QR Code
03-20632631
Νικόλαος Δ. Νικολάου

Μεγάλη Στοιχειώδης Άλγεβρα προς χρήσιν των μαθητών των πρακτικών Λυκείων, Γυμνασίων και των υποψηφίων δια τας Ανωτάτας Σχολάς του Κράτους
[1932, 1η Έκδοση]

Μαθητικό βοήθημα Μαθηματικών για τους μαθητές των Πρακτικών Λυκείων και τους υποψηφίους Ανωτάτων Σχολών του κράτους. Το βιβλίο περιέχει βασικές έννοιες και κανόνες της άλγεβρας και την ανάπτυξη αριθμητικών προόδων και εξισώσεων. Κάθε θεματική ενότητα συνοδεύεται από ασκήσεις για πρακτική εξάσκηση.


TopΠΕΔΙΟ ΑΝΑΓΝΩΡΙΣΗΣ

Κωδικός αναγνώρισης: 03-20632631

Τίτλος: Μεγάλη Στοιχειώδης Άλγεβρα προς χρήσιν των μαθητών των πρακτικών Λυκείων, Γυμνασίων και των υποψηφίων δια τας Ανωτάτας Σχολάς του Κράτους

Συγγραφέας: Νικόλαος Δ. Νικολάου

Μέγεθος και υπόστρωμα: Μαθητικό βοήθημα, σκληρό εξώφυλλο, 346 σελίδες.

TopΠΕΔΙΟ ΠΕΡΙΕΧΟΜΕΝΟΥ

Βαθμίδα εκπαίδευσης: Δευτεροβάθμια

Μάθημα: Μαθηματικά

Γλώσσα: Καθαρεύουσα

Παρουσίαση περιεχομένου: Μαθητικό βοήθημα Μαθηματικών για τους μαθητές των Πρακτικών Λυκείων και τους υποψηφίους Ανωτάτων Σχολών του κράτους. Το βιβλίο περιέχει βασικές έννοιες και κανόνες της άλγεβρας και την ανάπτυξη αριθμητικών προόδων και εξισώσεων. Κάθε θεματική ενότητα συνοδεύεται από ασκήσεις για πρακτική εξάσκηση.

TopΠΕΔΙΟ ΠΛΗΡΟΦΟΡΙΩΝ ΕΚΔΟΣΗΣ

Εκδότης: Δημ. Ν. Τζάκας, Στεφ. Δελαγραμμάτικας και ΣΙΑ

Έτος έκδοσης: 1932

Τόπος έκδοσης: Αθήνα

Έκδοση:

TopΠΕΔΙΟ ΠΑΡΑΤΗΡΗΣΕΩΝ

Εντοπισμός πρωτοτύπου: Βιβλιοθήκη της Βουλής των Ελλήνων

Κωδικός βιβλιοθήκης: 20632631

TopΕΥΡΕΤΗΡΙΟ ΘΕΜΑΤΙΚΩΝ ΟΡΩΝ

Σχετιζόμενα πρόσωπα:

Σχετιζόμενοι όροι:


352 εγγραφές [321 - 340]
Σελίδα #317
Σελίδα #318
Σελίδα #319
Σελίδα #320
Σελίδα #321
Σελίδα #322
Σελίδα #323
Σελίδα #324
Σελίδα #325
Σελίδα #326
Σελίδα #327
Σελίδα #328
Σελίδα #329
Σελίδα #330
Σελίδα #331
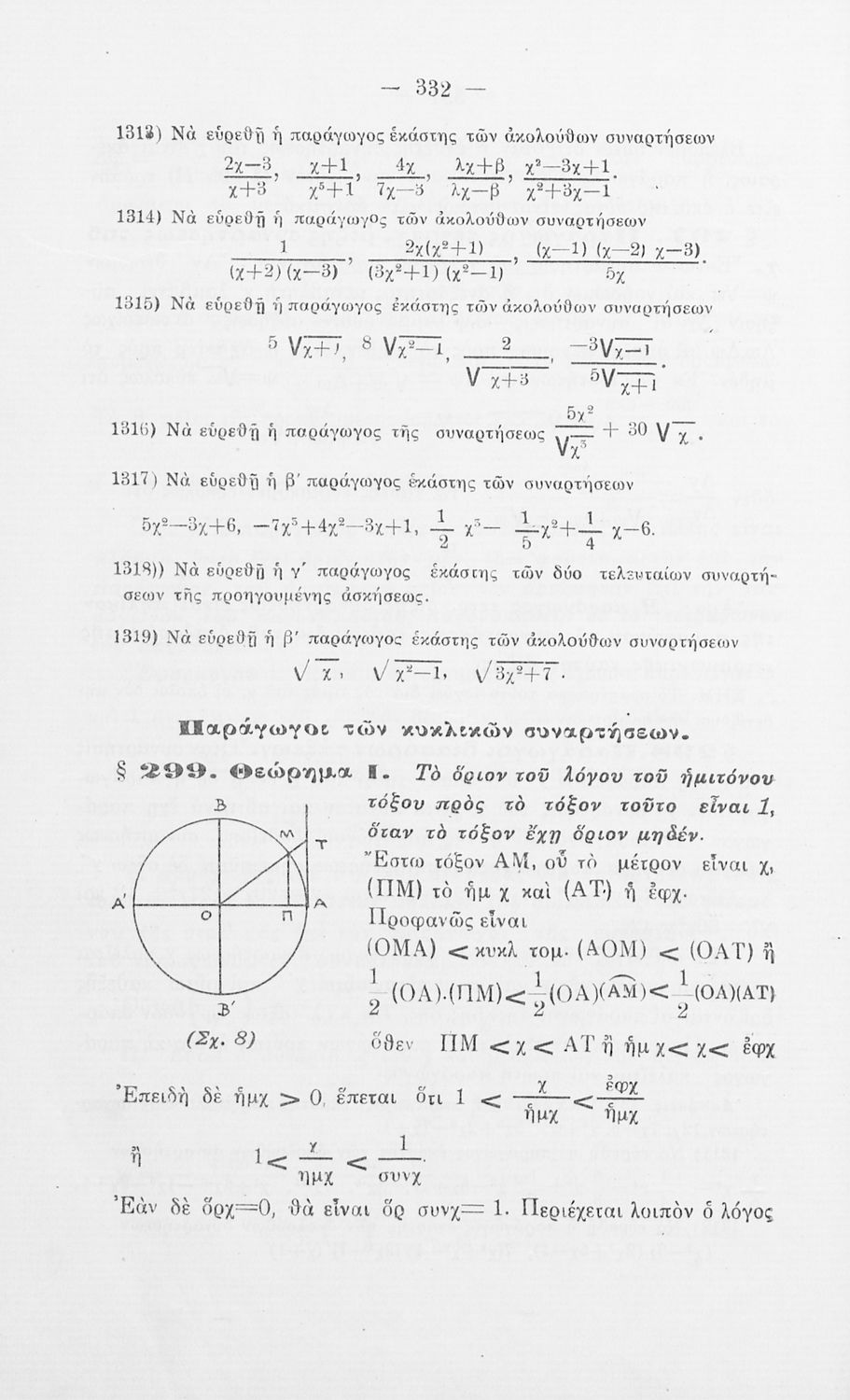
Σελίδα #332
Σελίδα #333
Σελίδα #334
Σελίδα #335
Σελίδα #336
Σελίδα #337
Σελίδα #338
Σελίδα #339
Σελίδα #340
[Μαθητικό Βοήθημα]
Πέτρος Γ. Τόγκας
Τάξη:  Γυμνάσιο / Λύκειο
Μάθημα:  Μαθηματικά
Μαθητικό βοήθημα Μαθηματικών για τους μαθητές των Γυμνασίων και Λυκείων που παρουσιάζει τις βασικές έννοιες της Άλγεβρας, εστιάζει τις ιδιότητες των αριθμών και περιέχει ασκήσεις εξισώσεων, λογαρίθμων και ...
[Μαθητικό Βοήθημα]
Πέτρος Τόγκας
Τάξη:  Γυμνάσιο / Λύκειο
Μάθημα:  Μαθηματικά
Μαθητικό βοήθημα Γεωμετρίας για τα Γυμνάσια και Λύκεια που περιέχει λύσεις σε 375 ασκήσεις και προβλήματα που περιλαμβάνονται στο πρώτο βιβλίο Θεωρητικής Γεωμετρίας του Π.Γ. Τόγκα.
[Μαθητικό Βοήθημα]
Πέτρος Τόγκας
Τάξη:  Γυμνάσιο / Λύκειο
Μάθημα:  Μαθηματικά
Μαθητικό βοήθημα Γεωμετρίας για τα Γυμνάσια και Λύκεια που περιέχει τις εκφωνήσεις και λύσεις των υπ΄ αριθ. 795-991 ασκήσεων Θεωρητικής Γεωμετρίας του Π.Γ. Τόγκα οι οποίες αφορούν τις ιδιότητες του ...
[Μαθητικό Βοήθημα]
Πέτρος Γ. Τόγκας
Μάθημα:  Μαθηματικά
Μαθητικό βοήθημα Τριγωνομετρίας για τους μαθητές των Γυμνασίων, Πρακτικών Λυκείων και των υποψήφιων Ανωτάτων Σχολών που περιλαμβάνει τις βασικές έννοιες και ορισμούς της Τριγωνομετρίας καθώς και σειρά ασκήσεων
[Μαθητικό Βοήθημα]
Χρίστος Α. Μπαρμπαστάθης
Τάξη:  Γυμνάσιο / Πρακτικό Λύκειο
