QR Code
03-20637712
Κ. Δ. Αλεξόπουλος, Γ. Δ. Μπίλλης

Στοιχεία Φυσικής
[1962, 3η Έκδοση]

Μαθητικό βοήθημα Φυσικής για τους μαθητές των Γυμνασίων και των υποψηφίων των εισαγωγικών εξετάσεων των Ανωτάτων Σχολών. Το βιβλίο περιέχει ασκήσεις Φυσικής στις θεματικές της μηχανικής στερεών και ρευστών σωμάτων, της ακουστικής και της θερμότητας εξετάζοντας τις μεταβολές και τις ιδιότητές τους.


TopΠΕΔΙΟ ΑΝΑΓΝΩΡΙΣΗΣ

Κωδικός αναγνώρισης: 03-20637712

Τίτλος: Στοιχεία Φυσικής

Συγγραφέας: Κ. Δ. Αλεξόπουλος, Γ. Δ. Μπίλλης

Μέγεθος και υπόστρωμα: Μαθητικό βοήθημα, σκληρό εξώφυλλο, 404 σελίδες. Εικόνες, σκίτσα ασπρόμαυρα.

TopΠΕΔΙΟ ΠΕΡΙΕΧΟΜΕΝΟΥ

Βαθμίδα εκπαίδευσης: Δευτεροβάθμια

Τάξη: Γυμνάσιο

Μάθημα: Φυσική

Γλώσσα: Καθαρεύουσα

Παρουσίαση περιεχομένου: Μαθητικό βοήθημα Φυσικής για τους μαθητές των Γυμνασίων και των υποψηφίων των εισαγωγικών εξετάσεων των Ανωτάτων Σχολών. Το βιβλίο περιέχει ασκήσεις Φυσικής στις θεματικές της μηχανικής στερεών και ρευστών σωμάτων, της ακουστικής και της θερμότητας εξετάζοντας τις μεταβολές και τις ιδιότητές τους.

TopΠΕΔΙΟ ΠΛΗΡΟΦΟΡΙΩΝ ΕΚΔΟΣΗΣ

Έτος έκδοσης: 1962

Τόπος έκδοσης: Αθήνα

Έκδοση:

TopΠΕΔΙΟ ΠΑΡΑΤΗΡΗΣΕΩΝ

Εντοπισμός πρωτοτύπου: Βιβλιοθήκη της Βουλής των Ελλήνων

Κωδικός βιβλιοθήκης: 20637712

TopΕΥΡΕΤΗΡΙΟ ΘΕΜΑΤΙΚΩΝ ΟΡΩΝ

Σχετιζόμενα πρόσωπα:

Σχετιζόμενοι όροι:


