QR Code
89-90864
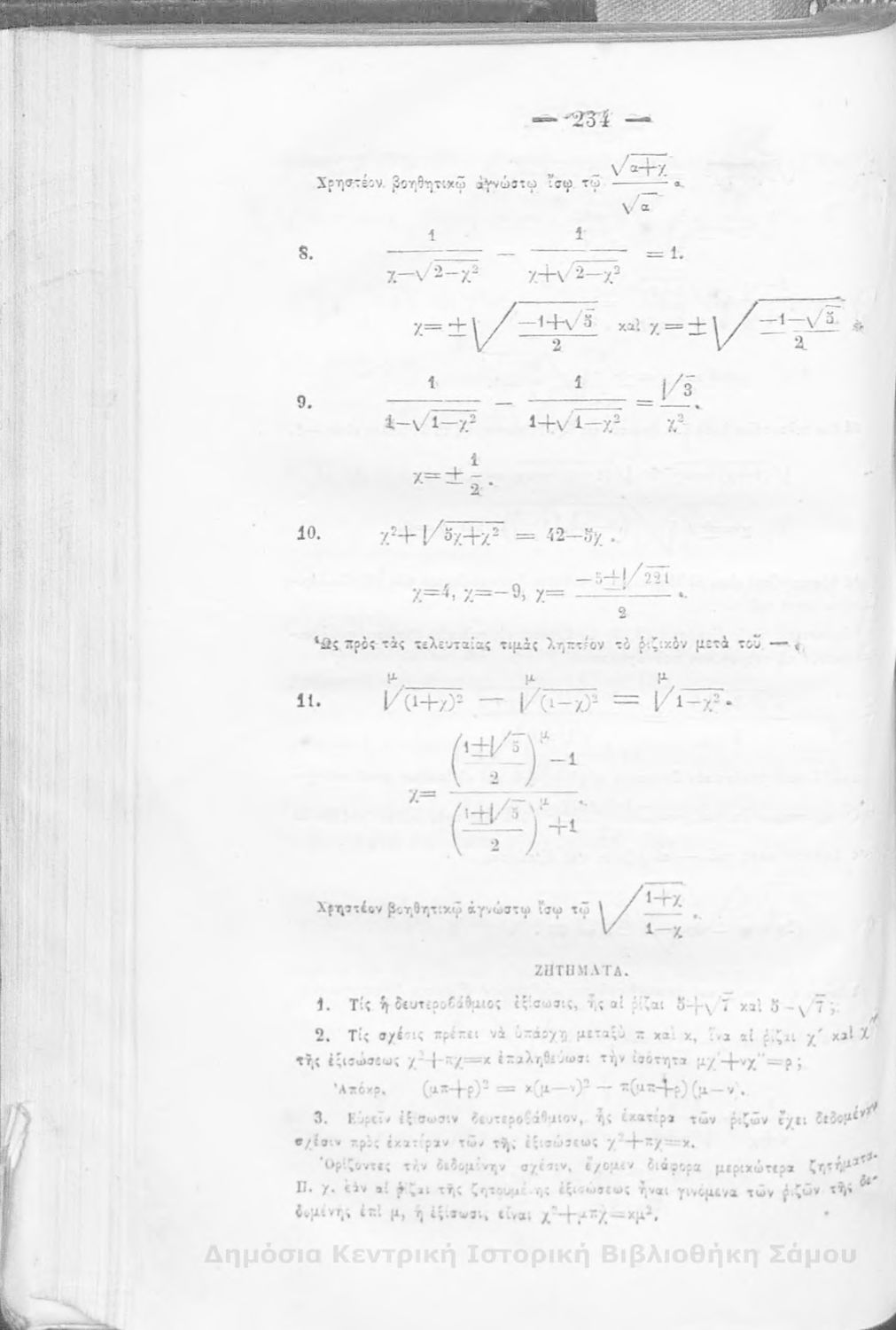
Αθ. Κυζικηνός

Στοιχειώδες άλγεβρα : πρός χρῆσιν γυμνασίων
[1867]


TopΠΕΔΙΟ ΑΝΑΓΝΩΡΙΣΗΣ

Κωδικός αναγνώρισης: 89-90864

Τίτλος: Στοιχειώδες άλγεβρα : πρός χρῆσιν γυμνασίων

Συγγραφέας: Αθ. Κυζικηνός

Μέγεθος και υπόστρωμα: Σχολικό εγχειρίδιο.

TopΠΕΔΙΟ ΠΕΡΙΕΧΟΜΕΝΟΥ

Βαθμίδα εκπαίδευσης: Δευτεροβάθμια

Μάθημα: Άλγεβρα

Γλώσσα: Καθαρεύουσα

TopΠΕΔΙΟ ΠΛΗΡΟΦΟΡΙΩΝ ΕΚΔΟΣΗΣ

Εκδότης: Τυπ. Ν. Γ. Πάσσαρη

Έτος έκδοσης: 1867

TopΠΕΔΙΟ ΠΑΡΑΤΗΡΗΣΕΩΝ

Εντοπισμός πρωτοτύπου: Δημόσια Βιβλιοθήκη Σάμου

Κωδικός βιβλιοθήκης: 90864

Διεύθυνση URL:


TopΕΥΡΕΤΗΡΙΟ ΘΕΜΑΤΙΚΩΝ ΟΡΩΝ

Σχετιζόμενα πρόσωπα:


457 εγγραφές [281 - 300]
Σελίδα #281
Σελίδα #282
Σελίδα #283
Σελίδα #284
Σελίδα #285
Σελίδα #286
Σελίδα #287
Σελίδα #288
Σελίδα #289
Σελίδα #290
Σελίδα #291
Σελίδα #292
Σελίδα #293
Σελίδα #294
Σελίδα #295
Σελίδα #296
Σελίδα #297
Σελίδα #298
Σελίδα #299
Σελίδα #300
Σελίδα #301
Σελίδα #302
Σελίδα #303
Σελίδα #304
[Μαθητικό Βοήθημα]
Στέλιος Χρ. Παχής, Παναγιώτης Α. Κούρτης
Τάξη:  Γ' Γυμνασίου
Μάθημα:  Μαθηματικά
Μαθητικό βοήθημα Μαθηματικών για τους μαθητές της Γ' Γυμνασίου και τους υποψήφιους Λυκείου που πραγματεύεται βασικές έννοιες άλγεβρας και γεωμετρίας.
[Μαθητικό Βοήθημα]
Γεώργιος Ευθ. Χατζής
Τάξη:  Κλασσικό Γυμνάσιο / Πρακτικό Λύκειο
Μάθημα:  Μαθηματικά
Σχετιζόμενοι όροι:  άλγεβρα, ρίζες, ακέραιοι, δυνάμεις
Μαθητικό βοήθημα για τα Κλασσικά Γυμνάσια και Πρακτικά Λύκεια που περιέχει θεωρία της άλγεβρας και ασκήσεις για εμπέδωση. Λανθασμένη αρίθμηση σελίδων.
[Μαθητικό Βοήθημα]
Σπυρίδωνας Β. Κονισπολιάτος
Μάθημα:  Μαθηματικά
Σχετιζόμενοι όροι:  άλγεβρα, λύσεις ασκήσεων
Μαθητικό βοήθημα Μαθηματικών για τους μαθητές των Γυμνασίων και τους υποψήφιους των Στρατιωτικών σχολών και του Πολυτεχνείου που περιλαμβάνει λύσεις ασκήσεων Άλγεβρας.
[Σχολικό Εγχειρίδιο]
Χρήστος Ανδρούτσος
Τάξη:  Γυμνάσιο
Μάθημα:  Ψυχολογία
Σχολικό εγχειρίδιο Εμπειρικής Ψυχολογίας για το Γυμνάσιο χωρισμένο σε τρία τμήματα: το γνωστικό, το συναισθηματικό και το βουλητικό.
[Σχολικό Εγχειρίδιο]
Γεώργιος Δ. Βορεάδης
Τάξη:  Δ' Γυμνασίου
Σχολικό εγχειρίδιο Γεωλογίας/Ορυκτολογίας για την Δ΄ τάξη των Εξαταξίων Γυμνασίων που παρουσιάζει τα ορυκτά με βάση την κλάση στην οποία ανήκουν. Το τμήμα της Γεωλογίας εστιάζει στους γεωλογικούς αιώνες. Ο ...
[Σχολικό Εγχειρίδιο]
Χρίστος Α. Μπαρμπαστάθης
Τάξη:  Δ' Γυμνασίου / Ε΄ Εξαταξίου Γυμνασίου
Μάθημα:  Μαθηματικά
Σχολικό εγχειρίδιο Άλγεβρας για τις Δ΄ και Ε΄ Εξαταξίου Γυμνασίου χωρισμένο σε θεωρία και ασκήσεις που εστιάζει στις αλγεβρικές πράξεις και παραστάσεις, στις εξισώσεις και στις ρίζες.
[Σχολικό Εγχειρίδιο]
Αχιλλέας Τζάρτζανος
Τάξη:  Γυμνάσιο
Σχολικό εγχειρίδιο Αρχαίων Ελληνικών Γυμνασίου που εξετάζει τα μέρη του λόγου και την σύνταξή τους.
[Σχολικό Εγχειρίδιο]
Ιωάννης Ν. Χατζιδάκις
Τάξη:  Γυμνάσιο
Μάθημα:  Μαθηματικά
Σχολικό εγχειρίδιο Άλγεβρας Γυμνασίου χωρισμένο σε θεωρία και προβλήματα.
[Σχολικό Εγχειρίδιο]
Αθανάσιος Γ. Αργυρόπουλος
Τάξη:  Α' Γυμνάσιου / Β' Γυμνάσιου / Ανώτερα Παρθεναγωγεία / Α' Διδασκαλείου
Μάθημα:  Μουσική
Σχολικό εγχειρίδιο Μουσικής για την Α΄, Β΄ Γυμνασίου, Ανώτερων Παρθεναγωγείων και Α΄ τάξη Διδασκαλείων. Σύστημα διδασκαλίας της Μουσικής με σχετική εγκυκλοπαίδεια σε τρία τεύχη. Ο συγγραφέας υπήρξε καθηγητής ...
[Σχολικό Εγχειρίδιο]
Νικ. Ι. Βραχνός
Τάξη:  Δ' Γυμνασίου
Μάθημα:  Ιστορία
Σχολικό εγχειρίδιο Ιστορίας Δ΄ Γυμνασίου που καλύπτει την περίοδο της ευρωπαϊκής και σύγχρονης ελληνικής ιστορίας από τη δυναστεία των Αψβούργων ως τους Βαλκανικούς Πολέμους.