QR Code
1979-0136

Τμήμα Τεχνικής και Επαγγελματικής Εκπαίδευσης
[1979]


TopΠΕΔΙΟ ΑΝΑΓΝΩΡΙΣΗΣ

Κωδικός αναγνώρισης: 1979-0136

Τίτλος: Τμήμα Τεχνικής και Επαγγελματικής Εκπαίδευσης

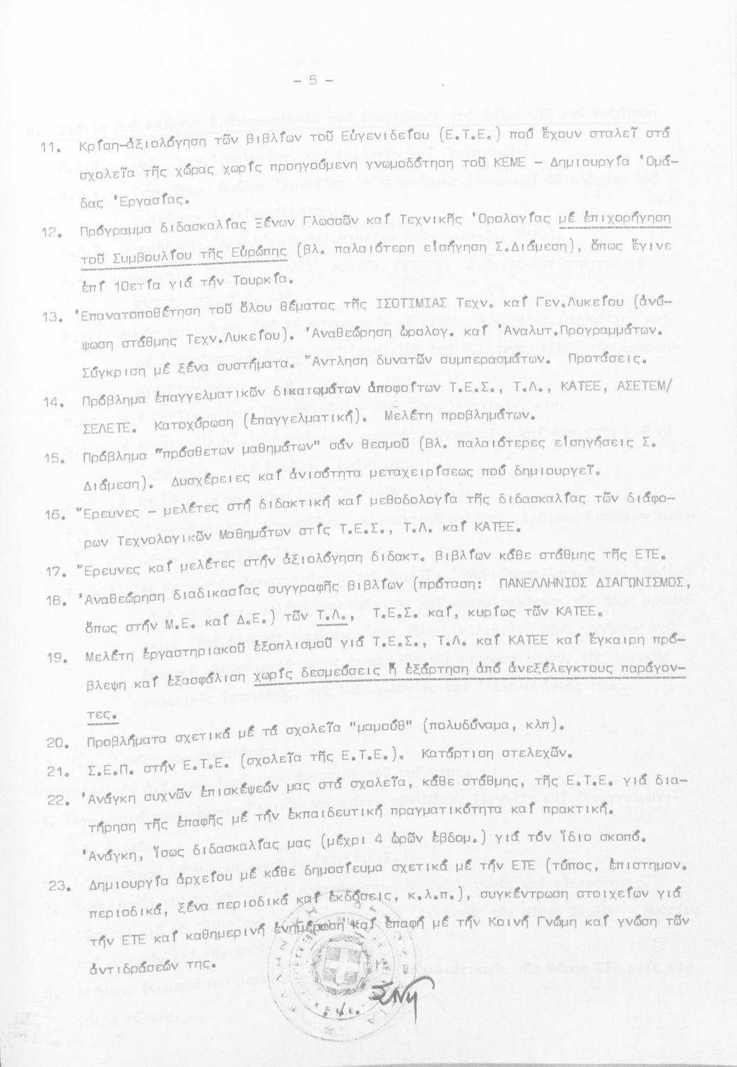
Μέγεθος και υπόστρωμα: Πρακτικά κεμε, 372 σελίδες.

TopΠΕΔΙΟ ΠΛΗΡΟΦΟΡΙΩΝ ΕΚΔΟΣΗΣ

Έτος έκδοσης: 1979

TopΠΕΔΙΟ ΠΑΡΑΤΗΡΗΣΕΩΝ

Εντοπισμός πρωτοτύπου: Ινστιτούτο Εκπαιδευτικής Πολιτικής


470 εγγραφές [441 - 470]
Σελίδα #441
Σελίδα #442
Σελίδα #443
Σελίδα #444
Σελίδα #445
Σελίδα #446
Σελίδα #447
Σελίδα #448
Σελίδα #449
Σελίδα #450
Σελίδα #451
Σελίδα #452
Σελίδα #453
Σελίδα #454
Σελίδα #455
Σελίδα #456
Σελίδα #457
Σελίδα #458
Σελίδα #459
Σελίδα #460
Σελίδα #461
Σελίδα #462
Σελίδα #463
Σελίδα #464
Σελίδα #465
Σελίδα #466
Σελίδα #467
Σελίδα #468
Σελίδα #469
Σελίδα #470