416 εγγραφές [381 - 400]
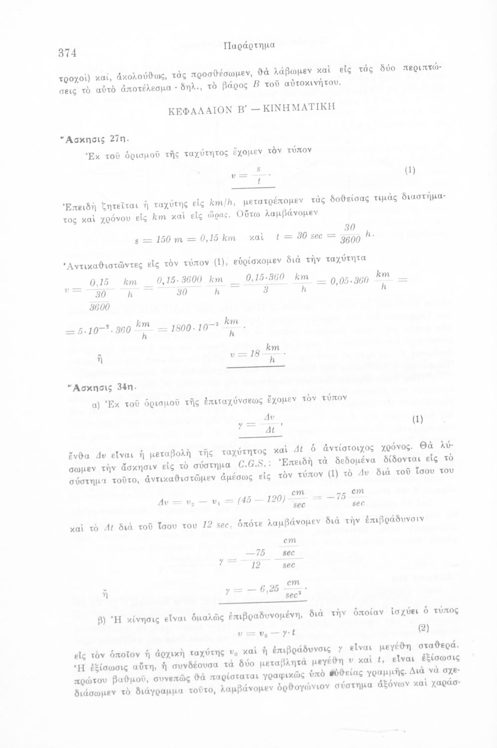
Σελίδα #369
Σελίδα #370
Σελίδα #371
Σελίδα #372
Σελίδα #373
Σελίδα #374
Σελίδα #375
Σελίδα #376
Σελίδα #377
Σελίδα #378
Σελίδα #379
Σελίδα #380
Σελίδα #381
Σελίδα #382
Σελίδα #383
Σελίδα #384
Σελίδα #385
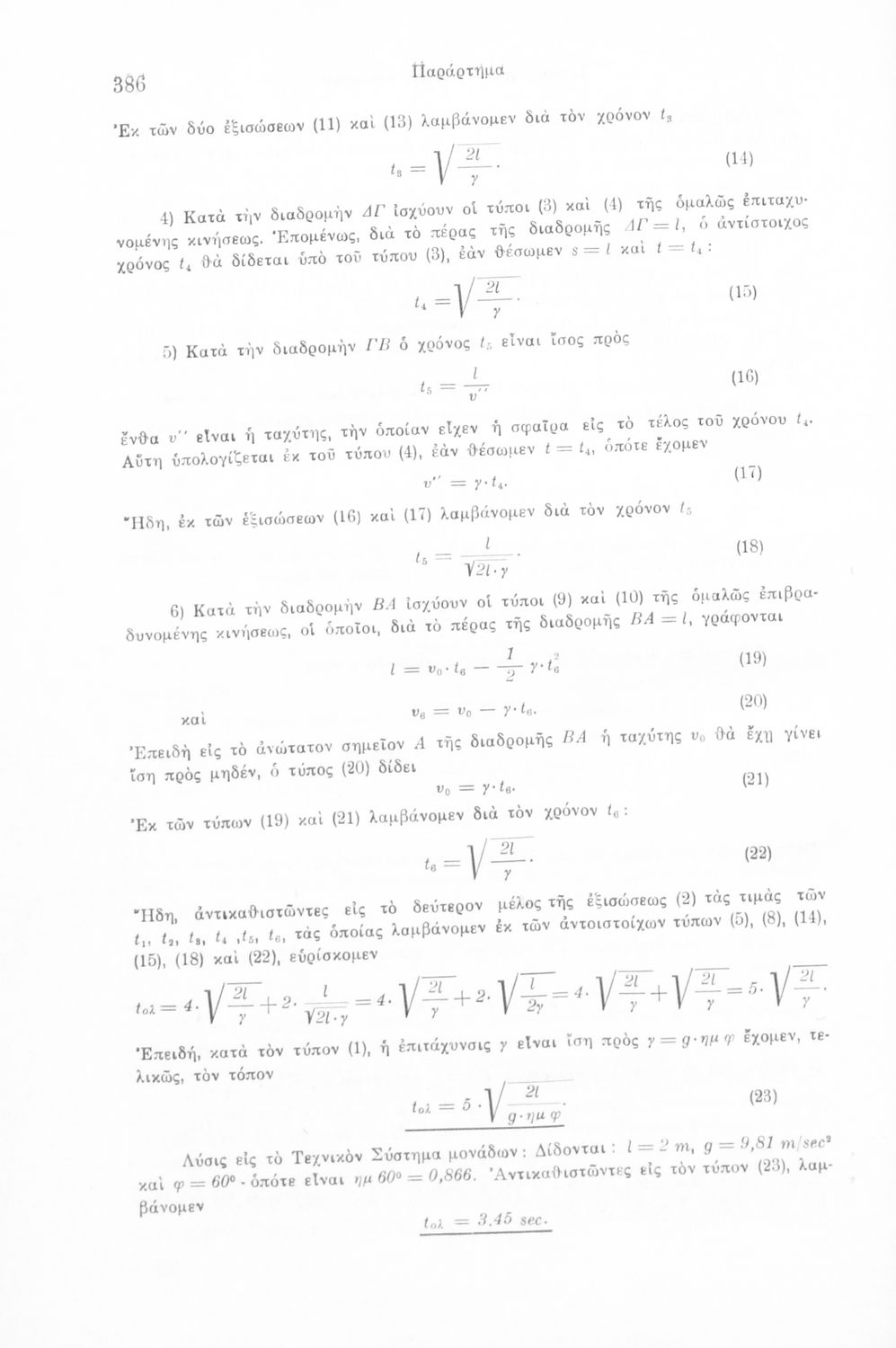
Σελίδα #386
Σελίδα #387
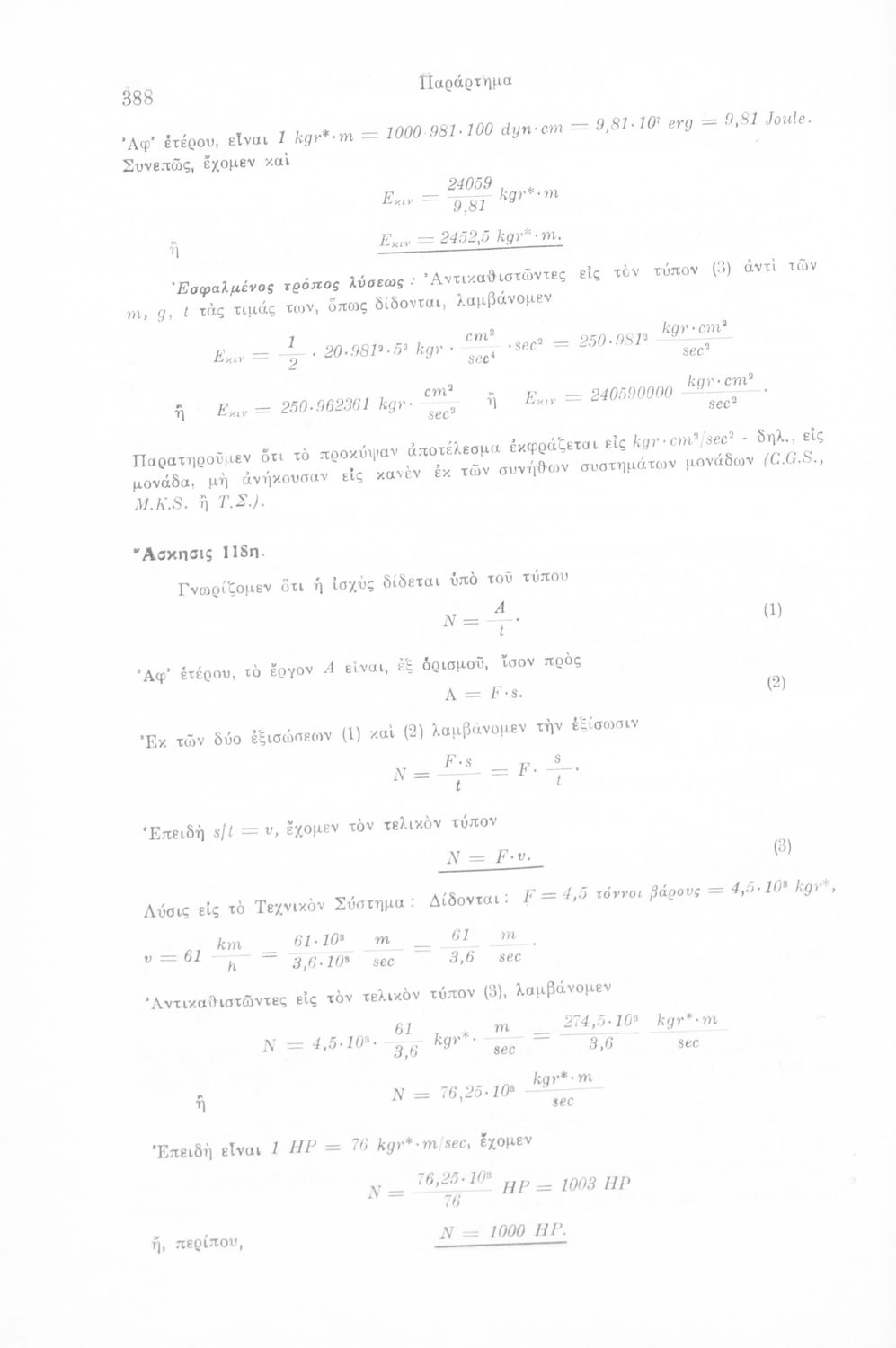
Σελίδα #388
Σελίδα #389
Σελίδα #390
Σελίδα #391
Σελίδα #392
[Σχολικό Εγχειρίδιο]
Χάρης Σ. Πάτσης
Τάξη:  Γ' Δημοτικού
Σχολικό εγχειρίδιο Φυσικής Ιστορίας Γ΄ Δημοτικού που παρουσιάζει τα διαφορετικά μέρη των φυτών και τις ιδιότητές τους και περιγράφει τον τρόπο γονιμοποίησης και προφύλαξής τους από πιθανές απειλές. Το δεύτερο ...
[Μαθητικό Βοήθημα]
Σ. Λότσης, Δ. Γιαννάκος
Τάξη:  Γ' Δημοτικού / Δ' Δημοτικού
Σχετιζόμενοι όροι:  τίγρης, φυτά, Βανανέα, ορυκτά, χρυσός
Μαθητικό βοήθημα Φυσικής Ιστορίας Γ΄ και Δ΄ Δημοτικού που περιέχει στοιχεία φυτολογίας, ορυκτολογίας και ζωολογίας. Το βιβλίο έχει εικόνες, οι οποίες διευκολύνουν τη διδασκαλία. Ο λόγος των κειμένων είναι ...
