QR Code
03-20557332
Ε. Παπατριανταφύλλου

Μαθηματικά ΣΤ΄ Γυμνασίου Τριγωνομετρία. θετικής κατευθύνσεως
[1970, 2η Έκδοση]

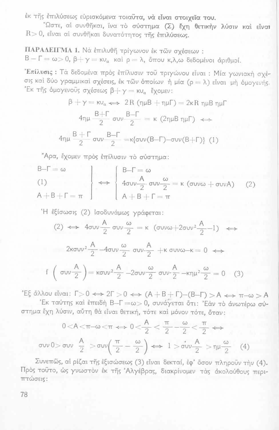
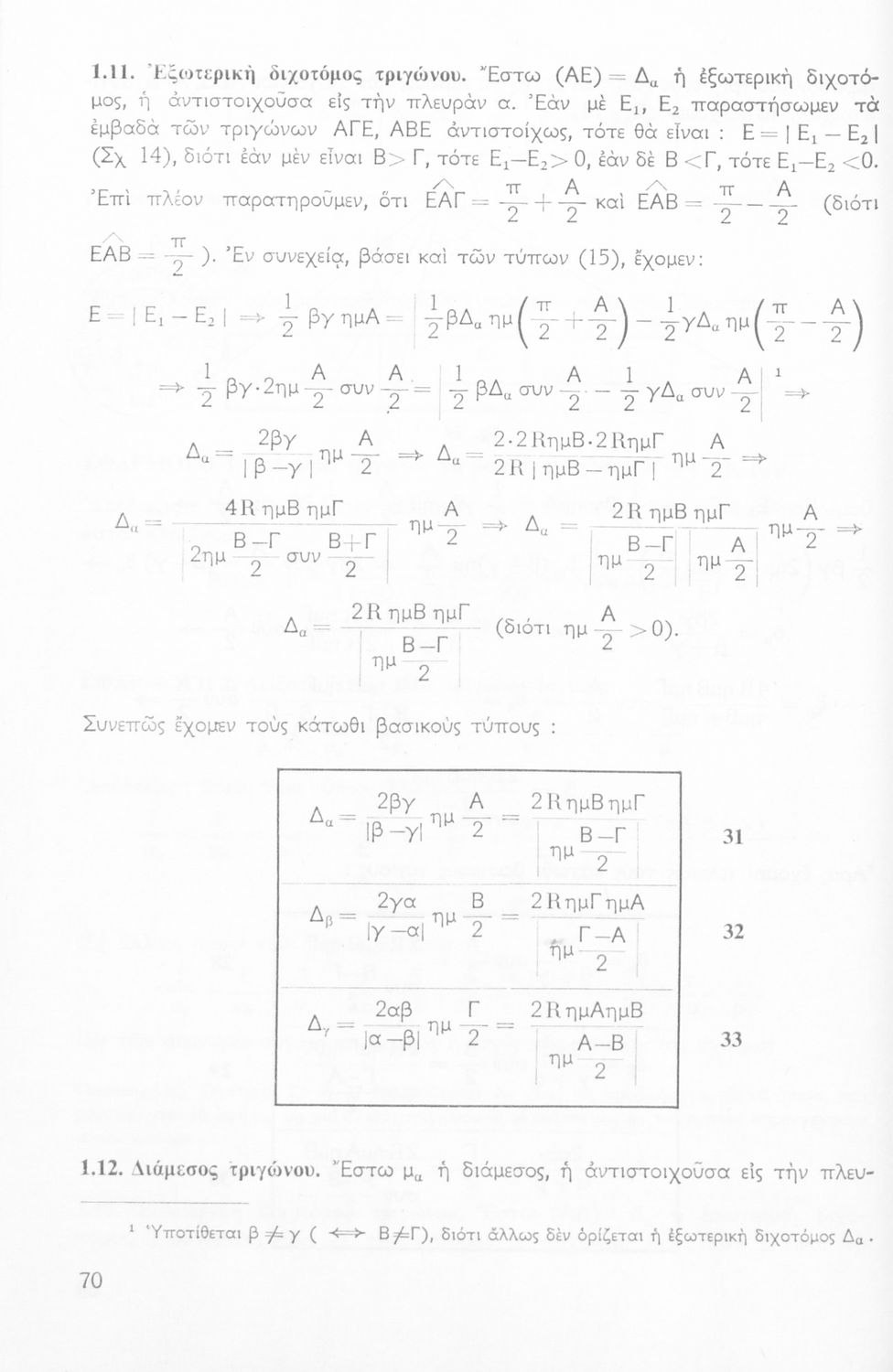
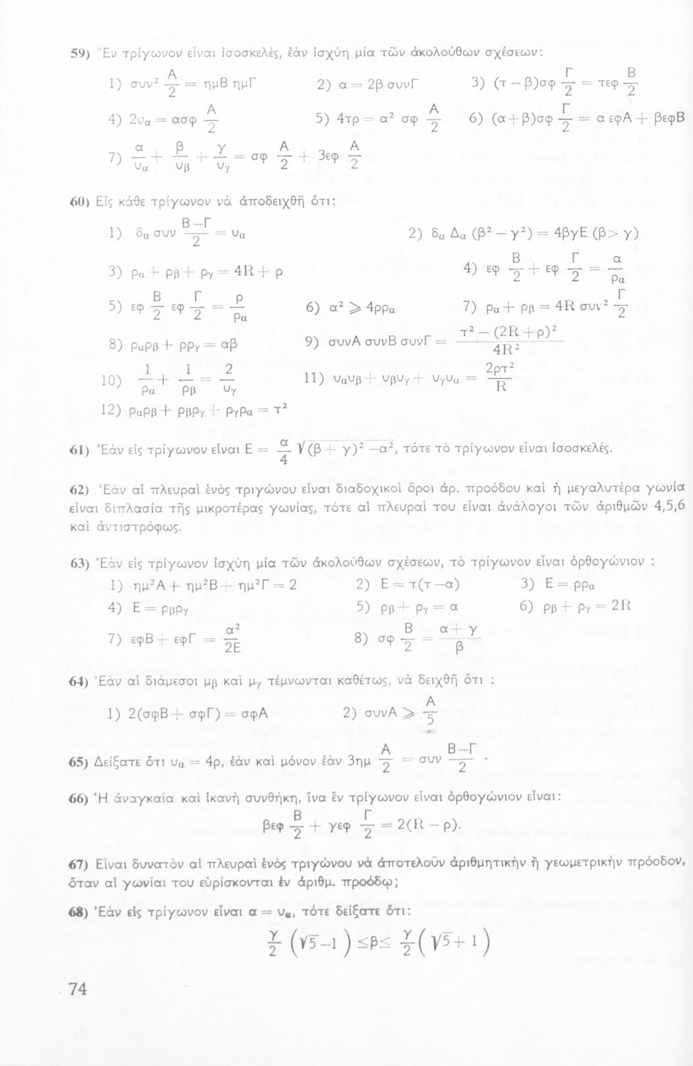
Σχολικό εγχειρίδιο της ΣΤ΄ Γυμνασίου για το μάθημα των Μαθηματικών. Περιέχει θεωρία, ασκήσεις λυμένες και παραδείγματα της Τριγωνομετρίας. Απευθυνόταν στους μαθητές της θετικής κατεύθυνσης.