Μάθημα:  Μαθηματικά
Μαθητικό βοήθημα Άλγεβρας για τους μαθητές των πρακτικών Λυκείων και τους υποψήφιους σχολών του Κράτους. Το βιβλίο περιέχει τις βασικές αλγεβρικές πράξεις, εξισώσεις πρώτου βαθμού, δεύτερου βαθμού και γραφικές
[Μαθητικό Βοήθημα]
Νικολ. Δ. Νικολάου
Τάξη:  Γυμνάσιο / Πρακτικό Λύκειο
Μάθημα:  Γεωμετρία
Μαθητικό βοήθημα Γεωμετρίας για τα Γυμνάσια και Πρακτικά Λύκεια που αποτελείται από ασκήσεις και τις λύσεις τους.
[Μαθητικό Βοήθημα]
Στέλιος Χρ. Παχής
Τάξη:  Λύκειο
Μάθημα:  Μαθηματικά
Μαθητικό βοήθημα Άλγεβρας για τους μαθητές Λυκείου και τους υποψήφιους φοιτητές που περιέχει θεωρία και ασκήσεις και εστιάζει στην μαθηματική επαγωγή.
[Μαθητικό Βοήθημα]
Σπυρίδωνας Β. Κονισπολιάτος
Μάθημα:  Μαθηματικά
Σχετιζόμενοι όροι:  άλγεβρα, λύσεις ασκήσεων
Μαθητικό βοήθημα Μαθηματικών για τους μαθητές των Γυμνασίων και τους υποψήφιους των Στρατιωτικών σχολών και του Πολυτεχνείου που περιλαμβάνει λύσεις ασκήσεων Άλγεβρας.
[Μαθητικό Βοήθημα]
Στυλ. Κατάκης, Στυλ. Αμπατζόγλου
Τάξη:  Γυμνάσιο
Μάθημα:  Χημεία
Μαθητικό βοήθημα Χημείας που περιλαμβάνει τους νόμους των αερίων και τις ιδιότητες τους, τις χημικές ενώσεις και τους νόμους δράσης της μάζας και της χημικής ισορροπίας. Περιέχει και ασκήσεις Ανόργανης και ...
[Μαθητικό Βοήθημα]
Κώστας Γ. Αραχωβίτης
Τάξη:  Γυμνάσιο / Πρακτικό Λύκειο
Μάθημα:  Μαθηματικά
Μαθητικό βοήθημα Μαθηματικών για τα Γυμνάσια και Λύκεια που εστιάζει στις αλγεβρικές παραστάσεις, τις δυνάμεις, τα πολυώνυμα, τις ταυτότητες, και τα αλγεβρικά και σύνθετα κλάσματα. Περιέχει και ασκήσεις.