QR Code
1979-0136

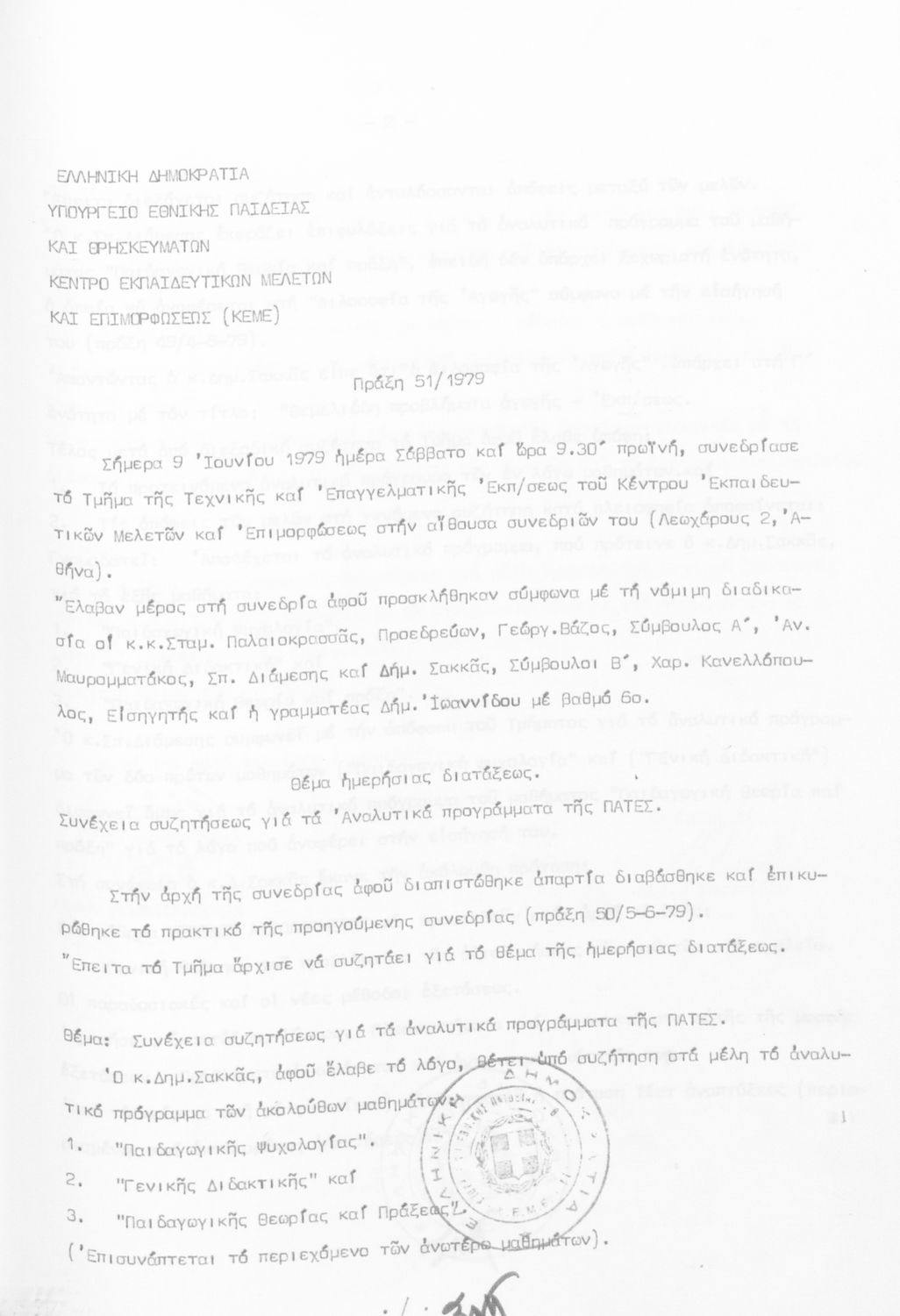
Τμήμα Τεχνικής και Επαγγελματικής Εκπαίδευσης
[1979]


TopΠΕΔΙΟ ΑΝΑΓΝΩΡΙΣΗΣ

Κωδικός αναγνώρισης: 1979-0136

Τίτλος: Τμήμα Τεχνικής και Επαγγελματικής Εκπαίδευσης

Μέγεθος και υπόστρωμα: Πρακτικά κεμε, 372 σελίδες.

TopΠΕΔΙΟ ΠΛΗΡΟΦΟΡΙΩΝ ΕΚΔΟΣΗΣ

Έτος έκδοσης: 1979

TopΠΕΔΙΟ ΠΑΡΑΤΗΡΗΣΕΩΝ

Εντοπισμός πρωτοτύπου: Ινστιτούτο Εκπαιδευτικής Πολιτικής


470 εγγραφές [241 - 280]
Σελίδα #241
Σελίδα #242
Σελίδα #243
Σελίδα #244
Σελίδα #245
Σελίδα #246
Σελίδα #247
Σελίδα #248
Σελίδα #249
Σελίδα #250
Σελίδα #251
Σελίδα #252
Σελίδα #253
Σελίδα #254
Σελίδα #255
Σελίδα #256
Σελίδα #257
Σελίδα #258
Σελίδα #259
Σελίδα #260
Σελίδα #261
Σελίδα #262
Σελίδα #263
Σελίδα #264
Σελίδα #265
Σελίδα #266
Σελίδα #267
Σελίδα #268
Σελίδα #269
Σελίδα #270
Σελίδα #271
Σελίδα #272
Σελίδα #273
Σελίδα #274
Σελίδα #275
Σελίδα #276
Σελίδα #277
Σελίδα #278
Σελίδα #279
Σελίδα #280
Σελίδα #281
Σελίδα #282