TopΠΕΔΙΟ ΑΝΑΓΝΩΡΙΣΗΣ

Κωδικός αναγνώρισης: 03-20557332

Τίτλος: Μαθηματικά ΣΤ΄ Γυμνασίου Τριγωνομετρία. θετικής κατευθύνσεως

Συγγραφέας: Ε. Παπατριανταφύλλου

Μέγεθος και υπόστρωμα: Σχολικό εγχειρίδιο, μαλακό εξώφυλλο, 104 σελίδες. Σχήματα, σχεδιαγράμματα (ασπρόμαυρα).

TopΠΕΔΙΟ ΠΕΡΙΕΧΟΜΕΝΟΥ

Βαθμίδα εκπαίδευσης: Δευτεροβάθμια

Τάξη: ΣΤ' Γυμνασίου

Μάθημα: Μαθηματικά

Γλώσσα: Απλή καθαρεύουσα

Παρουσίαση περιεχομένου: Σχολικό εγχειρίδιο της ΣΤ΄ Γυμνασίου για το μάθημα των Μαθηματικών. Περιέχει θεωρία, ασκήσεις λυμένες και παραδείγματα της Τριγωνομετρίας. Απευθυνόταν στους μαθητές της θετικής κατεύθυνσης.

TopΠΕΔΙΟ ΠΛΗΡΟΦΟΡΙΩΝ ΕΚΔΟΣΗΣ

Εκδότης: Οργανισμός Εκδόσεως Διδακτικών Βιβλίων

Έτος έκδοσης: 1970

Τόπος έκδοσης: Αθήνα

Έκδοση:

Υπουργική απόφαση / Σύμβαση: 2014/7-4-1970

Έτος έγκρισης: 1970

TopΠΕΔΙΟ ΠΑΡΑΤΗΡΗΣΕΩΝ

Εντοπισμός πρωτοτύπου: Βιβλιοθήκη της Βουλής των Ελλήνων

Κωδικός βιβλιοθήκης: 20557332

TopΕΥΡΕΤΗΡΙΟ ΘΕΜΑΤΙΚΩΝ ΟΡΩΝ

Σχετιζόμενα πρόσωπα:

Σχετιζόμενοι όροι:


107 εγγραφές [61 - 80]
Σελίδα #059
Σελίδα #060
Σελίδα #061
Σελίδα #062
Σελίδα #063
Σελίδα #064
Σελίδα #065
Σελίδα #066
Σελίδα #067
Σελίδα #068
Σελίδα #069
Σελίδα #070
Σελίδα #071
Σελίδα #072
Σελίδα #073
Σελίδα #074
Σελίδα #075
Σελίδα #076
Σελίδα #077
Σελίδα #078
Σελίδα #079
Σελίδα #080
Σελίδα #081
Σελίδα #082
[Σχολικό Εγχειρίδιο]
Ε. Παπατριανταφύλλου
Τάξη:  ΣΤ' Γυμνασίου
Μάθημα:  Μαθηματικά
Σχολικό εγχειρίδιο της ΣΤ΄ Γυμνασίου για το μάθημα των Μαθηματικών. Περιέχει θεωρία, ασκήσεις λυμένες και παραδείγματα της Τριγωνομετρίας. Απευθυνόταν στους μαθητές της θετικής κατεύθυνσης.
[Σχολικό Εγχειρίδιο]
Ε. Παπατριανταφύλλου
Τάξη:  Γ' Λυκείου
Μάθημα:  Μαθηματικά
Σχολικό εγχειρίδιο της ΣΤ΄ Γυμνασίου για το μάθημα των Μαθηματικών. Περιέχει θεωρία, ασκήσεις λυμένες και παραδείγματα της Τριγωνομετρίας. Απευθυνόταν στους μαθητές της θετικής κατεύθυνσης.
[Σχολικό Εγχειρίδιο]
Ε. Παπατριανταφύλλου
Τάξη:  ΣΤ' Γυμνασίου
Μάθημα:  Μαθηματικά
Σχολικό εγχειρίδιο της ΣΤ΄ Γυμνασίου για το μάθημα των Μαθηματικών. Περιέχει θεωρία, ασκήσεις λυμένες και παραδείγματα της Τριγωνομετρίας. Απευθυνόταν στους μαθητές της θετικής κατεύθυνσης.
[Σχολικό Εγχειρίδιο]
Σπ. Γ. Κανέλλος
Τάξη:  Δ' Γυμνασίου / Ε' Γυμνασίου / ΣΤ' Γυμνασίου
Μάθημα:  Μαθηματικά
Σχολικό εγχειρίδιο Γεωμετρίας για τις Δ΄, Ε΄ και ΣΤ΄ Γυμνασίου που περιλαμβάνει αξιώματα, θεωρήματα και κατασκευές και είναι χωρισμένο σε γεωμετρία επιπέδου και γεωμετρία χώρου.
[Σχολικό Εγχειρίδιο]
Ε. Παπατριανταφύλλου
Τάξη:  ΣΤ' Γυμνασίου
Μάθημα:  Μαθηματικά
Σχολικό εγχειρίδιο Τριγωνομετρίας ΣΤ΄ Γυμνασίου χωρισμένο σε ορισμούς, θεωρία, παραδείγματα και ασκήσεις.
[Σχολικό Εγχειρίδιο]
Βασίλειος Στάικος
Τάξη:  ΣΤ' Γυμνασίου
Μάθημα:  Μαθηματικά
Σχετιζόμενοι όροι:  σύνολα, συναρτήσεις, ολοκληρώματα
Σχολικό εγχειρίδιο Μαθηματικών Γυμνασίου που είναι χωρισμένο σε θεωρήματα, παραδείγματα και ασκήσεις και περιλαμβάνει στοιχεία Ανώτερης Άλγεβρας και Μαθηματικής Ανάλυσης.
[Σχολικό Εγχειρίδιο]
Ιωάν. Πανάκης
Τάξη:  Ε' Γυμνασίου
Μάθημα:  Μαθηματικά
Σχολικό εγχειρίδιο Μαθηματικών για την Ε΄ Γυμνασίου, χωρισμένο σε προβλήματα, εφαρμογές και ασκήσεις, που εστιάζει στην Τριγωνομετρία. Φέρει το σύμβολο της δικτατορίας.
[Σχολικό Εγχειρίδιο]
Β. Στάικος
Τάξη:  ΣΤ' Γυμνασίου
Μάθημα:  Μαθηματικά
Σχετιζόμενοι όροι:  σύνολα, συναρτήσεις, ολοκληρώματα
Σχολικό εγχειρίδιο Μαθηματικών ΣΤ΄ Γυμνασίου που είναι χωρισμένο σε θεωρήματα, παραδείγματα και ασκήσεις και περιλαμβάνει στοιχεία Ανώτερης Άλγεβρας και Μαθηματικής Ανάλυσης.
[Σχολικό Εγχειρίδιο]
Ιωάν. Πανάκης
Τάξη:  Ε' Γυμνασίου
Μάθημα:  Μαθηματικά
Σχολικό εγχειρίδιο Μαθηματικών για την Ε΄ Γυμνασίου χωρισμένο σε προβλήματα, εφαρμογές και ασκήσεις που εστιάζει στην Τριγωνομετρία.
[Σχολικό Εγχειρίδιο]
Βασίλειος Στάϊκος
Τάξη:  ΣΤ' Γυμνασίου
Μάθημα:  Μαθηματικά
Το σύγγραμμα ήταν σχολικό εγχειρίδιο για το μάθημα των Μαθηματικών στο Γυμνάσιο. Περιέχει βασικές γνώσεις 'Άλγεβρας, σύνολα, συναρτήσεις, ολοκληρώματα, λογάριθμους, παραγώγους συναρτήσεων. Εκτός από τη θεωρία ...