Γυμνασίου που περιλαμβάνει αριθμητική με έμφαση στα σύνολα, τις μεθόδους υπολογισμού τόκων και επιτοκίων, και την μέθοδο των τριών, και γεωμετρία με έμφαση στα γεωμετρικά ...
[Σχολικό Εγχειρίδιο]
Δ. Παπαμιχαήλ, Σ. Μπαλής, Χρ. Γιαννίκος, Δ. Νοταράς, Κ. Σολδάτος
Τάξη:  Β' Γυμνασίου
Μάθημα:  Μαθηματικά
Σχολικό εγχειρίδιο Μαθηματικών Β΄ Γυμνασίου που περιλαμβάνει Άλγεβρα, Γεωμετρία και Τριγωνομετρία.
[Σχολικό Εγχειρίδιο]
Δ. Παπαμιχαήλ, Σ. Μπαλής, Χρ. Γιαννίκος, Δ. Νοταράς, Κ. Σολδάτος
Τάξη:  Β' Γυμνασίου
Μάθημα:  Μαθηματικά
Σχολικό εγχειρίδιο Μαθηματικών Β΄ Γυμνασίου που περιλαμβάνει Άλγεβρα, Γεωμετρία και Τριγωνομετρία.
[Σχολικό Εγχειρίδιο]
Δ. Παπαμιχαήλ, Σ. Μπαλής, Χρ. Γιαννίκος, Δ. Νοταράς, Κ. Σολδάτος
Τάξη:  Β' Γυμνασίου
Μάθημα:  Μαθηματικά
Σχολικό εγχειρίδιο Μαθηματικών Β΄ Γυμνασίου που περιλαμβάνει Άλγεβρα, Γεωμετρία και Τριγωνομετρία.
[Σχολικό Εγχειρίδιο]
Γ. Γραφάκος, Κ. Διακάκης, Σ. Μαντζάρας
Τάξη:  Β' Γυμνασίου
Μάθημα:  Μαθηματικά
Σχολικό Εγχειρίδιο Μαθηματικών Β' Γυμνασίου που περιλαμβάνει αριθμητική με έμφαση στα σύνολα, τις μεθόδους υπολογισμού τόκων και επιτοκίων, και την μέθοδο των τριών, και γεωμετρία με έμφαση στα γεωμετρικά ...
[Σχολικό Εγχειρίδιο]
Γ. Γραφάκος, Κ. Διακάκης, Σ. Μαντζάρας
Τάξη:  Β' Γυμνασίου
Μάθημα:  Μαθηματικά
Σχολικό Εγχειρίδιο Μαθηματικών Β' Γυμνασίου που περιλαμβάνει αριθμητική με έμφαση στα σύνολα, τις μεθόδους υπολογισμού τόκων και επιτοκίων, και την μέθοδο των τριών, και γεωμετρία με έμφαση στα γεωμετρικά ...
[Σχολικό Εγχειρίδιο]
Γ. Γραφάκος, Κ. Διακάκης, Σ. Μαντζάρας
Τάξη:  Β' Γυμνασίου
Μάθημα:  Μαθηματικά
Σχολικό Εγχειρίδιο Μαθηματικών Β' Γυμνασίου που περιλαμβάνει αριθμητική με έμφαση στα σύνολα, τις μεθόδους υπολογισμού τόκων και επιτοκίων, και την μέθοδο των τριών, και γεωμετρία με έμφαση στα γεωμετρικά ...