[Μαθητικό Βοήθημα]
Α. Χ. Πάτσης
Τάξη:  ΣΤ' Δημοτικού
Μάθημα:  Φυσική
Μαθητικό βοήθημα Φυσικής ΣΤ΄ Δημοτικού που εστιάζει στη θερμότητα, τον ηλεκτρισμού και τον μαγνητισμού, την υδροστατική, τη βαρύτητα και την αεροστατική. Περιέχει και στοιχεία χημεία και εστιάζει στα μέταλλα, ...
[Σχολικό Εγχειρίδιο]
Ζαχαρίας Νικολάου
Τάξη:  ΣΤ' Δημοτικού
Μάθημα:  Φυσική
Σχολικό εγχειρίδιο Φυσικής Πειραματικής και Χημείας ΣΤ΄ Δημοτικού που εστιάζει στα φυσικά φαινόμενα της ακουστικής, οπτικής, του ηλεκτρισμού και της ατομικής φυσικής. Περιέχει και στοιχεία χημείας. ...
[Μαθητικό Βοήθημα]
Δ. Δημητράκος
Τάξη:  ΣΤ' Δημοτικού
Μάθημα:  Γεωγραφία
Μαθητικό βοήθημα Γεωγραφίας ΣΤ΄ Δημοτικού που περιλαμβάνει στοιχεία μαθηματικής, πολιτικής και φυσικής γεωγραφίας των χωρών της Ευρώπης.
[Παιδαγωγικό Βοήθημα]
Ανδρέας Σπαθάρης
Μάθημα:  Φυσική
Παιδαγωγικό βοήθημα, το οποίο απευθυνόταν κυρίως στους εκπαιδευτικούς για τη μελέτη της Φυσικής επιστήμης και τη διευκόλυνση της διδακτικής πρακτικής. Περιέχει πληροφορίες σχετικές με τις ιδιότητες των ...
[Σχολικό Εγχειρίδιο]
