QR Code
03-20637621
Χρίστος Α. Μπαρμπαστάθης

Λύσεις Ασκήσεων και Προβλημάτων της Άλγεβρας, προς χρήσιν των μαθητών των Γυμνασίων και των αντίστοιχων προς αυτά Σχολών
[1946]

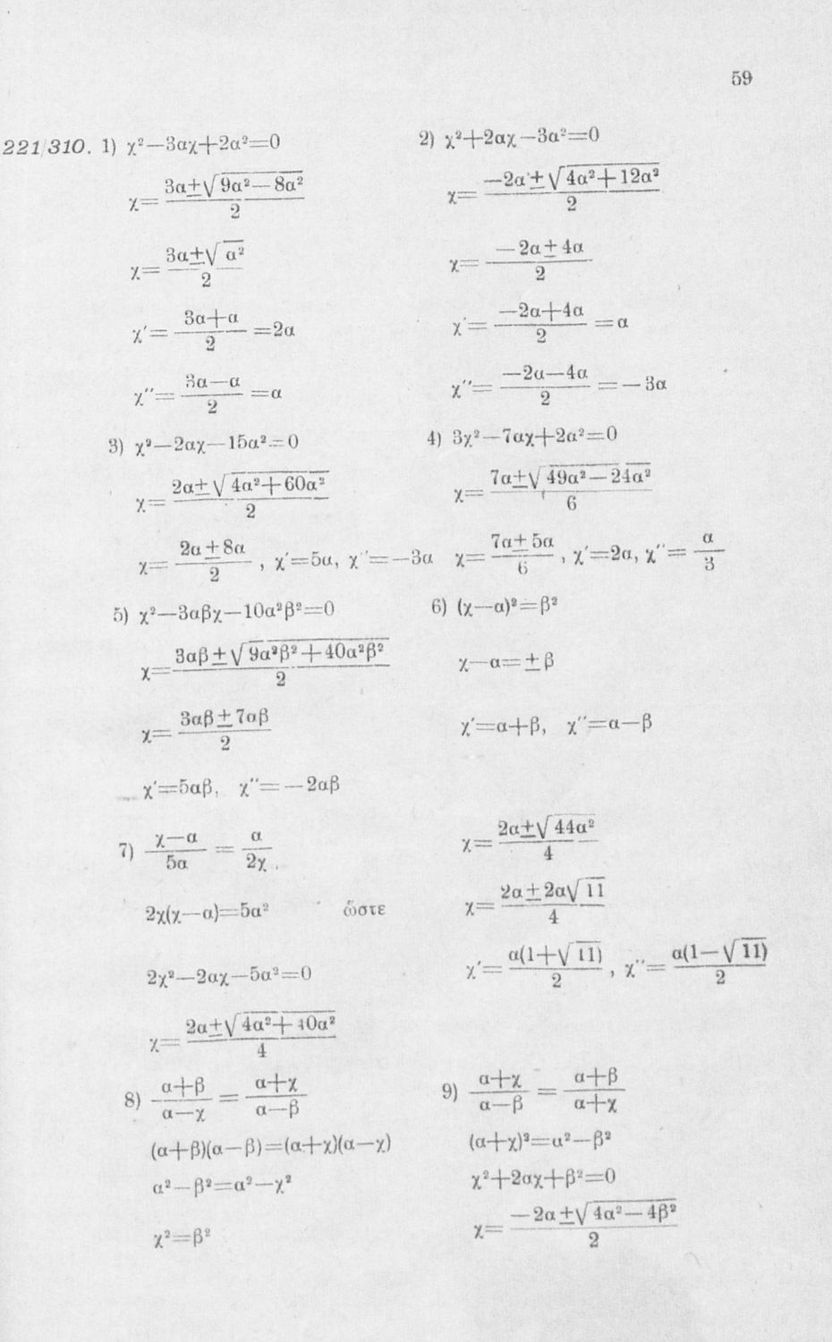
Μαθητικό Βοήθημα Μαθηματικών Γυμνασίου που περιέχει λύσεις σε προβλήματα άλγεβρας, και πράξεων ακέραιων αριθμών, κλασμάτων και εξισώσεων.


TopΠΕΔΙΟ ΑΝΑΓΝΩΡΙΣΗΣ

Κωδικός αναγνώρισης: 03-20637621

Τίτλος: Λύσεις Ασκήσεων και Προβλημάτων της Άλγεβρας, προς χρήσιν των μαθητών των Γυμνασίων και των αντίστοιχων προς αυτά Σχολών

Συγγραφέας: Χρίστος Α. Μπαρμπαστάθης

Μέγεθος και υπόστρωμα: Μαθητικό βοήθημα, σκληρό εξώφυλλο, 100 σελίδες.

TopΠΕΔΙΟ ΠΕΡΙΕΧΟΜΕΝΟΥ

Βαθμίδα εκπαίδευσης: Δευτεροβάθμια

Τάξη: Γυμνάσιο

Μάθημα: Μαθηματικά

Γλώσσα: Καθαρεύουσα

Παρουσίαση περιεχομένου: Μαθητικό Βοήθημα Μαθηματικών Γυμνασίου που περιέχει λύσεις σε προβλήματα άλγεβρας, και πράξεων ακέραιων αριθμών, κλασμάτων και εξισώσεων.