Μαρία Γ. Μαρκέτου
Τάξη:  Ε' Γυμνασίου
Μάθημα:  Φυσική
Σχολικό εγχειρίδιο της Ε΄ Γυμνασίου για το μάθημα της Φυσικής. Αναλύει τις ιδιότητες της μηχανικής, κινητικής, δυναμικής, αερομηχανικής και ατμοσφαιρικής.
[Σχολικό Εγχειρίδιο]
Διον. Π. Λεονταρίτης
Τάξη:  Ε' Γυμνασίου
Μάθημα:  Φυσική
Σχολικό εγχειρίδιο της Ε΄ Τάξης των Γυμνασίων Παλαιού Τύπου για το μάθημα της Φυσικής. Παρέχει βασικές γνώσεις της Φυσικής επιστήμης. Αναλύει τα φαινόμενα της μηχανικής, της βαρύτητας, της υδροστατικής της ...
[Μαθητικό Βοήθημα]
Αλέξανδρος Σπυράκης
Τάξη:  Α' Εμπορικών Σχολών
Μαθητικό βοήθημα της Α΄ Τάξης των Εξαταξίων Εμπορικών Σχολών. Περιέχει πληροφορίες για το μάθημα της φυσικής, ζωολογίας και ορυκτολογίας. Έχει ασκήσεις εμπέδωσης.
[Σχολικό Εγχειρίδιο]
Χαρ. Ι. Σημηριώτης, Νικ. Γ. Δρακόπουλος
Τάξη:  Α' Αστικού Σχολείου
Μάθημα:  Φυσική
Σχολικό εγχειρίδιο της Α΄ Τάξης των Αστικών Σχολείων για το μάθημα της Φυσικής. Παρέχει βασικές γνώσεις της Φυσικής επιστήμης και της Χημείας. Αναλύει τις ιδιότητες των σωμάτων, καθώς και της θερμότητας, του ...