TopΠΕΔΙΟ ΠΛΗΡΟΦΟΡΙΩΝ ΕΚΔΟΣΗΣ

Εκδότης: Βιβλιοπωλείο της "Εστίας"

Έτος έκδοσης: 1946

Τόπος έκδοσης: Αθήνα

Έτος έγκρισης: 1946

TopΠΕΔΙΟ ΠΑΡΑΤΗΡΗΣΕΩΝ

Εντοπισμός πρωτοτύπου: Βιβλιοθήκη της Βουλής των Ελλήνων

Κωδικός βιβλιοθήκης: 20637621

TopΕΥΡΕΤΗΡΙΟ ΘΕΜΑΤΙΚΩΝ ΟΡΩΝ

Σχετιζόμενα πρόσωπα:

Σχετιζόμενοι όροι:


102 εγγραφές [61 - 80]
Σελίδα #059
Σελίδα #060
Σελίδα #061
Σελίδα #062
Σελίδα #063
Σελίδα #064
Σελίδα #065
Σελίδα #066
Σελίδα #067
Σελίδα #068
Σελίδα #069
Σελίδα #070
Σελίδα #071
Σελίδα #072
Σελίδα #073
Σελίδα #074
Σελίδα #075
Σελίδα #076
Σελίδα #077
Σελίδα #078
Σελίδα #079
Σελίδα #080
Σελίδα #081
Σελίδα #082
[Μαθητικό Βοήθημα]
Χρίστος Α. Μπαρμπαστάθης
Τάξη:  Γυμνάσιο / Πρακτικό Λύκειο
Μάθημα:  Μαθηματικά
Σχετιζόμενοι όροι:  τόξα, τρίγωνα, ανύσματα
Μαθητικό βοήθημα Τριγωνομετρίας Γυμνασίου και Λυκείου που περιέχει τις λύσεις ασκήσεων.
[Μαθητικό Βοήθημα]
Λάζαρος Λάζος, Πέτρος Γ. Τόγκας
Τάξη:  Γυμνάσιο / Λύκειο
Μάθημα:  Μαθηματικά
Μαθητικό βοήθημα Γεωμετρίας για τα Γυμνάσια και Λύκεια που περιέχει τις λύσεις των ασκήσεων που περιλαμβάνονται στο Γ΄ και Δ΄ βιβλίο της Γεωμετρίας του Νείλου Σακελλαρίου του 1931.
[Μαθητικό Βοήθημα]
Πέτρος Γ. Τόγκας
Μάθημα:  Μαθηματικά
Μαθητικό βοήθημα Τριγωνομετρίας για τους μαθητές των Γυμνασίων, Πρακτικών Λυκείων και των υποψήφιων Ανωτάτων Σχολών που περιλαμβάνει τις βασικές έννοιες και ορισμούς της Τριγωνομετρίας καθώς και σειρά ασκήσεων
[Μαθητικό Βοήθημα]
Χρίστος Α. Μπαρμπαστάθης
Τάξη:  Ελληνικό Σχολείο / Αστικό Σχολείο
Μάθημα:  Μαθηματικά
Μαθητικό βοήθημα Μαθηματικών για τους μαθητές των Ελληνικών Σχολείων και των Αστικών Σχολών που περιέχει τις λύσεις ασκήσεων αριθμητικής και γεωμετρίας που περιλαμβάνονται στα βιβλία του Ιωάννη Ν. Χατζηδάκη ...
[Μαθητικό Βοήθημα]
Σπυρίδωνας Β. Κονισπολιάτος
Μάθημα:  Μαθηματικά
Σχετιζόμενοι όροι:  άλγεβρα, λύσεις ασκήσεων
Μαθητικό βοήθημα Μαθηματικών για τους μαθητές των Γυμνασίων και τους υποψήφιους των Στρατιωτικών σχολών και του Πολυτεχνείου που περιλαμβάνει λύσεις ασκήσεων Άλγεβρας.
[Μαθητικό Βοήθημα]
Στέφανος Δ. Σερμπέτης
Μάθημα:  Χημεία
Μαθητικό βοήθημα για τους υποψηφίους των εισαγωγικών εξετάσεων των Ανωτάτων Σχολών και των μαθητών των ανωτέρων τάξεων των Σχολείων Μέσης Εκπαιδεύσεως. Το βιβλίο περιέχει λύσεις ασκήσεων ανόργανης και ...
[Μαθητικό Βοήθημα]
Νικόλαος Δ. Νικολάου
Τάξη:  Γυμνάσιο
Σχετιζόμενοι όροι:  τριγωνομετρία, λύσεις ασκήσεων
Μαθητικό βοήθημα Τριγωνομετρίας δευτεροβάθμιας το οποίο κάνει μια γενική επισκόπηση των βασικών αξιωμάτων της Τριγωνομετρίας τα οποία και συνοδεύονται από σειρά ασκήσεων για εξάσκηση των μαθητών.
[Σχολικό Εγχειρίδιο]
Λυσίας, Χρίστος Α. Παπαναστασίου, Νικόλαος Ε. Φραγκίσκος (σχόλια)
Τάξη:  Γ' Γυμνασίου
Σχολικό εγχειρίδιο Αρχαίων Ελληνικών Γ΄ Γυμνασίου που περιέχει τους λόγους του Λυσία Υπέρ Μαντιθέου, Κατά Εργοκλέους, Περί του σηκού απολογία, Υπέρ του αδυνάτου, Κατά των σιτοπωλών, και ερμηνευτικά και ...
[Μαθητικό Βοήθημα]
Χ. Ε. Παπαναστασίου
Τάξη:  Πρακτικό Λύκειο
Μάθημα:  Φυσική
Μαθητικό βοήθημα για τους μαθητές των Πρακτικών Λυκείων των υποψηφίων του Πολυτεχνείου και των άλλων Ανωτέρων Σχολών για το μάθημα της Φυσικής. Περιλαμβάνει συλλογή ασκήσεων φυσικής με τις λύσεις τους για την ...